Материал: Влияние ролевых ночных городских экстремальных игр, на примере игры Encounter, на личностные особенности игроков

Внимание! Если размещение файла нарушает Ваши авторские права, то обязательно сообщите нам

Каждая игра - это маленькая жизнь. В каждой игре есть свои цели, задачи, пути их решения. как в жизни. Игра - это модель жизни. Если человек стремиться к победе (добиться своих целей), то лучше тренироваться на играх, чем на своих жизнях: можно сыграть во множество разных игр, а жизнь одна.обеспечивает не только приятное проведение свободного времени. Его функция заключается и в том, что он способствует конфронтации со значимым содержанием и переживаниями. В процессе игр люди примеряют различные роли. В Encounter привлекает способность концентрировать свое внимание на какой-либо конкретной задаче на каждом этапе игры. Решая её, люди склонны забывать о насущных выгодах. О том, как они выглядят, как воспринимаются окружающими. Стремление к игре мотивируется не столько желанием выигрывать, сколько личностной установкой. Главное - не выигрыш, а участие.

Глава II. Эмпирическое исследование влияния ролевых ночных городских экстремальных игр, на примере игры Encounter, на личностные характеристики игроков

2.1 Алгоритм эмпирического исследования, характеристика выборки и методов исследования


Участниками исследования являлись студенты ВУЗов Уфы не играющих в Encounter и люди, играющие в Encounter, в возрасте 18-25 лет.

В исследовании приняли участие 42 человек. (24 юношей и 18 девушек).

Деление на группы производилось по принципу "играющие-неиграющие".

Испытуемым было предложено пройти "многофакторный опросник Кеттела".

Исследование проводилось в несколько этапов:

Этап 1. Формирование выборок.

Для проведения исследования была взята выборка из 42 человек, среди них 24 юношей и 18 девушек. Возраст испытуемых от 18 до 25 лет.

Определялись личностные качества, такие как: адекватность самооценки, эмоциональная устойчивость - неустойчивость, сдержанность - экспрессивность, смелость - робость, уверенность в себе - тревожность, высокий самоконтроль - низкий самоконтроль (в соответствии с факторами опросника Кеттела 16 PF).

Инструменты диагностического этапа:

16 факторный опросник Кеттела. Данная методика, разработанная Р. Кеттелом (адаптация А.Г. Шмелева, В.И. Похилько, А.С. Соловейчика) использовалась для диагностики личностных черт всех испытуемых. При помощи 16 PF измеряется степень выраженности личностных черт.

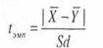
t критерий Стьюдента. Критерий t Стьюдента направлен на оценку различий величин средних X и Y двух выборок `X и `У, которые распределены по нормальному закону (для статистической обработки).

Данное исследование является констатирующим (исследование которое показывает определенный факт - закономерность.)

Этап 2. Проведение исследования.

Исследование проводилось следующим образом:

испытуемые проходили многофакторный опросник Кеттела 16 PF, с помощью программы 16PF. exe установленной на ПК. Результаты были сохранены и в дальнейшем обработаны.

Примерный обзор полученных результатов представлен на графике 1:

График 1 изображены показатели одного из испытуемых проходивших тест.

Этап 3. Обработка полученных результатов.

Для статистической обработки полученных результатов был использован t критерий Стьюдента.

Критерий t Стьюдента направлен на оценку различий величин средних X и Y двух выборок `X и `У, которые распределены по нормальному закону. Одним из главных достоинств критерия является широта его применения. Он может быть использован для сопоставления средних у связных и несвязных выборок, причем выборки могут быть не равны по величине.

В общем случае формула для расчета по t-критерию Стьюдента такова:

где

План обработки:

Внесение результатов исследования в таблицу.

Подсчет средних арифметических по факторам.

Нахождение средних арифметических отклонений по формуле:


Вычисление т критерия для каждого фактора по формуле:


Определение степеней свободы по по формуле:


Определение критических значений по таблице (приложение I)

Построение осей значимости для каждого фактора.

