Материал: Введение в общую психологию

Внимание! Если размещение файла нарушает Ваши авторские права, то обязательно сообщите нам

Анализ автоматических процессов обнаруживает их двоякое происхождение. Некоторые из этих процессов никогда не осознавались, другие же прошли через сознание и перестали осознаваться.

Первые составляют группу первичных автоматизмов, вторые - группу вторичных автоматизмов. Первые называют иначе автоматическими действиями, вторые - автоматизированными действиями, или навыками.

В группу автоматических действий входят либо врожденные акты, либо те, которые формируются очень рано, часто в течение первого года жизни ребенка. Их примеры: сосательные движения, мигание, схватывание предметов, ходьба, конвергенция глаз и многие другие.

Группа автоматизированных действий, или навыков, особенно обширна и интересна. Благодаря формированию навыка достигается двоякий эффект: во-первых, действие начинает осуществляться быстро и точно; во-вторых, как уже говорилось, происходит высвобождение сознания, которое может быть направлено на освоение более сложного действия. Этот процесс имеет фундаментальное значение для жизни каждого индивида. Не будет большим преувеличением сказать, что он лежит в основе развития всех наших умений, знаний и способностей.

Рассмотрим какой-нибудь пример. Возьмем обучение игре на фортепиано. Если вы сами прошли через этот процесс или наблюдали, как он происходит, то знаете, что все начинается с освоения элементарных актов. Сначала нужно научиться правильно сидеть, ставить в правильное положение ноги, руки, пальцы на клавиатуре. Затем отрабатываются отдельно удары каждым пальцем, подъемы и опускания кисти и т. д. На этой самой элементарной основе строятся элементы собственно фортепианной техники: начинающий пианист учится «вести» мелодию, брать аккорды, играть стаккато и легато… И все это - лишь основа, которая необходима для того, чтобы рано или поздно перейти к выразительной игре, т. е. к задачам художественного исполнения.

Так, путем продвижения от простых действий к сложным, благодаря передаче на неосознаваемые уровни действий уже освоенных, человек приобретает мастерство. И в конце концов выдающиеся пианисты достигают такого уровня, когда, по словам Гейне, «рояль исчезает, и нам открывается одна музыка».

Почему в исполнении мастеров-пианистов остается «одна музыка»? Потому, что они в совершенстве овладели пианистическими навыками.

Говоря об освобождении действий от сознательного контроля, конечно, не надо думать, что это освобождение абсолютно, т. е. что человек совсем не знает, что он делает. Это не так. Контроль, конечно, остается, но он осуществляется следующим интересным образом.

Поле сознания, как вы уже знаете, неоднородно: оно имеет фокус, периферию и, наконец, границу, за которой начинается область неосознаваемого. И вот эта неоднородная картина сознания как бы накладывается на иерархическую систему сложного действия. При этом самые высокие этажи системы - наиболее поздние и наиболее сложные компоненты действия - оказываются в фокусе сознания; следующие этажи попадают на периферию сознания; наконец, самые низкие и самые отработанные компоненты выходят за границу сознания.

Надо сказать, что отношение различных компонентов действий к сознанию нестабильно. В поле сознания происходит постоянное изменение содержаний: представленным в нем оказывается то один, то другой «слой» иерархической системы актов, составляющих данное действие.

Движение в одну сторону, повторим, это уход выученного компонента из фокуса сознания на его периферию и с периферии - за его границу, в область неосознаваемого. Движение в противоположную сторону означает возвращение каких-то компонентов навыка в сознание. Обычно оно происходит при возникновении трудностей или ошибок, при утомлении, эмоциональном напряжении. Это возвращение в сознание может быть и результатом произвольного намерения. Свойство любого компонента навыка вновь стать осознанным очень важно, поскольку оно обеспечивает гибкость навыка, возможность его дополнительного совершенствования или переделки.

Между прочим, этим свойством навыки отличаются от автоматических действий. Первичные автоматизмы не осознаются и не поддаются осознанию. Более того, попытки их осознать обычно расстраивают действие.

Это последнее обстоятельство отражено в хорошо известной притче о сороконожке. Сороконожку спросили: «Как ты узнаешь, какой из твоих сорока ног нужно сейчас сделать шаг?» Сороконожка глубоко задумалась - и не смогла двинуться с места!

В психологии много внимания уделялось проблеме механизмов формирования навыка, которая, как вы уже хорошо понимаете, имеет большое практическое значение.

Бихевиористы, считавшие, что психология должна встать на службу практики и при этом заниматься внешними действиями человека и животных, очень много исследовали этот вопрос. Однако их теория и практика экспериментирования находились в рамках очень механистических представлений. Согласно этим представлениям навык вырабатывается за счет «проторения» путей в мозговых центрах в результате механического повторения, или «зазубривания», одного и того же действия. Об участии и роли сознания в этом процессе для бихевиористов, конечно, не могло быть и речи.

