Материал: Вариант№20_(2020)

Внимание! Если размещение файла нарушает Ваши авторские права, то обязательно сообщите нам

3.3. Кодер

Используется помехоустойчивый сверточный код.

Требуется:

1. Задать параметры сверточного кодера: степень кодирования k/n = 1/2 длину кодового ограничения K = 3 векторы; векторы связи g1 = 111, g2 =

= 101.

Схема кодера указана на Рис. 6, используются следующие параметры свёрточного

кода:

- степень кодирования k/n = 1/2,

- длина кодового ограничения K = 3,

- векторы связи и .

1-й(нечетный) кодированный бит

Информационный входной бит

Выходной кодированный дибит

2-й(четный) кодированный бит

Рис. 6: Схема кодера

2. По решетчатой диаграмме сверточного кодера определить последовательность кодовых символов (КС) uˆ на выходе кодера при условии ,когда на вход кодера поступает 9- разрядная двоичная последовательность информационных символов (ИС) mˆ ,соответствующая заданному уровню квантования j

По решетчатой диаграмме сверточного кодера определим последовательность кодовых символов (КС) u на выходе кодера при условии m = 110111100

Информационные символы m

1

1

0

1

1

1

1

0

0

Кодовые символы (КС) u

11

01

01

00

01

10

10

01

11

3. На решетчатой диаграмме кодера отметить путь, соответствующий полученным КС.

Рис. 7: Решетчатая диаграмма кодера

3.4. Формирователь модулирующих сигналов

Формирователь модулирующих сигналов (ФМС)предназначен для преобразования двоичного цифрового потока от кодера C(t) в модулирующие сигналы I(t) и Q(t), которые необходимо подавать на синфазный и квадратурный входы модулятора для получения заданного сигнального созвездия на его выходе.

Tb = = 5.447 ∙ 10-6 (с)

Сигнал на выходе сверточного кодера представляет собой случайную последовательность однополярных прямоугольных импульсов с амплитудой U = 1 В. Продолжительность одного импульса, поступающего с выхода кодера составляет:

Прежде чем поступить на вход блока ФМС, он преобразуется в сигнал, состоящий из биполярных прямоугольных импульсов. Аналитическое выражение случайного процесса C(t).

1. Изобразить сигнальное созвездие для заданного вида модуляции.

Рис. 8: Сигнальное созвездие КФМ-4

2. Изобразить график реализации c(t) случайного процесса C(t), формируемого с выхода блока сверточного кодера (К). Реализация c(t) поступает на вход блока ФМС на первых 16 бинарных интервалах длительностью TB. Написать аналитическое выражение для случайного процесса C(t) На Рис. 9 представлен график реализации c(t) на входе блока ФМС.

Рис. 9: График реализации c(t)

3. В соответствии с сигнальным созвездием модулятора КФМ-4 изобразить для входной реализации c(t) графики реализаций I(t) и Q(t) на выходе блока ФМС случайных процессов, соответствующие входной реализации c(t). Аналитические выражения для случайных процессов I(t) и Q(t).

Рис. 10: Графики i(t), q(t)

Продолжительность одного импульса, поступающего с выхода блока ФМС, составляет Ts = 2 · Tб = 1.09 · 105(с) Реализации i(t) и q(t) можно представить в форме

in и qn – реализации случайных величин In и Qn на символьном интервале с номером n.

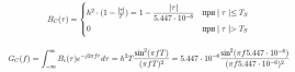
4. Написать аналитические выражения для корреляционной функции B(τ ) и спектральной

плотности мощности GC(ω) входного случайного процесса C(t) и построить графики этих функций.

В данном случае T = Tб – длительности тактового интервала. Графики функций BC(τ ) и

GC(f ) приведены на Рис. 11.

Рис. 11: Графики BC(t), GC(f )

      1. Написать аналитические выражения для корреляционных функций BI(τ ) и BQ(τ ), спектральных плотностей мощности GI(ω) и GQ(ω) случайных процессов I(t) и Q(t). Построить графики этих функций.

