В целях безопасности обслуживающего персонала в железнодорожном тоннеле предусматриваются ниши 200x200x100 см, располагающихся в шахматном порядке через 60 м. Для хранения ремонтного оборудования через каждые 300 м по обоим сторонам железнодорожного тоннеля вместо ниш сооружаются камеры длиной 6 м.
на участке с крепостью грунта f=5.
Исходные данные:
На участке с крепостью f=5 запроектирована верхний свод, опирающийся на вертикальные стены.
Основные геометрические размеры: высота H=9,13, толщина свода меняется от 0,55м в замковом сечении до 1,0м в стене, ширина B=11,4 м.
Марка бетона 300( класс В25), расчетное сопротивление: на растяжение – 10 кгс/см2, на сжатие – 135 кгс/см2.
Основные физико-механические характеристики горной породы: коэффициент прочности f=5, кажущийся угол внутреннего трения φ=72,5º, коэффициент упругого отпора к0=250 кгс/см 2, объемная масса грунта γ=2,5 т/м3.
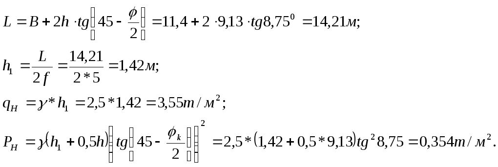
Определение нормативных и расчетных нагрузок.
Величину горного давления в зависимости от степени трещиноватости массива и коэффициента крепости принимаем в соответствии с теорией сводообразования М.М. Протодьяконова.
Расчетная схема показана на рисунке 1.
Из рисунка видно, что

где В – пролет выработки;
h - высота выработки;
L - пролет свода естественного равновесия ;
h1 - высота свода;
H - глубина залегания выработки;
qн - нормативное вертикальное горное давление;
Pн - нормативное горизонтальное горное давление.
Собственный вес обделки определим по формуле:
![]()
где G -вес сводчатой части обделки;
Fобд=19,8м2 – площадь бетонной обделки.
Определим расчётные нагрузки посредством умножения нормативных на коэффициенты перегрузки:
![]()
![]()
Коэффициент упругого отпора в сводчатой части выработки:
;
Коэффициент упругого отпора под пятой:
;
ко =250 – коэффициент удельного отпора.
Статический расчет обделки.
Статический расчет обделки выполняется на ЭВМ по методу Метрогипротранса
( программа РК-6). Этот метод предназначен для расчета конструкции произвольного очертания, расчетную схему которой можно представить в виде плоской стержневой системы.
В основу расчетной схемы положены следующие допущения:
Плавное очертание оси обделки заменяются вписанным стержневым многоугольником переменной жесткости.
Распределенные внешние нагрузки заменяются сосредоточенными в узлах многоугольника усилиями.
Сплошная грунтовая среда заменяется отдельными упругими опорами, расположенными в вершинах многоугольника, перпендикулярно наружной поверхности обделки.
Силы трения, возникающие в пятах разомкнутой обделки, в расчетной схеме заменяются запретом перемещения узлов пяты по горизонтали.
Рис. 1. Схема к расчету конструкции обделки на ЭВМ.
Проверка прочности обделки.
После определения внутренних усилий (изгибающих моментов и нормальных сил) проверяют прочность бетонных сечений. Для этого вычисляют величину предельной нормальной силы NП, которую может воспринять данное сечение, и сравнивают её с величиной нормативной силы N, полученной при статическом расчете для этого же сечения. При этом должно соблюдаться условие NП > N.
Проверку прочности тоннельной обделки проводим для наиболее загруженных сечений 5 и 1.
Стержень 5: бетонную обделку рассчитываем без учёта сопротивления растянутой зоны из предположения, что предельное состояние наступает в момент разрушения сжатой зоны бетона. Тогда продольная сила определяется по формуле:
![]()
где m - коэффициент условия работы (m=0,9);
k - коэффициент, учитывающий вид бетона ( k=1 );
Rпр - расчетное сопротивление бетона сжатию ( Rпр=900 тс/м2 );
b - ширина сечения ( b=1,00 м );
h - высота сечения ( м );
Производим проверку: Nп=52.65 т > N=25,889 т, условие выполняется, а значит прочность обделки обеспечена.
Стержень 1: проверяем величину эксцентриситета:
е0=0,2254 м ≤ 0,9*y=0,9*0,5=0,45м;
где y – расстояние от центра тяжести сечения до наиболее сжатого слоя бетона обделки.
Условие выполняется.
В этом случае обделку рассчитываем без учёта сопротивления растянутой зоны из предположения, что предельное состояние наступает в момент разрушения сжатой зоны бетона. Тогда продольная сила определяется по формуле:
![]()
Производим проверку: Nп=80,19 т > N=19,337 т
Проверка выполняется, следовательно прочность обделки обеспечена.
Способы производства работ на участках тоннеля целесообразно увязывать между собой таким образом, чтобы обеспечивалась возможность перехода от одного способа к другому без коренной перестройки производственного процесса и существенной замены основного оборудования и механизмов.
Участок тоннеля №3: f =1,3; грунт – гипс
Для
участка тоннеля в грунте с крепостью
применяем способ
опорного ядра. Сущность
способа сводится к разработке грунта
по контуру выработки с опиранием
временной крепи на ненарушенный грунт
(ядро) в средней части сечения и возведением
обделки по частям, начиная со стен.
В основном варианте способа в месте намеченного расположения стен проходят штольни (1) на всю длину сооружаемого участка тоннеля, в которых бетонируются нижние части стен (2). Сооружение стен обычно требует не менее двух ярусов штолен. Штольни (3) проходят после набора бетоном стены нижнего яруса 25 % проектной прочности и заполнения грунтом пространства между забетонированной нижней частью стены и штольневой крепью для предотвращения подвижек грунта в ядре. Затем бетонируют верхнюю часть (4) стены. Следующим этапом является проходка верхней штольни (5), на базе которой раскрывают калотту (6) кольцами не более 4м с интервалами между ними в два – три кольца. Бетонирование свода (7) выполняют с опиранием его на готовые стены. Работу по разработке и транспортировке грунта ядра обычно начинают тогда, когда обделка стен и свод будут сооружены на протяжении не менее 50 м. Ядро (8) вынимают механизированным способом под прикрытием свода после раскружаливания его на всём протяжении участка работ. Обратный свод (10) бетонируется в поперечных траншеях (9), ширина которых не должна превосходить половины длины кольца. Для предотвращения сдвига стен обделки внутрь выработки между стенами устанавливают распорки из брёвен (тиранты), используемые для размещения откаточных путей и деревянного желоба, являющегося продолжением водоотводной канавы.

