Материал: Тишин ВБ Новоселов АГ Процессы переноса в технолог аппаратах

Внимание! Если размещение файла нарушает Ваши авторские права, то обязательно сообщите нам

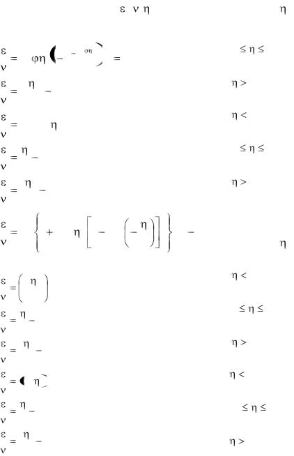
Приложение 6

Законы затухания турбулентных пульсаций в пристеночных слоях

 

 

 

 

 

 

 

 

 

 

 

 

 

 

 

 

 

 

 

 

 

 

 

 

 

 

 

 

 

 

Границы

Закон

Лите-

 

 

 

 

 

 

 

 

 

 

 

 

 

 

 

 

 

 

 

 

Вид функции

/ ( )

 

 

изменения

затухания

ратура

 

 

 

 

 

 

 

 

 

 

 

 

 

 

 

 

 

 

 

 

 

 

 

 

 

 

 

 

 

 

 

 

в вязком

 

 

 

 

 

 

 

 

 

 

 

 

 

 

 

 

 

 

 

 

 

 

 

 

 

 

 

 

 

 

 

 

 

слое

 

 

 

 

 

 

 

 

 

 

 

 

n2

1

e n

2

, n

0,124

 

 

0

26

Четвертой

[32]

 

 

 

 

 

 

 

 

 

 

 

 

 

 

 

 

степени

 

 

 

 

 

 

 

 

 

 

 

 

 

 

 

 

 

 

 

 

 

 

 

 

 

 

 

 

 

 

 

 

 

 

 

 

 

 

 

 

 

 

 

 

 

 

 

 

 

 

 

 

 

 

 

 

 

 

 

 

 

 

 

 

 

 

 

1

 

 

 

 

 

 

 

 

 

26

 

 

 

 

 

 

 

 

 

 

 

 

 

 

 

 

 

 

 

 

 

 

 

 

 

 

 

 

 

 

 

 

 

2,78

 

 

 

 

 

 

 

 

 

 

 

 

 

 

 

 

 

 

 

 

 

 

 

 

 

 

 

 

 

 

 

 

 

 

 

 

 

 

 

 

 

 

 

 

 

 

 

 

 

 

 

 

 

 

 

 

 

 

 

 

 

 

 

 

 

 

 

 

(0,124

)4

 

 

 

 

 

 

 

 

 

6

Четвертой

[25]

 

 

 

 

 

 

 

 

 

 

 

 

 

 

 

 

 

степени

 

 

 

 

 

 

 

 

 

 

 

 

 

 

 

 

 

 

 

 

 

 

 

 

 

 

 

 

 

 

 

 

 

 

 

 

 

 

 

 

 

 

 

 

 

 

 

 

 

 

 

 

 

 

 

 

 

 

 

 

 

 

 

 

 

 

1

 

 

 

 

 

 

 

 

 

6

30

 

 

 

 

 

 

 

 

 

 

 

 

 

 

 

 

 

 

 

 

 

 

 

 

 

 

 

 

 

 

5

 

 

 

 

 

 

 

 

 

 

 

 

 

 

 

 

 

 

 

 

 

 

 

 

 

 

 

 

 

 

 

 

 

 

 

 

 

 

 

 

 

 

 

 

 

 

 

 

 

 

1

 

 

 

 

 

 

 

 

 

 

30

 

 

 

 

 

 

 

 

 

 

 

 

 

 

 

 

 

 

 

 

 

 

 

 

 

 

 

 

 

 

 

 

 

 

2,5

 

 

 

 

 

 

 

 

 

 

 

 

 

 

 

 

 

 

 

 

 

 

 

 

 

 

 

 

 

 

 

 

 

 

 

 

 

 

 

 

 

 

 

 

 

 

 

 

 

 

 

 

 

 

 

 

 

 

 

 

 

 

 

 

 

 

 

 

 

 

 

 

 

 

 

 

 

 

 

 

 

 

 

 

 

 

2

0,5

 

Во всем

Четвертой

[32]

 

 

 

 

 

 

 

 

 

 

 

 

 

 

 

 

 

 

 

 

 

 

 

 

 

 

 

 

 

 

 

 

 

 

 

 

 

 

 

 

 

 

0,5 1

4k

2

2

1 exp

 

 

 

0,5;

диапазоне

степени

 

 

 

 

 

 

 

 

 

A

 

изменения

 

 

 

 

 

 

 

 

 