Сравнение полученных t критериев с критическими.

Выводы.

Этап 4. Анализ результатов и выводы.

По полученным данным различия между экспериментальной и контрольной группами значимы более чем на 1 % уровне, только для фактора Q3. Для факторов B, O, Q2 на 5 % уровне значимости первоначальное предположение подтвердилось, действительно, ролевые компьютерные игры оказывают влияние на личностные качества.

Неиграющие юноши более склонны к принятию и контролю своего поведения, т.к. принимают установленные законы и обычаи (обратные связи принятия себя и внутреннего контроля с негативизмом). У них выше эмоциональный комфорт.

Увлеченные компьютерными играми юноши благодаря своей самостоятельности, эмоциональной устойчивости могут брать на себя ответственность (как в реальной жизни, так и в виртуальной реальности).

Чем больше игра люди проявляют активность, тем более они склонны к контролю своих эмоций (что вызывает напряженность) и менее спонтанны в поведении.

Чем больше играющие люди юношеского возраста проявляют гибкость в поведении, принимая новых людей, тем они спонтаннее, проще, но тем выше у них тенденция к некоторой жестокости, прямоте, поиску своей выгоды (практичности).

В связи с тем, что компьютерные технологии развиваются в геометрической прогрессии, так же совершенствуются и игры. А следовательно, меняются и психологические аспекты формирования зависимости. Поэтому перспективы развития исследования данной области весьма велики.

В ход исследования были использованы следующие методы:

Опросник Кеттела 16 PF

Данная методика, разработанная Р. Кеттелом (адаптация А.Г. Шмелева, В.И. Похилько, А.С. Соловейчика) [см. приложение I] использовалась для диагностики личностных черт всех испытуемых.

При помощи 16 PF измеряется степень выраженности личностных черт.

В методику входят следующие шкалы:

Фактор MD - адекватность самооценки: измеряется в промежутке от 0 до 7 баллов; Чем выше оценка по этому фактору, тем в большей степени человеку свойственно завышать свои возможности и переоценивать себя.

Фактор С: сила "Я" (эмоциональная устойчивость) - слабость "Я" (эмоциональная неустойчивость); измеряется в промежутке от 0 до 6 баллов; низкие баллы говорят о низком пороге в отношении фрустрации, изменчивости и пластичности, избегании требований действительности; высокие - об эмоциональной зрелости, устойчивости, невозмутимости, большой способности к соблюдению общественных норм.

Фактор F: сдержанность - экспрессивность; измеряется в промежутке от 0 до 6 баллов; при низких оценках человек характеризуется благоразумием, осторожностью, рассудительностью, молчаливостью. Ему свойственны склонность всё усложнять, некоторая озабоченность, пессимистичность в восприятии действительности. Беспокоится о будущем, ожидает неудач. Окружающим он кажется скупым, вялым и чрезмерно чопорным. При высоких оценках человек жизнерадостен, импульсивен, беспечен, весел, разговорчив, подвижен. Энергичен. Социальные контакты для него эмоционально значимы. Он экспансивен, искренен в отношениях между людьми. Эмоциональность, динамичность общения приводят к тому, что он часто становится лидером и энтузиастом групповой деятельности, верит в удачу. В целом оценка по этому фактору отражает эмоциональную окрашенность и динамичность общения.

Фактор Н: робость - смелость; измеряется в промежутке от 0 до 6 баллов; При низких оценках человек застенчив, не уверен в своих силах, сдержан, робок, предпочитает находиться в тени. Большому обществу он предпочитает одного-двух людей. Отличается повышенной чувствительностью к угрозе.

При высоких оценках человеку свойственна социальная смелость, активность, готовность иметь дело с незнакомыми обстоятельствами и людьми. Он склонен к риску, держится свободно, расторможено. В целом фактор определяет реактивность на угрозу в социальных ситуациях и определяет степень активности в социальных контактах.