Реализации случайного процесса I(t) принимают два дискретных значения −h h с равной вероятностью P = 0.5. Математическое ожидание произведения I(t1) · I(t2) определяется формулой

Аналитические выражения для корреляционных функций BI(τ) и BQ(τ) совпадают и равны

Аналитические выражения для спектральных мощностей GI(ω) и GQ(ω) случайных процессов I(t) и Q(t) тоже будут совпадать. Их графики представлены на Рис. 12

Рис. 12: Графики BI(t), GI(f )

Наглядное сравнение корреляционных функций и спектральных плотностей можно видеть на Рис. 13. Так как TS = 2TB, графики функций GQ(f ) и GI(f ) станут в 2 раза уже, чем график GC(f ). Графики BQ(f ) и BI(f ) станут в 2 раза шире, чем график BC(t)

Рис. 13: Сравнение корреляционных функций и спектральных плотностей

3.5. Модулятор

3.5.1. Сглаживающий формирующий фильтр

В состав модулятора структурной схемы цифровой системы связи (ЦСС) между блоками ФМС и перемножителями входят сглаживающие формирующие фильтры СФФ, необходимые для оптимизации ЦЦС в отношении межсимвольной помехи, а также инвертор и сумматор, на выходе которого получается сигнал заданного вида модуляции КФМ-4.

Требуется:

      1. Изобразить структурную схему модулятора в составе ЦСС.

  • Генератор синфазного несущего колебания U cos(ωct)

  • Фазовращатель для получения квадратурного несущего колебания U sin(ωct)

  • Перемножители для получения БМ сигналов

  • Сумматор для получения сигнала с квадратурной модуляцией

Рис. 14: Структурная схема модулятора в составе ЦСС

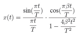
      1. Написать аналитические выражения для сигнала x(t) со спектром приподнятого косинуса (импульса Найквиста) и его спектральной плотности Sx(f ) для значений коэффициента сглаживания 0 β 1. Изобразить их графики сигналов x(t) и соответствующие спектральные плотности.

3. Спектральная плотность Sx(f ) импульсов Найквиста

Рис. 15: График сигнала x(t) и его спектральной плотности Sx(f )

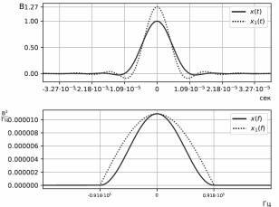
4. Изобразить графики спектральных плотностей Sx(f ) и Sx1(f ) сигналов x(t) и x1(t) (рис.17), где x(t) - импульс Найквиста при коэффициенте сглаживания =1; x1(t) - импульс со спектральной плотности Sx1(f ).

Рис. 16: Сравнение графиков x(t) и x1(t)

Написать аналитические выражения для случайных процессов Iϕ(t) и Qϕ(t).

Iϕ(t) = g3(t) 3g3(t Ts) g3(t 2Ts) 3g3(t 3Ts)

Qϕ(T ) = 3g3(t) + 3g3(t Ts) + 3g3(t 2Ts) + g3(t 3Ts)

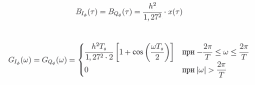
5. Написать аналитические выражения для корреляционных функций и спектральных плотностей случайных процессов Iϕ(t) и Qϕ(t) и построить графики этих функций.

Рис. 17: Графики BIϕ (τ ), SIϕ (ω)

3.5.2. Блоки перемножителей, инвертор, сумматор

Требуется:

1. Написать аналитические выражения для корреляционных функций BIϕ(τ ) и BQϕ(τ ) случайных процессов Iϕ и Qϕ на выходах перемножителей, где ϕ - случайная фаза с равномерной плотностью вероятности на интервале от 0 . . . 2π. Случайная фаза не зависит от случайных процессов.

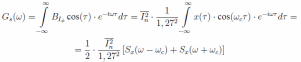
2. Написать аналитические выражения для корреляционных функций BQϕ (τ ) и BIϕ (τ ) для спектральной плотности мощности GS(ω) сигнала S(t) на выходе сумматора. Построить графики этих функций.

n

где x(τ ) - импульс Найквиста, определяемый при β = 1, I2 = h2.

где аналитические выражения для функций Sx(ω −ωc) и Sx(ω + ωc) выглядят следующим образом. Их графики приведены на рис. 18.

Рис. 18: Графики BS(τ ), GS(ω)