ВВЕДЕНИЕ
Транспортная стратегия Российской Федерации на период до 2020 г. определила, что «Целью функционирования и развития транспортной системы является поддержка средствами транспорта повышения качества жизни и экономического роста».
Развитие единого экономического пространства, ускорение товародвижения, снижение удельных транспортных издержек в экономике требуют создания в стране единой опорной транспортной сети без разрывов и "узких мест", ликвидации административных барьеров в системе товародвижения и диспропорций в развитии между отдельными регионами. Развитие транспортной системы требует также решения ряда внутренних проблем транспорта как отрасли.
Поэтому целью функционирования и развития транспортной системы является поддержка средствами транспорта повышения качества жизни и экономического роста.
Приоритетными направлениями развития инфраструктуры железнодорожного транспорта являются:
- продолжение структурных преобразований и повышение комплексности в управлении развитием и функционированием транспортной системы;
- преодоление тенденции нарастающего износа основных фондов транспорта;
- повышение технологического уровня транспортных систем.
Задачи курсовой работы:
- Определение объемов работы грузовых пунктов и станции в целом;
- Маршрутизация перевозок грузов с мест погрузки;
- Расчет потребных устройств транспортно - складского комплекса (ТСК). Выбор и обоснование схемы их размещения;
Задачи грузовой и коммерческой работы:
- совместное планирование транспортного процесса со складским и производственным процессами;
- совместное планирование транспортных процессов на различных видах транспорта (в случае смешанных перевозок);
- обеспечение технологического единства транспортно-складского процесса;
- развитие технологии приема, погрузки, выгрузки, выдачи, взвешивания, хранения груза, багажа и грузобагажа;
Перспективы развития грузовой и коммерческой работы состоят в замене бумажных перевозочных документов электронными. Автоматизация информационных потоков, сопровождающих грузовые потоки, - это один из наиболее существенных технических компонентов грузовой и коммерческой работы.
Структура и размеры погрузки/выгрузки грузов по грузовым пунктам станции, а также сведения о распределении вагонопотоков по станциям назначения/отправления на полигоне представлены в приложении 1 задания.
На основании исходных данных определяется баланс порожних вагонов по каждому грузовому пункту и в целом по станции, представленный в таблице 1.1.
На основании данных таблицы 1.1 определяем для каждого грузового пункта и в целом по станции следующие показатели:
- Вагонооборот – сумма прибывших и отправленных груженых и порожних вагонов за сутки:
.
(1.1)
Для станции B=189+108+17+98=412 ваг.;
Для 1ПНОП B=133 ваг.;
Для 2ПНОП В=85 ваг.;
Для 3ПНОП В=167 ваг.;
Для ТСК В=27 ваг.
- Грузооборот – сумма погруженных и выгруженных вагонов за сутки:
,
(1.2)
Для станции Г=189+108=297 ваг.;
Для 1ПНОП Г=104 ваг.;
Для 2ПНОП Г=85 ваг.;
Для 3ПНОП Г=91 ваг.;
Для ТСК Г=17 ваг.
- Коэффициент сдвоенных операций - среднее количество грузовых операций, приходящихся на один местный вагон:
.
(1.3)
Для
станции
;
Для
1ПНОП
;
Для 2ПНОП
;
Для
3ПНОП
;
Для ТСК
.
Таблица 1. 1 – Распределение вагонопотоков по грузовым пунктам

2.1 Расчет количества отправительских маршрутов с мест погрузки
В соответствии с Уставом железнодорожного транспорта РФ массовые грузы должны, как правило, предъявляться к перевозке маршрутами.
Маршрут – это состав поезда установленной массы или длины, сформированный грузоотправителем или дорогой в соответствии с Правилами технической эксплуатации железных дорог РФ и планом формирования маршрутов из вагонов, загруженных одним или несколькими отправителями на одной или нескольких станциях отправления на одну станцию назначения или распыления, проходящий не менее одной технической станции без переработки.
Существует две основные формы маршрутизации: отправительская и техническая. По способу организации маршруты подразделяются на отправительские и ступенчатые. В зависимости от назначения они могут быть прямые (при следовании на одну станцию выгрузки), на станции одного участка выгрузки, на станции распыления и на входные или распределительные станции дорог, получающие топливные грузы.
Количество маршрутов с мест погрузки и их назначение определяется технико-экономическими расчетами.
Весовая норма маршрутов Qбр для основных грузов и средняя масса брутто одного вагона по отправлению принимаются по заданию. Количество вагонов в маршруте mм находится из выражения:
,
(2.1)
Вагоны, не включенные в маршрут, направляются передаточными поездами до ближайшей сортировочной станции и отправляются по назначению в поездах, сформированных в соответствии с планом формирования данной станции.
Для составления календарного плана маршрутизации необходимо определить количество маршрутов по каждому роду груза в каждое назначение по формуле:
,
(2.2)
где
- суточный вагонопоток данного рода
груза в i-ое
назначение (таблица 1.2), ваг/сут; 30 –
количество календарных дней в месяце.
Интервал накопления определяется по формуле:
дней.
(2.3)
Расчеты отправительских маршрутов для основных грузов приведены ниже.
Руда железная:
,
< 5- прямой маршрут формируется;
,
< 5- формируется прямой маршрут;
,
> 5- прямой маршрут не формируется;
Железобетонные изделия:
,
> 5- прямой маршрут не формируется;
,
> 5- прямой маршрут не формируется;
,
> 5- прямой маршрут не формируется;
Лес круглый:
,
< 5- прямой маршрут формируется;
,
> 5- прямой маршрут не формируется;
,
> 5- прямой маршрут не формируется;
На станции Г и Б формируется маршрут в распыление.
2.2 Разработка календарного плана отправительской маршрутизации и расчет показателей
Календарный план погрузки отправляемых маршрутов приведен в таблице 2.1. При разработке плана погрузки предусматривается равномерная работа грузовых пунктов, а также обеспечивается равномерная работа станции в целом в течение месяца.
Основными показателями, характеризующими качество разработанного плана, являются:
-
процент маршрутизации по каждому роду
груза
в
отдельности и по станции в целом

