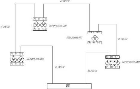
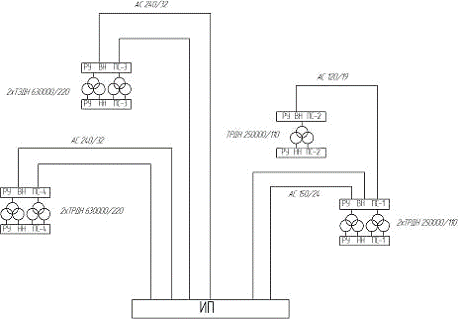
Структурные схемы сетей представлены
на рисунке 3.1
а) Вариант №1
б) Вариант №2
Рисунок 3.1 - Структурные схемы
сетей
4. ВЫБОР КОНСТРУКТИВНОГО ИСПОЛНЕНИЯ СЕТИ И СЕЧЕНИЙ ПРОВОДНИКОВ
электрическая сеть проектирование
4.1 Сечения проводников 35 кВ и выше
Для передачи электроэнергии используем сталеалюминевые воздушные линии.
Вариант №1
Мощность, передаваемая линией Л1:
Расчётный ток в Л1 в режиме
наибольших нагрузок при нормальном режиме работы сети:
Так как для всех
потребителей ![]()
, то экономическая
плотность тока для всех линий ![]()
[1, таблица 3.12].
Экономическое сечение
линии Л1:
По условию короны
сечение линии 110 кВ не может быть менее ![]()
. Принимаем
предварительно провод АС-150/24.
Производим проверку по
нагреву. Длительно допустимый ток для проводов АС-150/24 вне помещений ![]()
[1, таблица 3.15].
Послеаварийный ток в
линии Л1 ![]()
Так как ![]()
, то провод АС-150/24
проходит проверку по нагреву, принимаем его для линии Л1.
Аналогично выполним
подбор сечений проводников для всех остальных линий и сведём результаты в
таблицу 4.1
Таблица 4.1 - Результаты выбора сечений проводов ВЛ 35 кВ и выше
|
Участок сети |
|
Ток, А |
|
Сечение по условию: |
|
Марка провода |
||
|
|
|
Нормальный режим |
Послеаварийный режим |
|
|
|
|
|
|
Вариант сети №1 |
||||||||
|
Л1 |
110 |
139 |
278 |
0,9 |
150 |
70 |
450 |
АС150/24 |
|
Л2 |
110 |
127 |
127 |
0,9 |
150 |
70 |
450 |
АС120/19 |
|
Л3 |
220 |
100 |
200 |
0,8 |
120 |
240 |
310 |
АС 240/32 |
|
Л4 |
220 |
96 |
192 |
0,8 |
120 |
240 |
610 |
АС 240/32 |
|
Вариант сети №2 |
||||||||
|
Л1 |
220 |
262,5 |
526,7 |
0,9 |
240 |
240 |
610 |
АС240/32 |
|
Л2 |
220 |
191 |
446 |
0,9 |
180 |
240 |
610 |
АС240/32 |
|
Л3 |
220 |
123 |
380 |
0,9 |
150 |
240 |
610 |
АС240/32 |
|
Л4 |
220 |
71 |
189 |
0,9 |
120 |
240 |
610 |
АС240/32 |
|
Л5 |
220 |
264,2 |
526,7 |
0,9 |
240 |
240 |
610 |
АС240/32 |
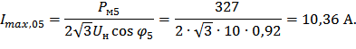
4.2 Сечения проводников до 35 кВ
Схема питания потребителей №№ 5, 6
приведена на рисунке 4.1. Питание осуществляется ВЛ 10 кВ.
Рисунок 4.1 - Схема питания
потребителей №№ 5, 6
Производим выбор сечения ВЛ.
Провод, питающий потребителя №6
) Выбор по экономической плотности
тока.
Принимаем ближайшее
стандартное сечение жилы ![]()
Выбираем провод марки СИП-3-16
Сведём результаты в
таблицу 4.2.
Таблица 4.2 - Результаты выбора сечений кабелей КЛ 10 кВ
|
Потребитель |
Ток, А |
|
Сечение по условию: |
|
Марка кабеля |
Нормальный режим Послеаварийный
режим ![]()
|
|
|
|
|
|||
|
5 |
10,36 |
20,72 |
1,1 |
16 |
80 |
СИП |
|
6 |
10,89 |
21,78 |
1,1 |
16 |
80 |
СИП |
5. ТЕХНИКО-ЭКОНОМИЧЕСКОЕ СРАВНЕНИЕ
ВАРИАНТОВ СЕТИ
При сравнении двух вариантов электрических сетей используем метод приведённых затрат.
Приведённые затраты при
одновременных капитальных вложениях (при сроке строительства не более года) и
постоянных годовых эксплуатационных расходах вычисляются по формуле:
где ![]()
- нормативный
коэффициент эффективности капитальных вложений, равный 0,12;
К - капитальные затраты на сооружение электрической сети;
И - ежегодные издержки
на эксплуатацию сети.
.1 Определение
капитальных затрат
Капитальные вложения на
сеть состоят из затрат на сооружение линий и на сооружение подстанций.
.1.1 Затраты на сооружение линий
В капитальные вложения на линии входят затраты: на подготовку трассы линий, опоры, изоляторы, провода, монтаж линий и пр.
В качестве опор для
сооружения ВЛ 220 кВ и выше принимаем стальные опоры.
