Материал: Упрощенный порядок проектирования электрической сети района

Внимание! Если размещение файла нарушает Ваши авторские права, то обязательно сообщите нам

Упрощенный порядок проектирования электрической сети района














Упрощённый порядок проектирования электрической сети района

ОГЛАВЛЕНИЕ

Введение

. Разработка вариантов конфигураций и выбор номинальных напряжений сети

. Ориентировочный выбор компенсирующих устройст

. Выбор числа и мощности трансформаторов на понижающих подстанциях

. Выбор конструктивного исполнения сети и сечений проводников

.1 Сечения проводников 35 кВ и выше

.2 Сечения проводников до 35 кВ

. Технико-экономическое сравнение вариантов сети

.1 Определение капитальных затрат

.2 Определение годовых эксплуатационных расходов

5.3 Сравнение двух вариантов сетей

. Электрический расчёт характерных режимов сети

. Выбор ответвлений трансформаторов и других средств обеспечения качества напряжения

. Технико-экономические показатели электрической сети

Заключение

Список использованных источников

ВВЕДЕНИЕ

В данной работе рассмотрен упрощённый порядок проектирования электрической сети района. В ходе работы обучающимся достигнуты результаты:

) Усвоен материал, связанный с содержанием работы;

) Повышен навык использования справочной литературы;

) Приобретены знания и способности, необходимые для дальнейшего обучения выбранной специальности.

1. РАЗРАБОТКА ВАРИАНТОВ КОНФИГУРАЦИЙ И ВЫБОР НОМИНАЛЬНЫХ НАПРЯЖЕНИЙ СЕТИ

Из возможных вариантов конфигураций сети выбираем два наилучших - №1 и №2.

Рисунок 1.1 - Варианты сети

Длины участков

Вариант сети №1    

Вариант сети №2     


Номинальное напряжение для участка Л1 (вариант №1):

по формуле Илларионова


принимаем ближайшее стандартное

по экономическим областям [3, рисунок 6.5]

Принимаем

Аналогично выбираем номинальные напряжения остальных участков обоих вариантов конфигурации сети и сводим результаты в таблицу 1.2.

Таблица 1.2 - Результаты выбора номинального напряжения участков сети

Участок сети

Номинальное напряжение

Выбранное напряжение, кВ


По формуле Илларионова

По экономическим областям


Вариант сети №1

Л1

110

110/150

110

Л2

110

110

110

Л3

220

220

220

Л4

220

220

220

Вариант сети №2

Л1

220

220

220

Л2

220

220

220

Л3

110

110/220

220

Л4

110

110

220

Л5

220

220

220



2. ОРИЕНТИРОВОЧНЫЙ ВЫБОР КОМПЕНСИРУЮЩИХ УСТРОЙСТВ

Рассчитаем необходимую мощность компенсаторов реактивной мощности по формуле:


и сведём результаты в таблицу 2.1

Таблица 2.1 - Необходимые мощности реактивных компенсаторов

Потребитель

1

28

0,89

7,28

2

23

0,95

0

3

72

0,95

0

4

72

0,90

10,8


Потребитель №1. I категория. Необходимая мощность одного компенсатора

Выбираем по [1, таблица 7.27] стандартную 10 кВ шунтовую конденсаторную батарею мощностью .

Потребитель №2. III категория. В обоих вариантах схемы будет использован один двухобмоточный трансформатор. Компенсатор для этого потребителя не требуется, так как реальный коэффициент мощности соответствует желаемому.

Потребитель №3. В обоих вариантах схемы будет использован один двухобмоточный трансформатор. Компенсатор для этого потребителя не требуется, так как реальный коэффициент мощности соответствует желаемому.

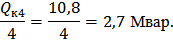
Потребитель №4. I категория, напряжения всех подводимых линий одинаковы (п. 1). В обоих вариантах сети будут использованы два двухобмоточных трансформатора. Необходимая мощность одного компенсатора

Выбираем по [1, таблица 7.27] стандартную 10 кВ шунтовую конденсаторную батарею мощностью .