,
,
(2.4)
где
М
–количество отправляемых маршрутов с
данным родом груза за месяц, марш./мес.;
- общее количество маршрутов со всеми
родами грузов, отправляемых со станции
за месяц, марш./мес.;
-
суточный вагонопоток рассматриваемого
рода груза, ваг/сут;
- суммарный суточный вагонопоток всех
родов грузов, отправляемых со станции
за сутки, ваг/сут.
-средняя дальность следования маршрутов
,
(2.5)
где Мi - количество маршрутов по всем родам грузов в соответствующие назначения; li –расстояние перевозки соответствующих маршрутов.
-экономия вагоно-часов от проследования технических станций без переработки по каждому назначению
,
(2.6)
где
-
сокращение простоев вагонов на технических
станциях при следовании в маршруте, ч;
=10...12ч;
Кст
– число попутных технических станций,
проследуемых маршрутами без переработки.
;
;
;
.;
Е:

М:

К:

Итого:

Таблица 2.1 - Календарный план отправительской маршрутизации
3.1 Разработка общих положений ЕТП
Рассмотрим порядок обслуживания третьего пути необщего пользования, так как на нем выполняется наибольший объем грузовой работы. Грузооборот на этом пути составляет 91 ваг/сут, вагонооборот - 167 ваг/сут.
В связи с необходимостью выполнения большого объёма маневровой работы, выбранный путь обслуживается локомотивами владельца пути необщего пользования. Так как вагонооборот не более 200 ваг/сут, то на данном пути используется один локомотив.
ЕТП работы станции и пути необщего пользования включает в себя:
- технико-эксплуатационную характеристику устройств станции и пути необщего пользования;
- размеры грузовых и вагонных потоков;
- порядок оперативного планирования, руководства и организации грузовой и коммерческой работы на станции и пути необщего пользования;
- порядок маневровой работы и расчёт времени на технологические операции;
- порядок совместного использования устройств на станции и пути необщего пользования;
- порядок подачи и уборки вагонов;
- графики обработки вагонов и поездов;
- графики внутренних технологических перевозок;
- технологическое время на грузовые операции;
- суточный план график работы или аналитический расчёт технологического срока оборота вагонов.
3.2 Выбор технического оснащения и путевого развития пути необщего пользования
Для организации погрузки леса круглого используются открытые площадки, оснащенные мостовыми электрокранами грузоподъёмностью 5-20 т., для погрузки прочих грузов выбираем крытые склады, оборудованные электропогрузчиком, для выгрузки бензина выбираем крытые резервуары со сливо-наливными стояками.
В зависимости от размера подач вагонов на соответствующий склад пути необщего пользования определяются размеры складов:
- выгрузка бензина: Lскл=31*15=465м – 2 склада по 240 метров;
- погрузка леса круглого: Lскл=17*15=255м – 2 склада по 135 метров;
- выгрузка прочих грузов: Lскл=1*15=15м – 1 склад длиной 15 метров.
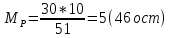
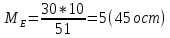
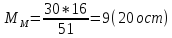
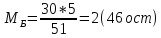
Количество механизмов определяется по формуле:
,
(3.1)
где
-
среднесуточный грузопоток по данному
роду груза, т;
-
эксплуатационная производительность
механизма, т/ч;
-
время работы транспортного склада, ч;
-
суммарное время на подачу и уборку
вагонов в течение суток, принимается
равным 30 мин;
-
среднее количество подач/уборок исходя
из суточного потока и места одновременной
постановки вагонов на складе;
-
затраты времени на подачу и уборку
вагонов к складу с учётом его полной
вместимости, ч.
Количество кранов на складе леса круглого:

