Материал: Тепловой расчет судового двигателя внутреннего сгорания

Внимание! Если размещение файла нарушает Ваши авторские права, то обязательно сообщите нам

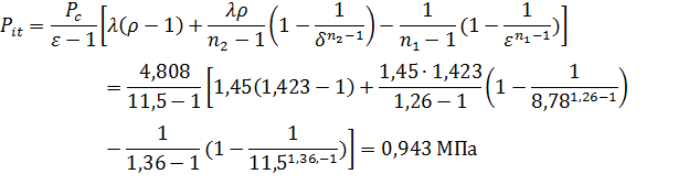
 МПа


 = 357= 860 K

Процесс сгорания

Максимальное давление цикла:

 

Максимальная температура цикла определяется из уравнения сгорания

 

Где - низшая теплота сгорания топлива

 = 41418 кдж/кг

 количество воздуха теоретически необходимого для полного сгорания 1 кг топлива:

, кмоль/кг

C, H, S, O - элементарный состав топлива.

Для данного топлива: C = 0,865; H = 0,126; S =0,004; O = 0,005

 кмоль/кг

 - средняя молярная теплоёмкость сухого воздуха

кдж/(кмольК)

 - средняя молярная изобарная теплоёмкость смеси «чистых» продуктов сгорания с оставшимися в цилиндре после сгорания избыточным воздухом и остаточными газами в точке Z

=== = 28,227 + 0,00308

 действительный коэффициент молекулярного изменения рабочей смеси


теоретический или химический коэффициент горючей смеси:


Рассчитанные численные значения подставим в уравнение сгорания

0,00318

Решая квадратное уравнение получим:

Процесс расширения

Степень предварительного расширения :


Степень последующего расширения :


Давление в конце расширения

 , Мпа

Где  - средний показатель политропы расширения

Принимаем

Тогда

Температура в конце расширения:


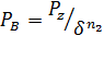
Параметры газа в выпускном тракте

Среднее давление газов за выпускными клапанами.

 ,Мпа

Где  - коэффициент потери давление при продувке во впускных и выпускных клапанах.

Принимаем . Тогда

 , МПа

Среднее давление газов перед турбиной

 ,Мпа

где - коэффициент потери в давления в выпускном тракте от цилиндра до турбины.

Принимаем  , Тогда

Средняя температура газов перед турбиной


Где относительная потеря теплоты с выпускными газами перед турбиной.

Принимаем ;

 = 1,6. Принимаем  = 1,62

масса воздуха, теоретически необходимое для полного сгорания 1 кг топлива

кг/кг

Где масса 1кмоля воздуха

кг/кг

 кдж/кмоль средняя изобарная теплоёмкость газов.

Принимаем

Энергетические и экономические показатели двигателя

Среднее индикаторное давление теоретического (расчётного) цикла, отнесённое к полезному ходу поршня:


Среднее индикаторное давление предполагаемого действительного цикла:

 МПа

Где = 0,96 коэффициент округления (полноты) диаграммы.

Принимаем = 0,96

 МПа

Индикаторная мощность, развиваемая в цилиндре


Где z - коэффициент тактности, z=1 для четырёхтактных двигателей

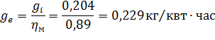
Индикаторный КПД двигателя:


Удельный индикаторный расход топлива:


Среднее индикаторное давление двигателя:

Мпа

Где  механический КПД двигателя

Тогда

Эффективная цилиндровая мощность:


Эффективная мощность двигателя:


Где  количество цилиндров двигателя.

Отклонение расчётной () мощности от заданной:


Эффективный КПД двигателя:


Удельный эффективный расход топлива:


Часовой расход топлива двигателем:


Цикловая подача топлива:


Построение индикаторной диаграммы.

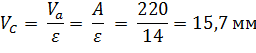
Теоретическую (расчётную) диаграмму строят в координатах P - V . По оси абсцисс в масштабе откладывают относительные объёмы, а по оси ординат - давление в цилиндре. При построении индикаторной диаграммы по оси абсцисс откладываем отрезок А, соответствующий ходу поршня , взятому в натуральную величину. При этом принимается, что полный объём цилиндра Va= A =220 мм.

Тогда длина отрезка, соответствующая объёму камеры сгорания находится следующим образом:


Разница объемов или расстояниеzz,определяется следующим образом.

zz,=

,=12(1.44 -1) = 5.28 мм

Действительный рабочий объём цилиндра:


Отложив по оси абсцисс соответствующие объёмы, по оси ординат откладываем отрезок В, соответствующий максимальному давлению цикла  .


Определим масштаб давления:


Определяем ординаты характерных точек:


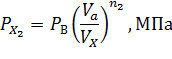
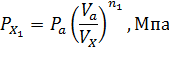
Определим промежуточные объёмы и соответствующие им давления сжатия и расширения.)      Процесс сжатия

)        Процесс расширения


В этих выражениях  ,  и известны;  обозначают промежуточные значения объёма и давления.

При расчёте процесса сжатия значения  принимают произвольно в пределах от  до  , а при расчёте процесса расширения от  до  . Объём  можно определить следующим образом:


Расчёт процессов сжатия и расширения удобно вести в табличной форме.

Таблица 2

Процесс сжатия

Процесс расширения



мм

 МПа

,мм

 Мпа

112

115

41

83,3

4,92

-

-

213,8

113,4

35,9

73,0

4,30

-

-

-

218

810

23,9

48,6

2,86

17,7

120

7,08

525,7

7

14,66

29,8

1,75

11,38

77,15

4,5

736

 5

9,21

18,7

1,10

7,47

50,64

2,988

960

23

4,55

9,2

0,54

3,9

26,44

1,56

190

22

2,6

5,2

0,31

2,37

16

0,948

1120

11,5


3,5

0,20

1,66

11,25

0,664

1144

11,25

1,36

2,7

0,16

1,32

8,94

0,528

1180

11

1

2,03

0,12

1

0,4


Для более полного учёта особенностей протекания действительного цикла в теоретической диаграмме скругляют углы в точках С (вследствие опережения подачи топлива сгорание начинается до ВМТ), Z¢ и Z (сгорание происходит при переменных значениях давления и объёма), а также исправляют конец диаграммы на участке газообмена.

Для проверки правильности построения индикаторной диаграммы необходимо планиметрированием определить площадь индикаторной диаграммы, а среднее индикаторное давление по следующей формуле:

МПа

Где мм2 - площадь индикаторной диаграммы;  - длина диаграммы, соответствующая полному рабочему объёму цилиндра. Тогда

Отклонение ¢ от значения полученного расчётом ():


Отклонение не превышает допустимые 3-4%

4.      Расчёт сил и моментов, действующих в кривошипно-шатунном механизме

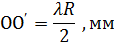
Сила давления газов приложена к поршню и действует вдоль оси цилиндра. Давление газов переменно по значению, закон его изменения определяется из индикаторной диаграммы, построенной методом А.Ф.Брикса из координат давление - ход поршня в координаты давление - угол поворота кривошипа. При этом поправка Брикса определяется по формуле:


Где R= S/2 = 220/2 = 110 мм

Тогда

После построения индикаторной диаграммы находятся значения сил давления газов (), соответствующие углам поворота коленчатого вала и заносятся в таблицу 3

Сила инерции поступательно движущихся масс определяется по следующей формуле:


Где площадь поперечного сечения поршня:


Где угловая скорость коленчатого вала:


радиус вращения кривошипа:


табличный коэффициент, численные значения которого выбираем из специальной таблицы в зависимости от значений  и.