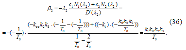
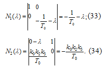
По формуле (32) определим:
Определим
:
Поскольку
, то в
соответствии с уравнением (31)
.
Для класса нелинейных систем, к
которому принадлежит рассматриваемая система, достаточные условия устойчивости
имеют вид:
Условие (37) приводит к следующему достаточному условию устойчивости рассматриваемой системы:
Вывод: Данная
система по критерию Ляпунова неустойчивая.
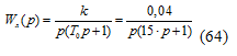
3.3 Исследование устойчивости САУ частотным методом Попова
В режиме стабилизации температуры
можно принять:
.
Коэффициент усиления линейной части
системы равен:
Коэффициент усиления нелинейного
звена системы равен:
.
Коэффициент усиления линейной части
системы и нелинейного звена
условно отнесем к нелинейному
звену.
Необходимо определить, при каких значениях k система будет абсолютно устойчива, если характеристика нелинейного звена расположена в секторе (0, k)
Частотная передаточная функция
линейной части системы имеет вид:
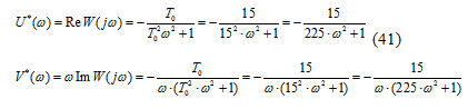
Её вещественная и мнимая части
соответственно равны:
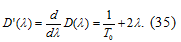
Введем некоторые функции
следующим
образом:
По данным выражениям построим
характеристику
и через
точку (-1/k, j0) проведем прямую Попова так, чтобы построенная характеристика
целиком лежала справа от этой прямой.
Уравнение прямой Попова, коэффициенты которого получены путем подбора, приведено ниже:
1(ω) = 1∙U(ω) + 0,115
Таблица 2
Рис. 4. Характеристика V*(ω) = f [U*(ω)] (сплошная
линия) и прямая Попова (пунктирная линия)
Расчетное значение разомкнутой
системы равно:
Система абсолютно устойчива для всех нелинейных
характеристик, лежащих в секторе 0<k<8,7
и, в частности, для характеристики релейного типа.
3.4 Исследование устойчивости САУ
алгебраическим методом
Исследуем устойчивость САУ
температуры и определим амплитуду и частоту колебаний алгебраическим методом. По
структурно-математической схеме (см. рис. 1) определяем дифференциальное
уравнение линейной части системы при отключенной местной обратной связи и
:
Для нелинейного звена запишем гармонически
линеаризованное выражение:
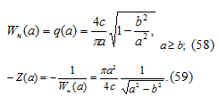
где для нелинейности (см. рис. 2):
Подставляя значение u из уравнения (43) в
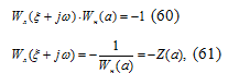
уравнение (42), получим линеаризованное уравнение замкнутой нелинейной системы:
где
-
коэффициент усиления линейной части системы.
Этому дифференциальному уравнению соответствует
характеристическое уравнение:
Условие существования в уравнении (45)
периодического решения:
будем отыскивать с помощью критерия Михайлова.
Для этого в характеристический полином:
подставим
, выделим
вещественную и мнимую части и приравняем их к нулю:
Из второго уравнения системы (49)
найдем искомую частоту периодического решения
.
Подставим это решение в первое
уравнение (49) и найдем выражение, связывающее амплитуду периодического решения
с
параметрами системы:
Отсюда получим ![]()
Для исследования устойчивости
найденного периодического решения воспользуемся приближенным аналитическим
условием, согласно которому периодическое решение устойчиво, если выполняется
неравенство:
Из выражений (49) находим:
Подставим выражение для частных
производных в (49) и одновременно произведем замену
.
Получим условие устойчивости
периодического решения в виде:
Получаем
В данном случае условие
существования периодического решения имеет вид:
. Следовательно, автоколебания
отсутствуют, состояние равновесия устойчиво.
Исследуем устойчивость САУ
температуры и определим амплитуду и частоту колебаний методом гармонической
линеаризации (см. рис. 1) при отключенной местной обратной связи и
.
Структурно-математическая схема САУ температуры представлена на рис. 8. Статическая характеристика нелинейного звена изображена на рис. 2.
Введем следующие обозначения:
- коэффициент
усиления линейной части системы.
Рис. 5. Структурно-математическая схема САУ
температуры
Построим амплитудно-фазовую
частотную характеристику линейной части системы
и годограф гармонически
линеаризованного нелинейного звена
. Согласно структурно-математической
схеме частотная передаточная функция линейной части системы равна:
ее модуль:
и фаза:
Ее вещественная и мнимая части
соответственно равны:
Задаваясь значениями
от 0 до
, по
формулам (56) и (57) строим амплитудно-фазовую характеристику линейной части
системы
(см. рис. 9)
:
Таблица 3
Рис. 6. АФЧХ линейной части системы
Гармонически линеаризованная
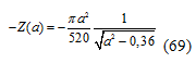
передаточная функция нелинейного звена равна:
После подстановки численных значений
параметров нелинейного звена получим:
.