Фактор О: уверенность в себе - тревожность; измеряется в промежутке от 0 до 6 баллов; при низких оценках человек безмятежен, хладнокровен, спокоен, уверен в себе. При высоких оценках человеку свойственна тревожность, депрессивность, ранимость, впечатлительность.

Фактор Q3: низкий самоконтроль - высокий самоконтроль: измеряется в промежутке от 0 до 6 баллов; при низких оценках наблюдается недисциплинированность, внутренняя конфликтность представлений о себе, человек не обеспокоен выполнением социальных требований.

При высоких оценках - развитый самоконтроль, точность выполнения социальных требований. Человек следует своему представлению о себе, хорошо контролирует свои эмоции и поведение, доводит всякое дело до конца. Ему свойственна целенаправленность и интегрированность личности. В отличие от социальной нормативности поведения (фактор G), этот фактор измеряет уровень внутреннего контроля поведения.

Результаты по каждому показателю подсчитываются в соответствии с ключом, далее строится профиль личности.

Для обработки данных использовался метод статистической обработки - t - критерий Стьюдента.

Критерий t Стьюдента направлен на оценку различий величин средних X и Y двух выборок `X и `У, которые распределены по нормальному закону. Одним из главных достоинств критерия является широта его применения. Он может быть использован для сопоставления средних у связных и несвязных выборок, причем выборки могут быть не равны по величине.

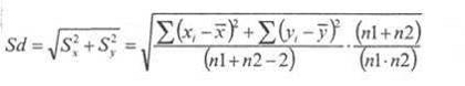
В общем случае формула для расчета по t-критерию Стьюдента такова:

 (1) где  (2)

При равночисленных выборках, т.е. n1 = n2 = n, выражение будет вычисляться следующим образом:

 (3)

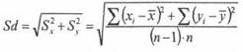
В случае неравночисленных выборок n1¹n2, выражение будет вычисляться следующим образом:

 (4)

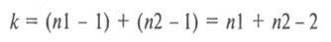
В обоих случаях подсчет числа степеней свободы осуществляется по формуле:

 (5)

где n1 и n2 соответственно величины первой и второй выборки.

Понятно, что при численном равенстве выборок

 

k = 2 n - 2. (6)

2.2 Обзор полученных результатов исследования влияния ролевых ночных городских экстремальных игр, на примере игры Encounter, на личностные характеристики игроков


Для исследования влияния ролевых ночных городских экстремальных игр, на примере игры Encounter, на личностные характеристики игроков был проведен t-критерий Стьюдента. Данный критерий направлен на оценку различий величин средних X и Y двух выборок `X и `У, которые распределены по нормальному закону. Одним из главных достоинств критерия является широта его применения.

Критерий Стьюдента вычислим по формуле:

 (1) где  (2)

Для равнозначных выборок формула выглядит так:

 (3)

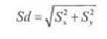
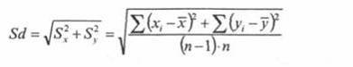
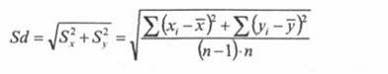
По данной формуле просчитывается среднее квадратичное отклонение для каждого фактора. Получены следующие результаты:

Таблица 1 результаты Sd для 6-ти факторов

Sd

0,457242

0,353473

0,454756

0,330258

0,378264

0,361717


Для определения значимости сравниваются полученные результаты с критическими значениями для данной степени свободы.