В советской психологии проблеме формирования навыков также уделялось большое внимание. Однако подход к этой проблеме был совсем другой. Он не был отягощен бихевиористским требованием исключения роли сознания; в результате был найден целый ряд очень важных и совершенно не вписывающихся в бихевиористскую схему механизмов.

Большой вклад в эту проблему внес советский физиолог Н. А. Бернштейн, об идеях которого я буду говорить более подробно позже. Сейчас лишь упомяну о том, что он выдвинул совсем другой принцип: «повторение без повторения», который означает, что при отработке навыка человек не затверживает одно и то же действие, а постоянно варьирует его в поисках оптимальной «формулы» движения. При этом сознанию принадлежит очень важная роль.

В доказательство того, что механическое заучивание гораздо менее эффективно, чем «сознательное», Н. А. Бернштейн приводит следующий факт из личных наблюдений. Надо сказать, что он был очень хорошим пианистом и использовал собственные фортепианные упражнения для анализа интересовавших его механизмов.

Так вот, будучи молодым человеком и экономя время, которое ему было жалко тратить на отработку фортепианной техники, он делал следующее: ставил на пюпитр книгу, читал ее, а в это время разыгрывал гаммы или этюды, тренируя пальцы. И вот после достаточно длительного периода таких занятий он с удивлением обнаружил, что никакого прогресса в технике нет! Тогда он оставил чтение и перешел на вдумчивую отработку техники, после чего сразу достиг заметных результатов.

Между прочим, к выводу о необходимости сосредоточения внимания на отрабатываемых движениях давно пришли педагоги и тренеры. Вы, наверное, знаете, что в спорте существуют приемы идеомоторной тренировки - тренировки движений в плане представления, при внешней неподвижности обучающегося.

Есть такой прием и в фортепианной педагогике: человеку предлагается разыгрывать пьесы тоническими нажатиями пальцев, без их подъема и пространственного перемещения, - вы просто кладете руки на плоскость и тоническими нажатиями «проигрываете» произведение. Если кто-нибудь из вас играет и хочет технически отработать сложную вещь, попробуйте этот способ. После того как вы час или два позанимаетесь таким образом, вы почувствуете необыкновенную усталость - гораздо большую, чем при реальной игре (а большая усталость говорит и о большей загрузке мозговых центров). Зато после такого двухчасового упражнения прогресс оказывается гораздо более заметным, чем при фазической, т. е. при внешнедвигательной игре.

Гимнастика йоги, по-видимому, имеет тот же смысл. Когда мы делаем упражнения, размахивая руками и ногами, то с большой вероятностью оберегаем свои моторные центры от излишней нагрузки; мы лишь формально проделываем движение, не задумываясь о его тонких деталях. В то же время, гимнастика йоги построена исключительно на тонических напряжениях мышц. Вся эта работа идет под сознательным контролем, идет интенсивно и приносит очень хорошие результаты.

Итак, выработка навыка - это процесс, идущий как бы с двух противоположных сторон: со стороны субъекта и со стороны организма. Мы произвольно и сознательно вычленяем из сложных движений отдельные элементы и отрабатываем правильное их выполнение. Одновременно, уже без участия нашей воли и сознания, идет процесс автоматизации действия. Этим мы обязаны уже собственно физиологическим свойствам и механизмам нашего организма. Он обладает таким замечательным даром: перенимать на себя в ходе автоматизации значительную часть работы, организуемой сознанием.

До сих пор наши примеры касались преимущественно двигательных автоматизмов. Возникает вопрос: а существуют ли автоматизмы в других сферах психической жизни человека, например в восприятии?

Да, конечно, существуют. Хорошо известно, что высшие формы зрительного или слухового восприятия требуют длительных упражнений. Именно в ходе длительной практики вырабатываются, например, такие способности, как «чтение» рентгенограмм, восприятие радиокода Морзе и др.

Но можно взять примеры из повседневной жизни. Попробуйте вспомнить, как вам слышалась иностранная речь на чужом когда-то языке: это был сплошной, нерасчлененный поток звуков. А после обучения этому языке вы стали воспринимать его совершенно иначе, четко выделяя слова и целые фразы. Этим вы обязаны образованию слуховых автоматизмов.

В нашем обычном восприятии мира трудно увидеть «черновую работу» неосознаваемых механизмов. Но с помощью специальных приемов она может быть обнаружена.

Дело в том, что иногда, будучи поставлены в необычные условия, перцептивные автоматизмы искажают восприятие, т. е. становятся причиной иллюзий, и тем самым себя обнаруживают. Приведу пример.

Перед вами оконная рама (рис. 3). Она называется «иллюзией окна», или «окном Эймса», по имени ее автора, американского психолога. Это плоская модель рамы, которая насажена на ось. Моторчик вращает ось и приводит раму в движение.


Итак, я задаю вам вопрос: как вращается это «окно»? Вы отвечаете: «То туда, то сюда», и это ваше вполне четкое впечатление. Так? Так!

Ну, а теперь я вам скажу, что это впечатление ошибочно: рама все время вращалась в одну сторону, по часовой стрелке. Не верите,? Да, трудно поверить: ведь вы отчетливо видели колебательные движения! И все-таки это так. А теперь разберемся, в чем тут дело.