Задаемся значениями a от a = b = 0,7 до ∞
и строим годограф нелинейного звена
(см. рис. 10):
Таблица 4
|
a |
0,7 |
0,8 |
0,9 |
1 |
2 |
3 |
4 |
5 |
|
-Z(a) |
-0,02276 |
-0,0138 |
-0,01087 |
-0,00944 |
-0,00664 |
-0,00629 |
-0,00618 |
-0,00613 |
В данном случае этот годограф совпадает с
отрицательной вещественной полуосью и имеет две ветви:
Рис. 7. Частотные характеристики линейной части
системы и нелинейного звена
Минимальное значение модуля функции
:
достигается при
. Годографы
и
не
пересекаются. Это означает, что состояние равновесие системы устойчиво, автоколебания
отсутствуют.
3.6 Исследование устойчивости САУ
частотным методом
Исследуем переходный процесс в САУ температуры частотным методом.
Коэффициент затухания ξ
и
частоту колебаний ω переходного
процесса в САУ температуры будем отыскивать путем решения гармонически
линеаризованного уравнения:
где
получается из передаточной функции
линейной части системы
подстановкой
, а
гармонически линеаризованная передаточная функция нелинейного звена
-
подстановкой
в
выражение:
в результате получаем:
Уравнение (60) будем решать
графически. Для этого в передаточной функции линейной части системы:
произведем подстановку
. Получим:
Модуль этой функции:
и фаза:
Подставив в выражение (66) и (67)
приведенные в исходных данных значения параметров и, задаваясь различными
постоянными значениями показателя затухания ξ, построим серию кривых
как функции
от частоты колебаний ω
при
ξ
= const (см.
рис. 10).
На этом же графике нанесем обратную
амплитудно-фазовую характеристику нелинейного звена
при
заданных параметрах b и c. Для нелинейной характеристики релейного типа с зоной
нечувствительности имеем:
Отсюда:

Рис. 8. Частотные характеристики
линейной части системы и нелинейного звена САУ температуры
Как видно из графиков, точка
пересечения годографов линейной части системы и нелинейного звена отсутствует.
Следовательно, САУ температуры находится в устойчивом равновесном состоянии.
3.7 Исследование САУ температуры
сушильной камеры
в
среде Simulink
Согласно рисунку 3, в программном продукте MATLAB в среде Simulink составляется блок-схема математической модели САУ температуры сушильной камеры. После чего проводится анализ САУ: строятся переходная характеристика, ЛАХ и ЛФХ, АФЧХ; определяются характеристики переходного процесса, запасы по фазе и амплитуде.
Рис. 9. Структурно-математическая схема системы
автоматического регулирования
температуры в среде Simulink
Рис. 10. Переходная (временная) характеристика системы автоматического регулирования температуры
Рис. 11. ЛАХ и ЛФХ нелинейной САУ
Рис. 12. АФЧХ нелинейной САУ
автоматический управление температура сушильный
Заключение
В данном курсовом проекте я исследовал устойчивость нелинейной САУ. Объектом регулирования (ОР) в рассматриваемой САУ является сушильная камера. Регулируемый параметр - температура греющего агента θ, которая устанавливается поворачивающейся заслонкой (РО), приводимой в движение исполнительным механизмом (электродвигателем Д с редуктором Р). Регулирующий орган - заслонка - изменяет соотношение между количеством холодного воздуха и горячего газа.
В процессе выполнения курсовой работы произвел исследование устойчивости и режима автоколебаний нелинейной САУ температуры в сушильной камере с использованием следующих методов:
фазовых траекторий;
прямым методом А.М. Ляпунова;
частотным методом В.М.Попова;
алгебраическим методом;
гармонической реализации;
частотным методом;
с помощью Simulink.
Получили следующие характеристики:
) Время переходного процесса - 25,9 сек;
) Запас по фазе - 143 рад.
) Запас по амплитуде - 49,8 с.
) Частота - 0,05 рад/с.
И сделали вывод, что САУ температуры находится в устойчивом равновесном состоянии, автоколебания отсутствуют.
По разработанной структурно-функционально-математической схеме определил устойчивость нелинейной САУ температуры в сушильной камере при помощи программного пакета Simulink.
Список использованной литературы
1. Щербаков В.С. Конспект лекций по ТАУ
. Щербаков В.С., Сухарев Р.Ю. «Методические указания по выполнению курсовых работ» - 2012г.
. Александров Ю.В. «Основы автоматики и автоматизация производственных процессов в дорожном строительстве». - 1974 г.