Степень свободы определяется по формуле:

k= (n1-1) + (n2-1)

где n1 и n2 соответственно величины первой о второй выборки

В данном случае, при равенстве выборок, эта формула выглядит так:

k=2*n-2

Для данного исследования степень свободы будет равна:

k=2*15-2=28

В ходе статистической обработки были получены следующие значения

Таблица 2 значения t критерия Стьюдента:

факторы

среднее значение

t-критерий


играющие

неиграющие


MD

3,809524

4,857143

2,29117

C

4,904762

3,333333

4,445679

F

3,857143

4,285714

0,942421

H

5,333333

3,571429

5,334936

O

3,238095

4,714286

3,902537

Q3

11,53333

14,73333

-3,39411255


По таблице 1 приложения I для данного числа степени свободы находим:

tкр (P<0,05) =2,05

tкр (P<0,01) =2,76

tкр (P<0,001) =3,67

Строиться ось значимости для каждого фактора (см. приложение IV).

По полученным данным различия между экспериментальной и контрольной группами значимы более чем на 0,1 % уровне, для факторов С, H, O. Для факторов MD, F, Q3 на 5 % уровне значимости

По таблицам видно, что группа играющих людей отличается от группы не играющих по показателям эмоциональной устойчивости, смелости и уверенности в себе.

Играющие люди больше других уверены в себе и контролируют себя, адекватность самооценки в пределе своей нормы, что показывает, что играющие люди знают степень своих сил и осознают свои способности и возможности.

Вывод по второй главе


По полученным данным можно выявить, что ночные городские игры влияют на личностные особенности игроков. Воздействие происходит на эмоциональную устойчивость, смелость и уверенность в себе.

Целенаправленная игра в Encounter показало что грающие люди больше других уверены в себе и контролируют себя, адекватность самооценки в пределе своей нормы, что показывает, что играющие люди знают степень своих сил и осознают свои способности и возможности.

Психологические качества игроков в Encounter в наибольшей мере совершенствуются под воздействием экстремальных ситуаций, неожиданных ситуаций игры, где главные условия - это ощущение и представление игровых моментов, пространства, в реальной жизни для принятия альтернативного решения.

Участники ночных экстремальных игр - обычные люди, по тем или иным причинам ищущие чего-то нового в жизни, возможности выразить себя и просто интересно провести время в компании единомышленников. В отличие от участников других субкультур, представители ночных экстремальных городских игр крайне неоднородны по своему составу и целям участия в играх. Для кого-то представляет интерес развитие своих лидерских способностей, кто-то ищет острых ощущений, кому то просто нравится общение с интересными людьми. Причем цели участников зачастую меняются со временем. В любом случае, полученные навыки работы в команде, управления и распределения обязанностей, действий в быстроменяющихся, часто экстремальных, условиях помогают и в "обычной" жизни. Игроку проще общаться с незнакомыми людьми, он избавляется от своих комплексов и страхов, также развиваются качества менеджера и руководителя. Присутствует и творческое развитие - написание игр сложный и кропотливый процесс, участие в котором может принять каждый.

Гипотеза: ночные городские экстремальные игры влияют на личностные особенности игроков подтвердилось, действительно, ролевые ночные городские экстремальные игры оказывают влияние на личностные качества.

Заключение


Игра - это жизненно важный и необходимый элемент в развитии как индивидуума, такие общества в целом. По сложности характера игр можно судить о быте, правах и навыках данного общества.

Игра хранить и передает по наследству огромную гамму духовных, эмоциональных ценностей человеческих проявлений. Традиционные формы досугов - игровой деятельности народы, сложившейся в культурах прошлого, практически выродились и иссякли, что повлекло за собой обострение, обнищание социально - психологических процессов общения, отчужденность людей и т.п.

Тезаурус игр огромен и рассчитан преимущественно на конкретный возраст играющих, время года, уровень воспитанности и культуры и т.д. и т.п. Что следует выделить в феномен игры особо?

Первая культура, которую создал человек, - это игровая культура, основанная на традициях труда, социальной деятельности. Ее создавали и потребляли дети и взрослые совместно в семьях и общественных объединениях. Воспитание детей - самый запутанный и сложный вид творчества человека. Он требует создания системы просвещенной, гуманизированной культуры родительства, наставничества, цивилизованной школы, в которой необходимо найти место преобразующей игре, хранящей духовный потенциал общечеловеческих ценностей.