Объяснение иллюзии надо начать с рассмотрения формы окна. Вы видите, что оно имеет форму трапеции. Основана эта иллюзия на очень сильном признаке глубины - линейной перспективе. В чем этот признак состоит? Он хорошо известен: если вы смотрите на уходящие вдаль рельсы, то они кажутся сходящимися, т. е. расстояние между ними кажется постепенно уменьшающимся.

Точно так же если вы смотрите на обычное окно в комнате под углом, то сторона, которая ближе к вам, выглядит большей, а та, которая дальше, - меньшей. Такая связь видимого размера и удаленности повторялась в вашем опыте многие тысячи раз на очень многих объектах. В результате теперь, когда вы видите одно из двух реально одинаковых тел меньше, то понимаете, что оно дальше, а точнее, видите его находящимся дальше. В этом и состоит суть обсуждаемого перцептивного автоматизма; его можно описать как «срабатывание» признака линейной перспективы.

Этот неосознаваемый процесс относится к группе автоматических актов, которые формируются без участия сознания. Уже маленькие дети фактически используют этот признак, не отдавая себе в нем отчета. Да и взрослые его непосредственно не осознают, а узнают о нем разве что из учебников психологии или руководств по проективному рисунку.

Итак, автор иллюзии использовал описанный перцептивный автоматизм - срабатывание признака линейной перспективы; это во-первых.

Во-вторых, он учел наш перцептивный опыт в отношении формы оконных рам, перцептивное «знание» того, что они прямоугольные, т. е. что их стороны одинаковые.

Главная «хитрость» его состояла в том, что он сделал окно непрямоугольным. В результате, когда окно поворачивается так, что его бо́льшая сторона оказывается к вам ближе, вы видите расположение окна правильно: большую сторону ближе, меньшую дальше. Когда же на вас начинает «находить» меньшая сторона, то ее размер (при убеждении, что стороны одинаковы) не позволяет «пропустить» ее вперед - и вы видите меньший край окна снова отходящим назад.

Механизмами такого рода много занимался Г. Гельмгольц. Для их описания он предложил термин «бессознательное умозаключение». Г. Гельмгольц подчеркивал, что слово «умозаключение» надо ставить в кавычки потому, что этот процесс подобен умозаключению только по результату: по природе же он отличается от истинного умозаключения, так как происходит бессознательно. Мы как бы рассуждаем, но на самом деле этого не делаем: за нас подобную работу производит неосознаваемый перцептивный процесс.

Например, в случае иллюзии окна процесс этот эквивалентен следующему умозаключению.

Известно, что когда одна из одинаковых сторон меньше, то она дальше (большая посылка).

Эта сторона - меньше (малая посылка).

Значит, она дальше (вывод).

Поскольку процесс протекает бессознательно, сознательные усилия изменить его не могут. Бессознательные умозаключения, по выражению Гельмгольца, «непреодолимы».

И действительно, сколько бы я вас ни убеждала, что на самом деле окно движется в одну сторону, сколько бы вы его не «трогали руками» (в буквальном или переносном смысле), вы все равно будете видеть его движение иллюзорно.

Спросим себя, а есть ли автоматические процессы в умственной сфере? Конечно, есть. Их так много, что сразу даже трудно выбрать какой-нибудь простой пример.

Лучше всего, наверное, обратиться к области математики. Именно там для нас наиболее очевиден процесс последовательного наслоения все более сложных действий, умений или знаний на автоматизированные предшествующие «слои». Уход более элементарных действий на неосознаваемый уровень сопровождается моментальным «усмотрением» того, что вначале требовало развернутого процесса мышления.

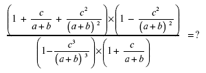
Рассмотрим такой алгебраический пример:


Чему равно это выражение? Одним словом, в ответе - единица. Так? Так. А теперь посмотрим, на что опиралось решение. Оно опиралось на непосредственное «ви́дение» того, что, например, в числителе имеется неполный квадрат суммы и разность квадратов, а в знаменателе - разность кубов; на знание их разложения; на моментальное использование правила сокращения одинаковых сомножителей в числителе и знаменателе; на знание того, что 1 - это и 12 и 13, и т. д. Все эти «ви́дения», «использования правил», «знания» - автоматизированные умственные действия, путь к которым состоял из многих и многих шагов, которые мы когда-то проделали, начиная с обучения в первом классе.

На этом мы заканчиваем знакомство с первым подклассом неосознаваемых механизмов и переходим ко второму - б) явлениям неосознаваемой установки.

Понятие «установка» заняло в психологии очень важное место, наверное, потому, что явления установки пронизывают практически все сферы психической жизни человека.

В советской психологии существует целое направление - грузинская школа психологов, которое разрабатывает проблему установки в очень широком масштабе. Грузинские психологи являются непосредственными учениками и последователями выдающегося советского психолога Дмитрия Николаевича Узнадзе (1886-1950), который создал теорию установки и организовал разработку этой проблемы силами большого коллектива.