Таблица 5.1 - Оценка капитальных затрат на сооружение ВЛ для варианта сети №1
|
Участок сети |
Л1 |
Л2 |
Л3 |
Л4 |
|
Номинальное напряжение, кВ |
110 |
110 |
220 |
220 |
|
Количество цепей на опоре, шт |
1 |
1 |
1 |
1 |
|
Марка провода |
АС150/24 |
АС120/19 |
АС240/32 |
АС240/32 |
|
Длина линий, км |
57 |
17 |
45 |
66 |
|
Количество линий на участке, шт |
2 |
1 |
2 |
2 |
|
Базовые показатели стоимости, тыс. руб./км |
1050 |
1050 |
1200 |
1200 |
|
Базовая стоимость участка сети, тыс. руб. |
119700 |
17850 |
108000 |
158400 |
|
Капитальные затраты с учётом повышающего коэффициента, тыс. руб. |
318881 |
47552 |
287712 |
421978 |
|
Итоговые капитальные затраты на линии, тыс. руб. |
1076122 |
|||
Таблица 5.2 - Оценка капитальных затрат на сооружение ВЛ для варианта сети №2
|
Участок сети |
Л1 |
Л2 |
Л3 |
Л4 |
Л5 |
|
Номинальное напряжение, кВ |
220 |
220 |
220 |
220 |
220 |
|
Количество цепей на опоре, шт |
1 |
1 |
1 |
1 |
1 |
|
Марка провода |
АС240/32 |
АС240/32 |
АС240/32 |
АС240/32 |
АС240/32 |
|
Длина линий, км |
57 |
17 |
17 |
45 |
66 |
|
Количество линий на участке, шт |
1 |
1 |
1 |
1 |
1 |
|
Базовые показатели стоимости, тыс. руб./км |
1200 |
1200 |
1200 |
1200 |
1200 |
|
Коэффициент приведения затрат к 2005 году |
2,664 |
2,664 |
2,664 |
2,664 |
2,664 |
|
Базовая стоимость участка сети, тыс. руб. |
68400 |
20400 |
20400 |
54000 |
79200 |
|
Капитальные затраты с учётом повышающего коэффициента |
182217,6 |
54345,6 |
54345,6 |
143856 |
210988,8 |
|
Итоговые капитальные затраты на линии, тыс. руб. |
645753,6 |
||||
5.1.2 Затраты на сооружение подстанций
В обоих вариантах сети все
подстанции являются одинаковыми или отличия в них несущественны и не влияют на
стоимость. Поэтому сравнивать их не имеет смысла так как их стоимость будет
одинакова.
.2 Определение годовых
эксплуатационных расходов
Ежегодные издержки сети
состоят из отчислений от капитальных затрат на амортизацию эксплуатацию ![]()
и подстанций ![]()
и стоимости ![]()
потерь электроэнергии ![]()
за год:
где ![]()
- издержки на
амортизацию;
![]()
- издержки на
эксплуатацию;
![]()
- затраты на возмещение
потерь электроэнергии;
![]()
- коэффициент
амортизации, %;
![]()
- отчисления на ремонты
и обслуживание элементов сети, %.
![]()
- стоимость 1кВт∙ч
потерянной энергии, руб.
.2.1 Определение ежегодных издержек на амортизацию и эксплуатацию
Издержки на амортизацию
и эксплуатацию линий варианта сети №1
Аналогично рассчитываются ежегодные
издержки на амортизацию и эксплуатацию других линий и подстанций обоих
вариантов сети. Вычисляем эти издержки и сводим результат в таблицу.
Таблица 5.4 - Расчёт ежегодных издержек на амортизацию и эксплуатацию
|
|
Вариант №1 |
Вариант №2 |
|
Капитальные затраты на сооружение, тыс. руб.: |
|
|
|
линий |
|
645753,6 |
|
Издержки на амортизацию и эксплуатацию, тыс. руб.: |
|
|
|
линий |
72100,17 |
43265,5 |
|
итого |
72100,17 |
43265,5 |
.2.2 Определение затрат на возмещение потерь электроэнергии
Вариант сети №2
Время наибольшей нагрузки для участка
ИП-1:
Время наибольших потерь на участке
Потери активной мощности на участке:
Потери электроэнергии на участке
Аналогично вычислим потери
электроэнергии на остальных участках и сведём результаты расчётов в таблицу.
Таблица 5.5 - Определение потерь электроэнергии в сетях
|
Параметр |
Вариант №1 |
Вариант №2 |
|||||||
|
|
А-1 |
2-1 |
А-4 |
3-4 |
А-1 |
1-2 |
2-3 |
3-4 |
4-5 |
|
Время наибольшей нагрузки, ч |
2159 |
3790 |
5755 |
5720 |
4934 |
5306 |
5790 |
5790 |
5755 |
|
Время наибольших потерь, ч |
1012 |
2216 |
4286 |
4243 |
3339 |
3754 |
4329 |
4329 |
4286 |
|
Потери активной мощности, МВт |
9,42 |
3,85 |
3,88 |
0,93 |
3,88 |
1,27 |
0,796 |
1,69 |
2,29 |
|
Потери электроэнергии, МВт∙ч |
9533 |
8532 |
16630 |
12955 |
4768 |
3463 |
7316 |
9815 |
|
|
|
38641 |
32317 |
|||||||
Потери электроэнергии в трансформаторах включают потери в стали, величина которых зависит только от параметров трансформатора и потери в меди, величина которых зависит ещё и от загрузки трансформатора.
Например, для варианта сети №2
потери в стали на ПС№2:
где ![]()
- потери холостого хода
одного трансформатора, МВт;
![]()
- количество часов
работы в год;