Может быть, утверждение гиперболично и дерзко, дерзко игра - явление космического замысла, она феномен ноосферы и способна гарантировать гармоническое совместное развитие человека и биосферы, о чем писал В. Вернадский. В равной степени играют силы природы, искрятся игрой музыка Россини, полотна Рериха, поэзия Пушкина, драматургия Шекспира. Междоусобицы и разборы - это ролевые игры людей. Политические игры стали нормой. Современное общество проявляет особое игровое сознание: игровые раунды разыгрываются как на политической арене, так и в повседневной жизни. Выброс психической энергии в игре огромен и беспределен.

Что касается различных теорий происхождения игры, ее назначения в жизни ребенка, то нам думается, что прав профессор Л.Б. Ительсон, свидетельствующий:". Здесь пока есть почти столько же теорий, сколько существует теоретиков". Вслед за Ительсоном можно сказать: прав Г.С. Спенсер, считающий, что игра есть способ изживания у ребенка излишков энергии; прав К. Бюлер, считающий, что к игре побуждает удовольствие; прав К. Гросс, утверждающий, что игра - это форма подготовки к будущей деятельности; прав Д. Дьюи, доказывающий, что игра есть реализация ребенком видов поведения, приобретенных на основе инстинктов подражания и научения; прав З. Фрейд, полагавший, что игра - это способ символического удовлетворения ребенком его реально неудовлетворенных желаний.

Существует высокая правда Л. Выготского, который считал, что игра вырастает из противоречия между социальными потребностями и практическими возможностями ребенка, и видел в ней ведущее средство развития детского сознания и его функций. Правы все исследователи, доказывающие, что проблема игры - один из важнейших и сложнейших психологических и педагогических вопросов, от правильного решения которого зависит весь процесс воспитания и образования детей.

Игра одновременно - развивающая деятельность, принцип, метод и форма жизнедеятельности, зона социализации, защищенности, самореабилитации, сотрудничества, содружества, сотворчества со взрослыми, посредник между миром ребенка и миром взрослого. И вместе с тем "многочисленные игры ребят - работа", считал Януш Корчак, в которой не может быть "надо" и "не надо".

Игры ценны автономно, но прежде всего в системе их использования. Системность игровой практики - это периодичность и длительность использования целенаправленных программ (групп, комплексов, "цепочек") игр, ориентированных на решение конкретных воспитательных задач, на конкретные жизненные ситуации.

Искусство игры - важная часть жизненной стратегии людей, ощущающих уникальность и неповторимость жизни.

Список использованной литературы


1. Аникеева Н.П., "Воспитание игрой", Москва, 2007 г.

. Аникеева Н.П., "Педагогика и психология игры", Москва, 2010 г.

. Богомолова Н.Н., "Ситуационно - ролевая игра, как активный метод социально - психологической подготовки // Теоретические и методологические проблемы социальной психологии", Москва - МГУ, 2007 г. (стр.180 - 205).

. Вуарен Н., "Что такое игра? // Культура", 2012 г., №4.

. Газман О.С., "Социальные аспекты развития // Советская педагогика", 2008 г., №5.

. Давыдов В.В., Зинченко В.П., "Принцип развития в психологии // Вопросы философии", 2010 г., №12, (стр.47 - 60).

. Добрынская Е.И., "Свободная время и развитие личности", Ленинград, 1983 г.

. Запорожец А.В., Маркова Т.А., "Игра и её роль в развитии ребенка дошкольного возраста", Москва, 2008 г.

. Ладенко И.С., "Игровое моделирование методологие и практики", Новосибирск, изд-во Наука, 1987 г.

. Луначарский А.В., "Вместо введения // Игра", 2012, №1.

. "Педагогика и психология игры", Межвузовский сборник научной трактовки, Новосибирск: НГПИ - 2014 г.

