Как правило, внутри стран-членов объединения происходит ликвидация торговых барьеров и сокращение инвестиционных ограничений. Кроме того, региональные интеграции могут способствовать развитию какой-либо конкретной области в стране или какого-либо конкретного региона посредством ПИИ. Согласно описанной выше олигополистической теории, если фирма - лидер сделает ПИИ в определённую область определенной страны, то ее фирмы - конкуренты вероятнее всего предпримут точно такие же действия.
Наиболее ранние работы, изучающие взаимосвязь создания региональных интеграций с формированием внешних и внутренних потоков ПИИ, были основаны на опыте Европейского союза (ЕС). Стоит отметить, что внутренними потоками ПИИ называют потоки ПИИ между странами-членами регионального объединения, а внешними потоками - между странами-членами и другим миром.
Греческий экономист Яннопулос в 1990, изучая ЕС, пришел к выводу, что на ранней стадии европейской интеграции наблюдалось огромное увеличение как внешних, так и внутренних потоков ПИИ также, как и потоков товаров и услуг. Самый большой поток наблюдался из США. Однако изучение ЕС на более поздних стадиях развития дает различные результаты. Например, работы британского экономиста Д.Г. Даннинга утверждают, что поток из США продолжал значительно расти и на следующих этапах интеграции, в то время как работы канадского ученого Р.Д. Липсей в 1990 году показывают, что общий уровень притока ПИИ перестал расти. Много работ было посвящено изучению опыта НАФТА, но результаты разных ученых также противоречивы.
Японский экономист Нимеш Салайк в 2010 году предложил объяснение в разнице изменения ПИИ на разных стадиях интеграции. Различие состоит в мотивах и способах совершения ПИИ. Японский ученый выделил 2 главных мотива: "перепрыгивание тарифа", то есть перенос производства за рубеж с целью избегания уплаты таможенных пошлин и доступ к более благоприятным характеристикам рынка. Двумя каналами совершения ПИИ экономист назвал вертикальные и горизонтальные ПИИ. Горизонтальными инвестициями называют производство тех же самых товаров и услуг за рубежом, что и в стране базирования. Этот вид ПИИ называется горизонтальным, потому что ТНК осуществляют одни и те же виды деятельности в разных странах. Вертикальные ПИИ, в свою очередь, осуществляются теми ТНК, которые дробят процесс производства по географическому принципу. Они получили свое название за то, что международные компании делят производственную цепочку вертикально, контролируя разные стадии производства за рубежом. Особенностью этого разделения является то, что производственный цикл состоит из многочисленных этапов производства, которые требуют разное сырье.
Рассмотренные два вида мотивов будут давать разные результаты исследования влияния региональных интеграций на ПИИ внутри региона. Если компания стремится к "перепрыгиванию тарифа", то потоки горизонтальных ПИИ будут уменьшаться, так как экспорт из страны базирования со временем станет дешевле, чем осуществление ПИИ. Однако если мотивом является привлекательность характеристик рынка, то создание экономического объединения послужит стимулом к увеличению инвестиций, поскольку это поможет использовать нематериальные активы фирмы более эффективно. Это особенно верно для вертикально интегрированных ПИИ, где операции ТНК специализированы в соответствии с местоположением преимуществ принимающей страны. Что касается внешних потоков ПИИ, то в случае обоих мотивов инвестиции будут расти либо из-за опасений по поводу будущей протекционной политики интеграции, либо из-за восприятия растущего рынка.
Недостатком всех упомянутых выше теорий ПИИ и теорий о влиянии региональной интеграции на приток ПИИ в страны - члены является тот факт, что в них игнорируется политический фактор. На практике политическая нестабильность страны или некорректное функционирование политических институтов заметно сказывается на потоке ПИИ. Однако соглашения о создании региональной интеграции представляют собой доказательство политической состоятельности стран, участвующих в данном объединении.
Поскольку региональные интеграционные процессы приобретают все большую и большую динамику развития, вопрос оценки взаимосвязи потоков ПИИ и РТИС стал особенно актуальным.
Наиболее простым методом изучения такой взаимосвязи является сравнение уровня инвестиций, приходящих в экономику страны до и после ее вступления в интеграционный союз. Недостатком данного метода можно признать то, что при анализе могут автоматически учитываться другие факторы, повлиявшие на инвестиционную привлекательность страны.
Другим методом оценки влияния РТИС на приток ПИИ в страны - члены интеграции является построение эконометрической модели, где зависимыми переменными выступают величины притока или суммарного объема ПИИ. Иногда в модель вводятся дамми переменные, принимающие значение 1, если страна входит в региональную группировку и 0, если не является членом РТИС.
