5.3.4. Проводящие модификации углерода
Углерод. В таблице Д. И. Менделеева углерод (С) находится под № 6 в IV группе. Углерод впервые выделил, как химический элемент, А. Л. Лавуазье в 1775 году.
Углерод в сочетании с водородом образует органические соединения (от латинского слова «organismus» — живое тело, сущест- во) — углеводороды. В то же время сам углерод и его соединения с другими элементами являются неорганическими соединениями (например, диоксид углерода СО2, мел СаСО3, карбид кремния SiC и др.)
Распространенность углерода в Земной коре порядка 0,05 % (15 место среди элементов). Углерод совместно с водородом — основа биологической жизни на земле. Например, человек массой 70 кг содержит около 16 кг углерода. Углерод существует в нескольких кристаллических модификациях. Основными и наиболее распространенными являются две модификации:
алмаз — кубическая алмазоподобная структура с прочными ковалентными связями. Природный алмаз прозрачен или слабо окрашен;
графит — гексагональная слоистая структура черного цвета, химическая связь между слоями слабая (молекулярная).
Алмаз. Плотность алмаза — 3,5 г/см3, коэффициент теплопроводности при 20 ºС равен 3900 Вт/(м·К). Чистый алмаз — диэлектрик, его относительная диэлектрическая проницаемость равна 5,68 (при частоте 3 кГц и температуре 20 ° С), удельное электрическое сопротивление при 20 ° С равно 1010 – 10 12 Ом·м. При высоком содержании примесей алмаз становится полупроводником с шириной запрещенной зоны 5,5 – 7 эВ и удельным электрическим сопротивлением
100 – 10 6 Ом·м.
Алмаз — самое твердое вещество (табл. 5.8).
158
|
Таблица 5.8 |
Твердость материалов по шкале Мооса |
|
|
|
Вещество |
Твердость в баллах |
|
|
Тальк (MgO – SiO 2) |
1 |
Поваренная соль (NaCl) |
2 |
|
|
Кристаллический кварц (горный хрусталь) (SiO2) |
7 |
Оксид алюминия (Al2O3) |
9 |
Карбид кремния (SiC) |
9,5 |
|
|
Алмаз (С) |
10 |
|
|
Алмазы бывают природные и искусственные.
Наиболее богатыми по содержанию природных алмазов являются, так называемые, кимберлитовые трубки (название дано от названия области Кимберли в Южной Африке, где впервые были выявлены такие геологические образования, богатые алмазами).
Кимберлитовая трубка (рис. 5.18) – след выхода газа через расплавленную застывающую поверхность Земли (возраст самых молодых алмазов много более 60 млн. лет). При этом существенную роль могут играть сдвиговые деформации, сопровождающие перемещение литосферных плит Земли. Кимберлитовые трубки встречаются в Южной Африке, Бразилии, Индии, Сибири.
≤ 1000 м
Рис. 5.18. Схема кимберлитовой трубки
159
Первый искусственный алмаз был получен в 1955 году в США фирмой General Electric при температуре 2000 – 2500 ° С и давлении 100 тысяч атмосфер. В СССР такой алмаз получили в 1961 году.
Теория получения искусственных алмазов была разработана в
СССР в 1940 году. Суть этой теории заключалась в том, что высокие давление и температура для синтеза алмаза могут быть понижены при добавлении катализаторов, в качестве которых предлагалось использовать железо и никель. Искусственные алмазы серого цвета, мелкие по размеру, их твердость ниже, чем у натуральных, они применяются только в технике.
Области применения алмазов:
машиностроение — алмазный инструмент для шлифовки, полировки и изготовления отверстий в твердых металлах, сплавах и керамике;
электротехника — изготовление фильер для протяжки микропровода (рис. 5.19);
нефтяная промышленность — изготовление коронок, применяемых для бурения скважин;
радиоэлектроника.
³ 

Рис. 5.19. Схема, иллюстрирующая применение фильер с алмазными вставками для изготовления тонкого провода из твердого металла (вольфрам и др.)
160
Алмаз обладает комплексом электро- и теплофизических свойств, представляющих интерес для радиоэлектроники:
-высокая рабочая температура. В кислородной среде рабочая температура 700 – 800 ° С, в бескислородной среде – 1400 – 1700 ° С, в то время как у кремния рабочая температура 180 – 190 ° С;
-высокая скорость дрейфа носителей электрического заряда, которая в 1,8 раза выше, чем у кремния, это означает, что транзисторы на основе алмазов имеют более высокое быстродействие;
-высокий коэффициент теплопроводности.
По перечисленному комплексу свойств алмаз имеет на 1 – 2 порядка более высокую эксплуатационную стойкость, чем другие материалы. Исходя из этого, применение алмаза в радиоэлектронике в настоящее время увеличивается. Ниже приведены некоторые примеры, иллюстрирующие использование алмаза в радиоэлектронике:
алмазные теплоотводы. Достоинство — алмазные теплоотводы по сравнению с оксидом бериллия (ВеО) не токсичны. Недостаток — высокая стоимость;
алмазные иллюминаторы для СВЧ волноводного тракта, в частности для подпитки энергией плазмы в термоядерном реакторе;
«алмазные пленки».
В 1985 году фирма «Sony» показала, что на алмазной подложке можно выращивать эпитаксиальный слой алмаза. Согласно способу эпитаксии атомы углерода, осаждающиеся из газовой фазы на подложку из алмаза, должны выстраиваться в виде структуры алмаза. Это более термодинамически выгодный процесс. Однако в реальности ка- кая-то часть атомов углерода в процессе осаждения образовывает структуру графита, что резко ухудшает свойства алмазной пленки. Были разработаны методы, предотвращающие образование графита в пленке. С использованием алмазных пленок были созданы транзисторы с рабочей температурой до 700 ºС (транзисторы на основе кремния имеют рабочую температуру 180−190 º С).
161
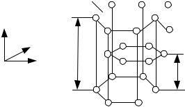
Графит. Графит имеет гексагональную слоистую структуру
(рис. 5.20).
Ковалентная связь




Атом углерода
y
z
3,4 Å
x
1,7 Å
Молекулярная связь
Рис. 5.20. Кристаллическая структура графита
Энергия ковалентной связи в графите приблизительно в 6 раз больше, чем энергия молекулярной связи. Кристаллическая структура графита предопределила в нем резкую анизотропию свойств.
Физические свойства графита: плотность 2,24 г/см3, много меньше плотности алмаза.
Электрические свойства: удельное электрическое сопротивление при 20 ° С монокристалла параллельно основной плоскости (вектор Е ║ xz) равно 4·10- 7 Ом·м, удельное электрическое сопротивление при 20 ° С монокристалла перпендикулярно основной плоскости (вектор Е ┴ xz) равно 1·10- 4 Ом·м. Удельное электрическое сопротивление при 20 ° С поликристалла (хаотически расположенные микрокристаллы) равно 800·10- 8 Ом·м.
Механические свойства: твердость графита параллельно основной плоскости (xz) равна 1 баллу, перпендикулярно основной плоскости пластины графита — 5 баллов, механическая прочность графита на разрыв при 20 ° С приблизительно равна 15 МПа.
Месторождения графита приурочены к месторождениям угля и битума, они являются закристаллизованными участками этих месторождений. Графит встречается следующих видов: чешуйчатый, скрытно-кристаллический, плотно-кристаллический (самый лучший, но в тоже время самый редкий. Месторождение такого графита
162