. Праздников Г.А., "Игра и эстетическая деятельность личности /

Эстетическая культура советского человека", Ленинград, 2007 г.

. Рубинштейн С.Л., "Основа общей психологии", Т.2., Москва, изд-во "Педагогика", 2009 г.

. Столович Л.Н., "Искусство и игра // Эстетика", Москва изд-во "Знание", 1987 г.

. Терский В.Н., "Игра. Творчество. Жизнь", Москва, 1966 г.

. Усова А.П., "Игра", Москва, 2012 г.

. Устименко В.Ф., "Место и роль игрового феномена в культуре // Филосовские науки", 1980 г., №2, стр.69 - 77.

. Хайнд Р., "Поведение животных", Москва, 1975, стр.282, 283, 385.

. Хейзинга Й., "В тени зактрешнего дня", Homo Iudens, Москва, 1992 г.

. Шмаков С.А., "Игры учащихся - феномен культуры", Москва изд-во "Новая школа", 1994 г.

. Эльконин Д.Б., "Психологические игры", Москва, 2008 г.

. Эпштейн Н.П., "Игра в жизни и искусстве // Советская драматургия", Москва, 1982 г. №2.

24. <#"868951.files/image014.gif">

Приложение III

 

Результаты испытуемых

Адекватность самооценки

играют

не играют

Отклонение от среднего

Квадраты отклонения




Играющие

Не играющие

Играющие

Не играющие


4

7

0, 190476

2,142857

0,036281

4,591837


6

3

2, 190476

-1,85714

4,798186

3,44898


5

5

1, 190476

0,142857

1,417234

0,020408


4

6

0, 190476

1,142857

0,036281

1,306122


4

6

0, 190476

1,142857

0,036281

1,306122


2

3

-1,80952

-1,85714

3,274376

3,44898


4

4

0, 190476

-0,85714

0,036281

0,734694


2

6

-1,80952

1,142857

3,274376

1,306122


5

5

1, 190476

0,142857

0,020408


3

6

-0,80952

1,142857

0,655329

1,306122


3

6

-0,80952

1,142857

0,655329

1,306122


3

4

-0,80952

-0,85714

0,655329

0,734694


4

2

0, 190476

-2,85714

0,036281

8,163265


6

7

2, 190476

2,142857

4,798186

4,591837


1

2

-2,80952

-2,85714

7,893424

8,163265


3

5

-0,80952

0,142857

0,655329

0,020408


2

6

-1,80952

1,142857

3,274376

1,306122


4

5

0, 190476

0,142857

0,036281

0,020408


7

6

3, 190476

1,142857

10,17914

1,306122


4

4

0, 190476

-0,85714

0,036281

0,734694


4

4

0, 190476

-0,85714

0,036281

0,734694




































Сумма

80

102



43,2381

44,57143

Среднее

3,809524

4,857143



















Разница по абсолютной величине между средними

1,047619













Sd

0,457242






t=

2,29117







Эмоциональная устойчивость

играют

не играют

Отклонение от среднего

Квадраты отклонения




Играющие

Не играющие

Играющие

Не играющие


6

4

1,0952381

0,66666667

1, 19954649

0,444444444


6

4

1,0952381

0,66666667

1, 19954649

0,444444444


6

3

1,0952381

-0,33333333

1, 19954649

0,111111111


4

2

-0,9047619

-1,33333333

0,8185941

1,777777778


3

4

-1,9047619

0,66666667

3,62811791

0,444444444


6

5

1,0952381

1,66666667

1, 19954649

2,777777778


4

2

-0,9047619

-1,33333333

0,8185941

1,777777778


5

1

0,0952381

-2,33333333

0,00907029

5,444444444


4

3

-0,9047619

-0,33333333

0,8185941

0,111111111


6

4

1,0952381

0,66666667

1, 19954649

0,444444444


5

3

0,0952381

-0,33333333

0,00907029

0,111111111


5

4

0,0952381

0,66666667

0,00907029

0,444444444


5

2

0,0952381

-1,33333333

0,00907029

1,777777778


6

4