деофшоризация прямая иностранная инвестиция
Такой метод тоже обладает своими недостатками, так как переменные могут влиять друг на друга. Так, переменная, отвечающая за участие или неучастие страны в интеграционном процессе, может оказать влияние и на другие факторы, используемые в модели, такие как ВВП.
Однако данный метод является широко распространенным, так как все же позволяет показать роль РТИС в увеличении инвестиционной привлекательности стран-членов интеграции.
Как правило, при построении эконометрической модели в данном случае используют панельные данные, где измерениями выступают три составляющие: объекты (страны) переменные (ВВП, объемы ПИИ) и время (года). Под объемами ПИИ чаще всего понимают суммарную величину потоков из одной страны в другую.
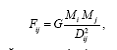
Чаще всего такие модели имеют те же самые предпосылки, что и
закон всемирного тяготения И. Ньютона, за что и получили название
гравитационных моделей. Закон гравитации гласит, что две любые материальные
частицы с массами M1 и M2 притягиваются по направлению друг к другу с силой Fij, прямо пропорциональной
произведению масс и обратно пропорциональной квадрату расстояния D между ними:
,
где G - гравитационная постоянная.
В отношении инвестиций закон будет звучать следующим образом:
объемы ПИИ между двумя странами прямо пропорциональны произведению объемов их
ВВП и обратно пропорциональны расстоянию между этими странами. Формула в данном
случае будет иметь следующий вид:

,
где
![]()
- величина притока или суммарного объема ПИИ страны i в экономике j за время t;
![]()
, ![]()
- объемы
ВВП за время t в стране i и j соответственно;
![]()
- расстояния между странами i и j;
![]()
- коэффициенты,
отражающие значимость рассматриваемых факторов;
G - константа;
![]()
- случайные отклонения.
В случае интеграции важно пояснить, что под M1 понимается суммарное ВВП всех стран-членом интеграционной группировки, а под M2 - ВВП любой страны-инвестора в экономики объединения. Другими словами, при создании интеграции в данной модели происходит создание большой общей экономики, то есть аккумуляция ВВП всех стран-участниц, что увеличивает переменную M1. Применяя закон всемирного тяготения получаем, что при создании интеграционного объединения, растет значение M1, что увеличивает произведение суммарного ВВП стран-членов и страны-инвестора. Это приводит к "притягиванию" бóльших внешних потоков ПИИ в интеграционное объединение.
После логарифмирования получаем следующую рабочую формулу:
Впервые гравитационная модель в экономической теории была
использована В. Изардом в 1954 году при оценке объемов торговли между странами.
В дальнейшем подобный образ построения эконометрических моделей получил широкое
распространение, включая инвестиционный анализ.
Для анализа мирового опыта изменении ПИИ в процессе создания РТИС выбраны такие региональные интеграции как НАФТА, ЕС и КАРИКОМ. Выбор именно этих интеграционных группировок объясняется тем, что НАФТА и ЕС являются одними из первых и самых успешных региональных объединений, а для КАРИКОМА наиболее удобные и доступные данные для анализа. К наиболее известным региональным группировкам также относится АСЕАН, но она не удобна для анализа, так как на поток ПИИ оказало большое влияние азиатский финансовый кризис 1997-1998 годов. Кроме того, эти три экономические интеграции находятся на разных концах света, что позволяет проанализировать изменении ПИИ в процессе создания экономической группировки по всему миру.
НАФТА
НАФТА (англ. North American Free Trade Agreement, NAFTA) - это соглашение о зоне свободной торговли между тремя странами: США, Канадой и Мексикой. Оно заменило действующее ранее Канадско-американское соглашение о свободной торговле. Датой создания НАФТА считают 17 декабря 1992 года. Целесообразно анализировать изменение потока ПИИ в Мексику после ее присоединения к альянсу.
На рисунке 1 показаны наблюдения изменения потоков ПИИ в
Мексику с 1982 по 1998 года. Изменения ПИИ измерены в трех различных
показателях: ПИИ в текущих долларах США на душу населения, ПИИ как доля ВВП, и
ПИИ как доля от общего объема инвестиций. По вертикали отложены разы, во
сколько ПИИ в исследуемо году больше, чем объем ПИИ в 1983 году, по горизонтали
- года.
Рисунок 1 "Поток ПИИ в Мексику"
Источник: Monge-Naranjo A. The impact of NAFTA on Foreign Direct Investment flows in Mexico and the Excluded countries // draft paper Northwestern University. - 2002.
Анализируя график, можно сказать, что с 1993 года наблюдается резкий рост ПИИ на душу населения. Это можно объяснить тем, что при создании РТИС ВВП, а также портфельные инвестиции увеличиваются, поэтому рост других двух показателей не является столь же быстрым.