Сведём полученные данные в таблицу 2.2

Таблица 2.2 - Результаты выбора компенсирующих устройств

Номер подстанции

   Количество и тип компенсирующих устройств




Вариант сети №1

1

28

0,59

0,329

9,6

4ШКБ 2,4 Мвар

2

23

0,329

0,329

0

-

3

72

0,329

0,329

0

-

4

72

0,48

0,329

14,4

4ШКБ 3,6 Мвар

Вариант сети №2

1

28

0,59

0,329

9,6

4ШКБ 2,4 Мвар

2

23

0,329

0,329

0

-

3

72

0,329

0,329

0

-

4

72

0,48

0,329

14,4

4ШКБ 3,6 Мвар



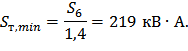
3. ВЫБОР ЧИСЛА И МОЩНОСТИ ТРАНСФОРМАТОРОВ НА ПОНИЖАЮЩИХ ПОДСТАНЦИЯХ

Потребитель №1


Минимальная мощность каждого трансформатора:

Выбираем по [1, таблица 5.18] трансформатор ТРДН-25000/110.

Для второго варианта выбираем трансформатор ТРДН-25000/220

Коэффициент загрузки трансформатора:

в нормальном режиме

в аварийном режиме

Потребитель №2

Минимальная мощность каждого трансформатора:

Выбираем по [1, таблица 5.18] трансформатор ТРДН-25000/110.

Для второго варианта выбираем трансформатор ТРДН-25000/220

Коэффициент загрузки трансформатора

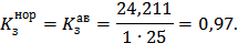
Потребитель №3.

Минимальная мощность каждого трансформатора:

Выбираем по [1, таблица 5.18] трансформатор ТРДН-63000/220.

Для второго варианта выбираем трансформатор ТРДН-63000/220

Коэффициент загрузки трансформатора

Коэффициент аварийной перегрузки

Потребитель №4.

Минимальная мощность каждого трансформатора:

Выбираем по [1, таблица 5.18] трансформатор ТДН-63000/220.

Коэффициент загрузки трансформатора:

в нормальном режиме

в аварийном режиме

Потребитель №5. II категория, напряжение линии - 10 кВ. Требуется установка двух трансформаторов 10/0,4 кВ.

Полная мощность потребителя

Минимальная мощность каждого трансформатора:

Выбираем по [2, таблица 24.4] трансформатор ТС-400/10.

Коэффициент загрузки трансформатора:

в нормальном режиме

в аварийном режиме

Потребитель №6. II категория, напряжение линии - 10 кВ. Требуется установка одного трансформатора 10/0,4 кВ.

Полная мощность потребителя

Минимальная мощность трансформатора:

Выбираем по [2, таблица 24.5] трансформатор ТМ-400/10.

Коэффициент загрузки трансформатора

Коэффициент аварийной перегрузки

Результаты выбора трансформаторов сводим в таблицу 3.1

Таблица 3.1 - Результаты выбора трансформаторов

Номер подстанции

Категория потребителей

Число трансформаторов

Марка трансформаторов

1

28,84

1

2

25

ТРДН-25000/110

0,58

1,15

2

24,2

3

1

25

ТРДН-25000/110

0,97

-

3

75,8

1

2

63

ТРДН-63000/220

4

72,6

1

2

63

ТРДН-63000/220

0,58

1,15

5

2

2

400

ТС-400/10

6

2

2

400

ТМ-400/10

Вариант сети №2

1

28,84

1

2

25

ТРДН-25000/220

0,58

1,15

2

24,2

3

1

25

ТРДН-25000/220

0,97

-

3

75,8

1

2

63

ТРДН-63000/220

4

72,6

1

2

63

ТРДН-63000/220

0,58

1,15

5

2

2

400

ТС-400/10

6

2

2

400

ТМ-400/10