 

 

 

 

 

 

 

 

 

 

 

 

 

 

 

 

 

 

 

 

 

 

 

k = 0,4;

A = 26

 

 

 

 

 

 

 

 

 

 

 

 

 

 

 

 

 

 

 

 

 

 

 

 

 

 

 

 

 

 

3

 

 

 

 

 

 

 

 

 

 

5

Третьей

[32]

 

 

 

 

 

 

 

 

 

 

 

 

 

 

 

 

 

 

 

 

 

 

 

 

 

 

 

 

 

 

 

 

степени

 

14,5

 

 

 

 

 

 

 

 

 

 

 

 

 

 

 

 

 

 

 

 

 

 

 

 

 

 

 

 

 

 

 

 

 

 

 

 

 

 

 

 

 

 

 

 

 

 

 

 

 

 

 

 

 

 

 

 

 

5

30

 

 

 

 

 

 

 

 

 

1

 

 

 

 

 

 

 

 

 

 

 

 

 

 

 

5

 

 

 

 

 

 

 

 

 

 

 

 

 

 

 

 

 

 

 

 

 

 

 

 

 

 

 

 

 

 

 

 

 

 

 

 

 

 

 

 

 

 

 

 

 

 

 

 

 

 

 

 

 

 

1

 

 

 

 

 

 

 

 

 

 

30

 

 

 

 

 

 

 

 

 

 

 

 

 

 

 

 

 

 

 

 

 

 

 

 

 

 

 

 

 

 

 

 

 

 

2,5

 

 

 

 

 

 

 

 

 

 

 

 

 

 

 

 

 

 

 

 

 

 

 

 

 

 

 

 

 

 

 

 

 

 

 

 

 

 

 

 

 

 

 

 

 

 

 

 

 

 

 

 

 

 

 

 

 

 

 

 

 

 

 

 

 

 

 

 

 

 

 

0,1

 

3

 

 

 

 

 

 

 

 

 

 

10

Третьей

[9]

 

 

 

 

 

 

 

 

 

 

 

 

 

 

 

 

степени

 

 

 

 

 

 

 

 

 

 

 

 

 

 

 

 

 

 

 

 

 

 

 

 

 

 

 

 

 

 

 

 

 

 

 

 

 

 

 

 

 

 

 

 

 

 

 

 

 

1

 

 

 

 

 

 

 

 

 

 

 

10

30

 

 

 

 

 

 

 

 

 

 

 

 

 

 

 

 

 

 

 

 

 

5

 

 

 

 

 

 

 

 

 

 

 

 

 

 

 

 

 

 

 

 

 

 

 

 

 

 

 

 

 

 

 

 

 

 

 

 

 

 

 

1

 

 

 

 

 

 

 

 

 

 

30

 

 

2,5

 

 

 

 

 

 

 

 

 

 

 

 

 

 

 

 

 

 

 

 

 

 

 

 

 

 

 

 

 

 

 

 

 

 

 

 

 

 

 

 

 

 

 

 

 

 

 

 

 

 

 

 

 

 

 

 

 

 

 

 

 

 

 

 

 

191

СОДЕРЖАНИЕ ПРЕДИСЛОВИЕ ……………………………………………..………. 3

ВВЕДЕНИЕ ……………………..……………………………………… 4

1.ОСНОВНЫЕ УРАВНЕНИЯ ДВИЖЕНИЯ ЖИДКОСТИ ….. 15

1.1.Уравнение сохранения массы (неразрывности потока) …... 15

1.2.Уравнение переноса количества движения …………..…….. 17

1.2.1.Вязкость …………....…...……………………………… 17

1.2.2.Силы, действующие в жидкости. Напряжѐнное состояние жидкости ………………………………….. 20

1.2.3.Уравнение движения в напряжениях …………..……. 25

1.2.4.Уравнения движения вязкой сплошной среды ……... 26

1.3.Уравнение энергии ………………….……………………….. 28

2.ДИНАМИКА ВЯЗКОЙ ЖИДКОСТИ …..…..……..………….. 35

2.1.Режимы течения ……………………….…………………….. 35

2.2.Гидродинамическое подобие ……………………………….. 35

2.3.Ламинарные течения ………………………………………… 41

2.3.1.Течение в плоском канале …………………..…………. 41

2.3.2.Течение в трубе с круглым поперечным сечением ………………………………………………. 44

2.3.3.Течение Куэтта ……………………………………….. 47 2.3.4. Течение жидкости в капиллярах …………………….. 49

2.4.Вискозиметрия жидких продуктов …………….…………… 52

2.4.1.Капиллярный вискозиметр ……………….………….. 52

2.4.2.Ротационные вискозиметры ……………………….… 54

2.4.3.Диссипативный метод исследований реологических свойств высоковязких сред ………………………..… 57