1,0952381

0,66666667

1, 19954649

0,444444444


3

5

-1,9047619

1,66666667

3,62811791

2,777777778


3

3

-1,9047619

-0,33333333

3,62811791

0,111111111


6

2

1,0952381

-1,33333333

1, 19954649

1,777777778


6

3

1,0952381

-0,33333333

1, 19954649

0,111111111


5

4

0,0952381

0,66666667

0,00907029

0,444444444


6

5

1,0952381

1,66666667

1, 19954649

2,777777778


3

3

-1,9047619

-0,33333333

3,62811791

0,111111111




































Сумма

103

70



27,8095238

24,66666667

Среднее

4,904762

3,333333



















Разница по абсолютной величине между средними

1,571429













Sd

0,353473






t=

4,445679







Сдержаность экспресивность

играют

не играют

Отклонение от среднего

Квадраты отклонения




Играющие

Не играющие

Играющие

Не играющие


1

5

-2,85714286

0,714285714

8,163265306

0,510204082


3

6

-0,85714286

1,714285714

0,734693878

2,93877551


4

5

0,14285714

0,714285714

0,020408163

0,510204082


6

6

2,14285714

1,714285714

4,591836735

2,93877551


2

3

-1,85714286

-1,285714286

3,448979592

1,653061224


5

4

1,14285714

-0,285714286

1,306122449

0,081632653


6

3

2,14285714

-1,285714286

4,591836735

1,653061224


3

5

-0,85714286

0,714285714

0,734693878

0,510204082


4

4

0,14285714

-0,285714286

0,020408163

0,081632653


2

2

-1,85714286

-2,285714286

3,448979592

5,224489796


5

3

1,14285714

-1,285714286

1,306122449

1,653061224


4

5

0,14285714

0,714285714

0,020408163

0,510204082


6

3

2,14285714

-1,285714286

4,591836735

1,653061224


4

6

0,14285714

1,714285714

0,020408163

2,93877551


3

6

-0,85714286

1,714285714

0,734693878

2,93877551


4

2

0,14285714

-2,285714286

0,020408163

5,224489796


5

4

1,14285714

-0,285714286

1,306122449

0,081632653


2

5

-1,85714286

3,448979592

0,510204082


6

3

2,14285714

-1,285714286

4,591836735

1,653061224


1

5

-2,85714286

0,714285714

8,163265306

0,510204082


5

5

1,14285714

0,714285714

1,306122449

0,510204082




































Сумма

81

90



52,57142857

34,28571429

Среднее

3,857143

4,285714



















Разница по абсолютной величине между средними

0,428571













Sd

0,454756






t=

0,942421







Робость смелость

играют

не играют

Отклонение от среднего

Квадраты отклонения




Играющие

Не играющие

Играющие

Не играющие


4

3

-1,33333

-0,57143

1,777778

0,326531


6

4

0,666667

0,428571

0,444444

0,183673


4

3

-1,33333

-0,57143

1,777778

0,326531


5

2

-0,33333

-1,57143

0,111111

2,469388


4

2

-1,33333

-1,57143

1,777778

2,469388


5

4

-0,33333

0,428571

0,111111

0,183673


6

5

0,666667

1,428571

0,444444

2,040816


6

6

0,666667

2,428571

0,444444

5,897959


5

6

-0,33333

2,428571

0,111111

5,897959


6

4

0,666667

0,428571

0,444444

0,183673


6

4

0,666667

0,428571

0,444444

0,183673


6

3

0,666667

-0,57143

0,444444

0,326531


6

3

0,666667

-0,57143

0,444444

0,326531


6

4

0,666667

0,428571

0,444444

0,183673


6

5

0,666667

1,428571

0,444444

2,040816


6

2

0,666667

-1,57143

0,444444

2,469388


5

2

-0,33333

-1,57143

0,111111