Важно отметить, что подавляющая доля приходящих в Мексику инвестиций была со стороны США, то есть большинство инвестиций ПИИ стало внутренним в рамках НАФТА.
Более того, в докладе Юнктад 1995 отмечается, что в результате
образования НАФТА потоки ПИИ в Мексику значительно увеличились. На рисунке 2
показана динамика ПИИ в Мексику по сравнению с общемировым ростом потоков
прямых инвестиций. Очевидно, что поток ПИИ во всех странах - членах НАФТА
увеличивался по мере интеграции, значительно превышая общемировой показатель.
Рисунок 2 "Приток ПИИ по странам НАФТА 1986-1997 (млрд
долл)"
С точки зрения теории такой стремительный рост ПИИ в Мексику не является случайным и может быть объяснен теоретически. Согласно теории Вернона ПИИ появляются на стадии зрелости продукта, когда конкуренция на национальном рынке начинается значительно усиливаться, и компания сталкивается с необходимостью снижать издержки. В данном случае американские компании направляют ПИИ в Мексику, так как такой фактор производства, как труд, в Мексике дешевле.
Кроме того, США является развитой страной в отличие от Мексики. Как следствие этого, американские производители обладают большими компетенциями в различных областях. Согласно теории несовершенной конкуренции, многие американские производители имели монополистические преимущества на мексиканском рынке.
Европейский союз
Европейский союз - это экономическо-политическое объединение, в которое входит 28 стран, созданное в 1993 году. Как было описано в первой главе, на ранней стадии интеграции поток ПИИ в страны-члены значительно увеличился, но со временем изменении ПИИ могут быть противоречивы согласно теории Яннопулоса.
На рисунке 3 показана динамика изменения ПИИ в ЕС с момента
создания по 2010 год. График показал, что поток ПИИ между странами-членами ЕС
значительно вырос: с €64 млрд в 1992 году до €260 млрд в 2010. Следует
учитывать также, что значение 2010 года не является наибольшим, так как так как
это после кризисный период, в 2007 году поток ПИИ достигал €730 млдр Более
того, уровень ПИИ стал падать в ЕС до кризиса, а именно с 2001-2002 годов,
однако, он все равно значительно выше уровня ПИИ, чем в момент создания ЕС.
Рисунок 3 " ПИИ внутри стран ЕС 1992-2010 гг. "
Источник: Eurostat,AMECO
На сайте Европейской Комиссии регулярно публикуются различные
данные о роли ЕС в мировой экономике. Рисунок 4 иллюстрирует роль ЕС в
формировании мировых потоков ПИИ в 1995-2013 гг. Анализируя рисунок можно
сказать, что с момента создания группировки до 2000-х, доля ЕС в мировых
потоках ПИИ постепенно росла. Более того, доля ПИИ ЕС увеличивалась быстрее,
чем доля других развитых стран мира.
Рисунок 4 "Мировые потоки ПИИ в млрд долларов в 1995-2013 гг.
"
Приток ПИИ в ЕС теоретически можно подтвердить эклектической парадигмой. Преимущество собственника объясняется тем, что каждая из стран имеет свою конкретную специализацию, что ставит ее в выигрышное положение по сравнению с местными производителями или другими странами. Преимущество размещения в данном случае состоит в наличии различных ресурсов между странами. Преимущество интернализации для каждого конкретного случая, то есть для отдельной ТНК, различно.
КАРИКОМ
КАРИКОМ (англ. Caribbean Community (CARICOM)) - это экономический и торговый союз 15 стран Южной Америки. Данный союз был основан 24 июля 1973 года, но действующий договор о Едином рынке был подписан только в 2001 году. Официально данный договор был пересмотренным Чагауарамасским договоров, но на практике он означал окончательное создание единого экономического пространства. Данные об инвестиционных потоках между странами ЮНКТАД публикует с 1990 года, поэтому для анализа влияние интеграционных процессов на приток ПИИ в страны - члены используем сравнение уровня ПИИ до и после подписания договора.
На рисунке 5 показано изменение внутреннего притока и оттока ПИИ в
странах-членах КАРИКОМ. На основе данного графика можно сделать вывод, что
углубление степени интеграции увеличивает уровень ПИИ в группировке. Так,
значение притока ПИИ составило более примерно $ 5606,19 млн в 2007 году, по
сравнению с $ 449,39 млн в 1990 году.
Рисунок 5 "Приток и отток ПИИ в КАРИКОМ, 1990-2008 ($ млн)
Источник: UNCTAD, FDI Statistic database
Основываясь на анализе вышеприведенных интеграционных объединениях, можно сделать следующие выводы:
· Создание экономического интеграционного союза стимулирует поток ПИИ;
· Со временем уровень ПИИ в объединении может начать снижаться, но он все равно будет выше, чем до создания организации;