2.5.Турбулентные течения ….…..…………………………..…..… 62

2.6.Гидродинамика газожидкостных потоков ………….……… 68

2.6.1.Основные понятия и определения гидродинамики многофазных потоков ……………………………….. 69

2.6.2. Поверхность контакта фаз …………….……………… 71

2.6.3.Режимы и структуры течения и газосодержание газожидкостных потоков …………..………………….. 72

2.6.4.Газосодержание газожидкостных потоков …............ 77

192

2.6.5. Определение параметра межфазной турбулентности ………………….…………………… 81

2.6.6.Определение диаметра пузырей ..…….………..….…... 89

3.ПЕРЕНОС ТЕПЛОТЫ И МАССЫ ……………………………. 93

3.1.Общие закономерности переноса теплоты …………..…….. 94

3.2.Перенос теплоты теплопроводностью ……………….…….. 97

3.3.Уравнение переноса массы …………………….…………… 107

3.3.1.Предварительные сведения о процессах

переноса массы ……………………………………… 107

3.3.2.Молекулярный перенос массы ………………….…. 116

3.3.3.Стационарный массообмен ………………………….. 119

3.3.4.Нестационарный массообмен ………………………. 120

3.4.Аналогия между процессами переноса ………………..….. 121

4.КОНВЕКТИВНЫЙ ПЕРЕНОС ТЕПЛОТЫ И МАССЫ …… 125

4.1.Эмпирический метод решения задач

тепло- и массообмена ……………………….……………….. 125

4.1.1. Теплообмен при движении однофазных жидкостей ……………………..……………………… 126

4.1.2. Теплообмен при движении газожидкостных потоков ………………………..……………………… 127

4.2.Аналитический и полуэмпирический методы …………… 129

4.3.Краткие сведения о законах распределения

турбулентных пульсаций …………….………..…………… 136

4.4.Турбулентные числа Прандтля ………………….………… 140

5.РЕШЕНИЕ ЗАДАЧ ТЕПЛО- И МАССОБМЕНА НА ОСНОВЕ АНАЛОГИИ МЕЖДУ ПЕРЕНОСОМ КОЛИЧЕСТВА ДВИЖЕНИЯ И ТЕПЛОТЫ

ИМАССЫ ……………….……………………………...……….. 143

5.1.Теплообмен между потоком однофазной жидкости

игладкой теплопередающей поверхностью ……………... 147

5.1.1.Теплообмен в каналах с различной формой поперечного сечения ………………………………… 147

5.1.2.Теплообмен при движении жидкостей в гофрированных каналах пластинчатых

аппаратов ………………………………………….…. 149

193

5.2.Теплообмен между газожидкостной смесью и теплопередающей поверхностью ……………………..…. 154

5.2.1. Культиваторы колонного типа с тепловой рубашкой ……………………..……………………..…. 154

5.2.2.Теплообмен между газожидкостным потоком и теплопередающей поверхностью

теплообменников ……………………………………… 158

5.3.Теплообмен и массообмен между клеткой

икультуральной жидкостью …..………………..………… 163

5.3.1. Теплообмен ………………………………………….. 163 5.3.2. Массообмен …….…………………………..…..…… 167 5.3.3. Массообмен между газом и жидкостью ………...…. 168

5.4.Гидродинамика и теплообмен в условиях естественной конвекции ………………………………….… 171

5.4.1.Гидродинамика ……………………………………… 171

5.4.2.Теплообмен ………………….........………………… 179

СПИСОК ЛИТЕРАТУРЫ ……………………..…………………. 182

ПРИЛОЖЕНИЯ ………………………………….……………….... 185

194

Тишин Вячеслав Борисович Новосѐлов Александр Геннадиевич Головинская Оксана Владимировна

ПРОЦЕССЫ ПЕРЕНОСА В ТЕХНОЛОГИЧЕСКИХ АППАРАТАХ

ПИЩЕВЫХ И МИКРОБИОЛОГИЧЕСКИХ ПРОИЗВОДСТВ

Учебное пособие

Ответственный редактор

Т.Г. Смирнова

Редактор

Е.О. Трусова

Компьютерная верстка

Н.Е. Дюба, Н.В. Гуральник

Дизайн обложки

Н.А. Потехина

___________________________________________________________

Подписано в печать 29.08.2016. Формат 60×84 1/16

Усл. печ. л. 11,4. Печ. л. 12,25. Уч.-изд. л.12,0

Тираж 100 экз. Заказ №

С 21

______________________________________________________________

Университет ИТМО. 197101, Санкт-Петербург, Кронверкский пр., 49

Издательско-информационный комплекс 191002, Санкт-Петербург, ул. Ломоносова, 9

195