Рис.2. Схема очерёдности раскрытия элементов подземной выработки в слабых грунтах.
Участок тоннеля №2: f = 9; грунт –песчаник плотный.
При постройке тоннеля в крепком грунте не нужно не только немедленно после разработки грунта устанавливать временную крепь, но и в некоторых случаях можно обойтись без обделки. При проходке данного участка тоннеля мы будем использовать способ сплошного забоя, для которого характерно наличие одной плоскости забоя, что упрощает использование для бурения шпуров буровых рам с тяжёлыми высокопроизводительными перфораторами, снабжёнными автоматическим управлением (рис.3).
Основные работы при этом способе из разработки грунта во всем забое 1 и бетонировании обделки 2 за один приём.

Рис. 3. Проходка тоннеля в крепком грунте способом сплошного забоя.
Участок тоннеля №1: f = 5, грунт – песчаник сильно трещиноватый.
Для
проходки выработки в скальных грунтах
с коэффициентом крепости от 4 до 6 при
строительстве двухпутного железнодорожного
тоннеля применяется уступный способ(рис.4).

Рис.4. Схема сооружения тоннеля уступным способом.
Вначале с опережением на 50-100м проходим калотту 1, затем раскрываем нижний уступ 2. После полного раскрытия выработки бетонируем обделку за один приём
Разработка полускальных и скальных грунтов с коэффициентом крепости более 2 осуществляется буровзрывным способом. В курсовом проекте мы произведём расчёт разработки верхнего уступа первого участка тоннеля. Грунт разрабатываем буровзрывным способом.
В соответствии с заданными геологическими условиями в качестве ВВ выбираем аммонал скальный N3. Его характеристики:
плотность, ∆=0,9 г/см3=900 кг/м3;
коэффициент работоспособности, е=0,8;
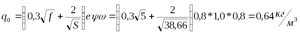
Определим удельный расход ВВ с учётом его работоспособности по формуле:
;
где е - коэффициент работоспособности ВВ;
ψ - коэффициент влияния плотности заряжения;
ω - коэффициент структуры и трещиноватости грунтового массива;
S - площадь сечения забоя.
Определим линию наименьшего сопротивления (ЛНС) отбойных шпуров по формуле:
;
где к - коэффициент зажима;
d - диаметр шпура, м;
γ - объёмная масса грунта, кг/м3.
Учитывая то, что обуривание забоя производится мощными бурильными установками и машинами принимаем прямой вруб. Так как форма разрабатываемой калотты вытянута по горизонтали устроим щелевой горизонтальный вруб с ослаблением по середине в виде незаряженного шпура. Расстояния между врубовыми шпурами – аш=0,25м.
Площадь сечения забоя, взрываемого врубовыми зарядами будет равной
Расстояние между шпурами принимается:
между отбойными ао=(0,8~0,95)W0= 0,9*1,19=1,071м
между подошвенными ап=(0,7~0,9)W0= 0,8*1,19=0,952м
между контурными ак=0,6W0= 0,6*1,19=0,714м
Далее вычислим количество шпуров на забой по формуле:
,
где
-
количество контурных шпуров;
-
количество подошвенных шпуров;
-по
конструктивным соображениям принимаем
Nо=25-
количество отбойных шпуров;
где
- площадь сечения забоя, взрываемая
отбойными шпурами;
где
-
площадь сечения забоя, взрываемая
контурными шпурами;
m - коэффициент сближения контурных зарядов;
-
площадь сечения забоя, взрываемая
подошвенными шпурами;
Sвр - площадь сечения забоя, взрываемая врубовыми зарядами;
кз - коэффициент заполнения шпура;
к∆ - коэффициент уплотнения, для патронированных ВВ равен 1,0.
Итак, общее количество шпуров:
шт.