Материал: Теория колебаний 1

Внимание! Если размещение файла нарушает Ваши авторские права, то обязательно сообщите нам

Кдин показывает во сколько раз динамическое смещение в системе больше статического за счет действия сил инерции в

колеблющейся системе (

).

Кдин

1

ω

θ

 

При расчетах на прочность механических систем, совершающих колебания, сначала производят необходимые расчеты при статическом нагружении, а затем полученные значения перемещений, напряжений умножают на Кдин.

При проектировании механических систем, совершающих колебания необходимо проводить отстройку частоты возбуждения θ от частоты собственных колебаний ω, чтобы избежать бесконечно больших значений величин.

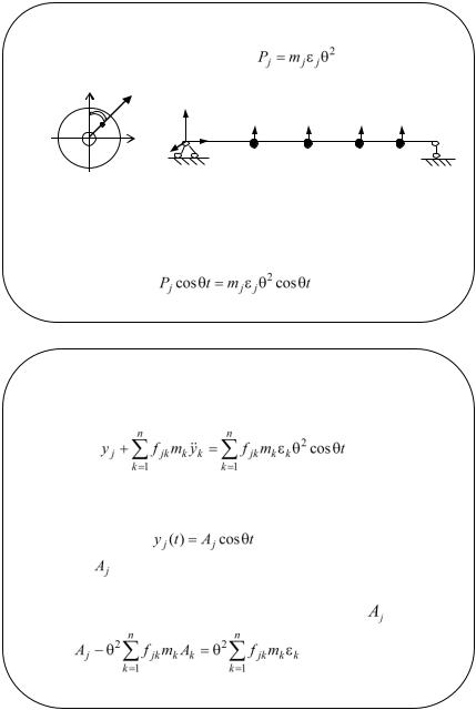
1.6. Изгибные колебания вращающихся валов. Понятие о критических скоростях

Рассмотрим вращающийся вал, несущий несбалансированные диски т1, т2, тп, центры масс которых не лежат на оси вращения; εj эксцентриситеты масс ― расстояния от центров масс до оси вращения; θ ― частота вращения вала.

 

 

εп

у

ε1

ε2

 

 

z

тп

 

 

т2

θ

х

т1

 

При вращении вала с частотой θ вследствие дисбаланса масс

возникают центробежные силы

 

, вызывающие

 

 

 

 

 

изгиб вала.

 

 

у

θt

Pj

 

 

 

 

 

 

 

 

у

 

 

 

 

 

 

 

P1cosθt

P2cosθt

Pjcosθt Pпcosθt

 

εj

 

 

 

 

 

 

 

z

 

 

х

х

 

 

 

 

 

 

т1

т2

тj тп

Будем полагать, что центры масс дисков лежат в одной плоскости. Тогда вертикальные составляющие центробежных сил инерции лежат в одной плоскости и равны

.

Действующие центробежные силы инерции вызывают вынужденные колебания вала, описываемые системой уравнений

(1)

j=1,2,…п

Решение системы уравнений (1) ищем в классе гармонических функций

(2)

где ― смещение точек оси вращающегося вала. Подставляя (2) в систему (1) получим систему алгебраических уравнений относительно

(3)

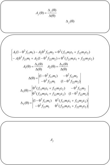
Решение системы (3) можно получить по формулам Крамера

(4)

где ∆(θ) ― определитель системы (3),

― алгебраическое

дополнение, описанное выше.

Запишем систему (3) и ее решение для случая системы с двумя степенями свободы п=2

(3′)

;

(4′)

,

,

.

Определитель ∆(θ) системы уравнений (3) обращается в ноль при совпадении частоты вращения вала θ с одной из собственных частот ωj изгибных колебаний вала. При этом

значения перемещений

неограниченно возрастают.

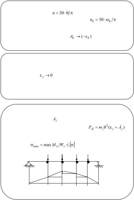
Критическими скоростями вращающегося вала называют скорости, численно совпадающие с собственными частотами изгибных колебаний вала, при которых резко возрастают деформации.

В технике скорость вращения измеряется числом

оборотов в

минуту:

. Резонансным

частотам

соответствуют критические числа оборотов

.

При возрастании скорости вращения вала и после

прохождения

критических

скоростей

происходит

самоцентрирование вала, когда

, т.е. центры масс

располагаются на оси вращения.

При проектировании вращающихся валов, несущих сосредоточенные диски необходимо проводить их балансировку, принимать меры, приводящие к уменьшению

дисбаланса масс:

.

При выборе рабочих режимов частот вращения θраб вала проводить отстройку от резонансных частот колебаний вала: θраб≠ωj.

При вращении вала с рабочей частотой θраб массы тj

получают смещение

от

оси

вращения.

Возникающие

амплитудные

динамические

усилия

 

вызывают изгиб вала.

 

 

 

 

Поэтому необходимо проводить проверку прочности

при изгибе

 

 

.

 

 

 

PA1

PA2

PAj

PAn

 

 

т1

т2

тj

тп

 

Mx