В
данной части курсовой работы рассмотрен
шпангоут, нагруженный двумя радиальными
силами (
),
двумя касательными силами (
и двумя изгибающими моментами (
.
Схема нагружения изображена на рисунке 1. Значения нагрузок приведены в таблице 1.

Рисунок 1 — Схема нагружения шпангоута
Таблица 1 — Исходные данные
|
Номер сечения, i |
1 |
2 |
3 |
4 |
5 |
|
α, град |
25 |
75 |
110 |
230 |
320 |
|
|
|
15 |
|
|
40 |
|
|
30 |
|
28 |
|
|
|
|
|
22 |
|
46 |
|
Радиус
шпангоута:

Расстояние
между шпангоутами:

Толщина
обшивки:
Коэффициент
безопасности:

Материал шпангоута Д16АТ имеет следующие характеристики:



Для
расчёта
,
и
необходимо рассчитать нагрузки с учётом
коэффициента безопасности

Расчетные значения усилий вычисляются по формулам:



где
—
- расчетные значения усилий;
-
номер нагрузки.
В таком случае расчетные значения радиальных сил будут равны:


Расчетные значения касательных сил будут равны:


Расчетные изгибающие моменты будут равняться:


В
соответствии со схемой нагружения
шпангоута и полученными значениями
расчётных нагрузок на ЭВМ вычисляются
значения
,
.
Расчёт проводится с помощью программы ring.exe. Результаты расчётов приведены ниже, на странице 16.
Вычислим
скачки на эпюрах
,
.
1.
Для сечения
имеем:
,
,
,
,

,
.
2.
Для сечения
имеем:
,
,
,
,
,

,
.
,
.
3.
Для сечения
имеем:
,
,
,
,

,
.
4.
Для сечения
имеем:
,
,
,
,

,
.
5.
Для сечения
имеем:
,
,
,
,

,

Эпюры
и графики распределения
,
,
и
,
представлены на рисунках 2-5.

Рисунок
2 — Эпюра


Рисунок
3 — Эпюра


Рисунок
4
— Эпюра


Рисунок
5 — Эпюра

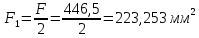
Определим максимальные значения изгибающего момента, нормальной и перерезывающей сил по абсолютной величине:
,
,
,
.
Рассмотрим типовое сечение силового шпангоута. Оно состоит из двух поясов, стенки и части обшивки корпуса летательного аппарата, работающего совместно со шпангоутом.

Рисунок 10 — Типовое сечение шпангоута
Введем следующие обозначения:
– площадь
сечения пояса, состоящего из двух
прессованных уголков,
– высота
стенки,
=2,2
м – толщина стенки.
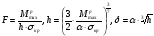
Для
определения значений
,
и
воспользуемся следующими формулами:

Коэффициент
определяется по формуле:

где
– модель упругости материала Д16АТ.
В
этих формулах
это критическое напряжение для полки
пояса, при подборе пояса его можно
принять

Определим высоту стенки и площадь сечения пояса


Исходя из величины

подберём по каталогу подходящий профиль.

Рисунок 11 — Геометрические характеристики уголка
Возьмем профиль Пр100-56 ГОСТ 410068 имеющий следующие геометрические характеристики:
мм2
– площадь сечения пояса из каталога,
мм
– высота
профиля,
мм
– толщина
профиля,
мм
– координаты
центра тяжести,
мм4
– момент инерции профиля.