2,469388


3

3

-2,33333

-0,57143

5,444444

0,326531


6

4

0,666667

0,428571

0,444444

0,183673


6

3

0,666667

-0,57143

0,444444

0,326531


5

3

-0,33333

-0,57143

0,111111

0,326531




































Сумма

112

75



16,66667

29,14286

Среднее

5,333333

3,571429



















Разница по абсолютной величине между средними

1,761905













Sd

0,330258






t=

5,334936







увереность в себе

играют

не играют

Отклонение от среднего

Квадраты отклонения




Играющие

Не играющие

Играющие

Не играющие


2

4

-1,2381

-0,71429

1,53288

0,510204


2

6

-1,2381

1,285714

1,53288

1,653061


4

3

0,761905

-1,71429

0,580499

2,938776


5

4

1,761905

-0,71429

3,104308

0,510204


4

5

0,761905

0,285714

0,580499

0,081633


4

6

0,761905

1,285714

0,580499

1,653061


2

6

-1,2381

1,285714

1,53288

1,653061


5

6

1,761905

1,285714

3,104308

1,653061


2

4

-1,2381

-0,71429

1,53288

0,510204


4

3

0,761905

-1,71429

0,580499

2,938776


4

4

0,761905

-0,71429

0,580499

0,510204


3

3

-0,2381

-1,71429

0,056689

2,938776


2

5

-1,2381

0,285714

1,53288

0,081633


1

5

-2,2381

0,285714

5,00907

0,081633


3

6

-0,2381

1,285714

0,056689

1,653061


4

5

0,761905

0,285714

0,580499

0,081633


4

5

0,761905

0,285714

0,580499

0,081633


2

5

-1,2381

0,285714

1,53288

0,081633


6

6

2,761905

1,285714

7,628118

1,653061


1

4

-2,2381

-0,71429

5,00907

0,510204


4

4

0,761905

-0,71429

0,580499

0,510204




































Сумма

68

99



37,80952

22,28571

Среднее

3,238095

4,714286



















Разница по абсолютной величине между средними

1,47619













Sd

0,378264






t=

3,902537







Самоконтроль

играют

не играют

Отклонение от среднего

Квадраты отклонения




Играющие

Не играющие

Играющие

Не играющие


5

2

0,714286

-1,33333

0,510204

1,777778


3

4

-1,28571

1,653061

0,444444


4

3

-0,28571

-0,33333

0,081633

0,111111


2

3

-2,28571

-0,33333

5,22449

0,111111


5

2

0,714286

-1,33333

0,510204

1,777778


2

5

-2,28571

1,666667

5,22449

2,777778


6

3

1,714286

-0,33333

2,938776

0,111111


6

4

1,714286

0,666667

2,938776

0,444444


6

4

1,714286

0,666667

2,938776

0,444444


4

3

-0,28571

-0,33333

0,081633

0,111111


5

4

0,714286

0,666667

0,510204

0,444444


2

4

-2,28571

0,666667

5,22449

0,444444


5

3

0,714286

-0,33333

0,510204

0,111111


4

2

-0,28571

-1,33333

0,081633

1,777778


5

2

0,714286

-1,33333

0,510204

1,777778


4

3

-0,28571

-0,33333

0,081633

0,111111


5

5

0,714286

1,666667

0,510204

2,777778


4

6

-0,28571

2,666667

0,081633

7,111111


4

3

-0,28571

-0,33333

0,081633

0,111111


5

2

0,714286

-1,33333

0,510204

1,777778


4

3

-0,28571

-0,33333

0,081633

0,111111




































Сумма

90

70



30,28571

24,66667

Среднее

4,285714

3,333333



















Разница по абсолютной величине между средними

0,952381













Sd

0,361717






t=

2,632947








Приложение IV

"Оси значимости" для факторов

Фактор MD


Фактор С


Фактор F


Фактор H


Фактор O


Фактор Q3