1.5. Вынужденные колебания механических систем
Колебания, которые вызываются переменным внешним воздействием, называются вынужденными колебаниями.
Вынужденные колебания поддерживаются в системе за счет притока энергии извне. Колебания могут быть вызваны действием переменной внешней силой P(t), или вибрациями основания (кинематическое возбуждение), характеризуемое
смещением u(t).
P(t)
m |
m |
u(t) 
Рассмотрим колебания механической системы упругий безинерционный стержень, несущий п сосредоточенных масс mj, на которые действуют переменные во времени
силы Pj(t). |
|
|
|
|
у |
|
P1(t) |
P2(t) |
Pj(t) Pп(t) |
|
z |
|||
х |
|
|||
|
т1 |
т2 |
тj тп |
|
|
|
Под действием внешних сил Pj(t) (j=1, 2,…п) система совершает вынужденные колебания. При ее движении на каждую массу mj действует Даламберова сила инерции
.
Как и в случае свободных колебаний будем определять перемещение уj массы mj как сумму перемещений уjк от совокупности сил Pк(t), Iк(t), приложенных ко всем массам
Перепишем это уравнение в виде
(1)
j=1, 2,…п
Получили систему неоднородных дифференциальных уравнений вынужденных колебаний механической системы с п степенями свободы. В правую часть входит параметр внешней силы Pк(t); fjk ― элементы матрицы единичных перемещений системы.
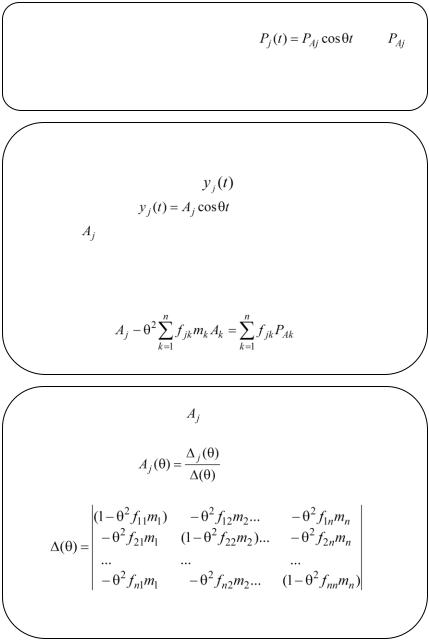
Важным в практическом отношении является случай
гармонического внешнего воздействия |
, где |
― амплитудное значение внешней силы; θ ― частота внешнего воздействия (частота возбуждения).
Для случая установившихся вынужденных колебаний при гармоническом внешнем воздействии решение для
перемещений |
ищем в виде |
, (2)
где ― амплитуда установившихся вынужденных
колебаний.
Подставляя решение (2) в систему (1) получим систему неоднородных алгебраических уравнений относительно амплитуд колебаний.
(3)
Решение для амплитуд |
системы уравнений (3) можно |
получить по формулам Крамера
(4)
где ∆(θ) ― определитель системы (3)
(5)
― алгебраическое дополнение, полученное путем
замены j-го столбца в определителе (5) вектор-столбцом правой части системы (3).
Решения для амплитуд колебаний (4) имеют бесконечные значения, когда определитель системы (5) равен нулю.
Равенство нулю определителя (5) приводит к частотному уравнению для определения собственных частот колебаний механической системы с п степенями свободы. Следовательно, при частотах возбуждения θ, равных собственным частотам колебаний системы ωj получаем бесконечные решения для амплитуд колебаний ― резонанс.
Явление совпадения частоты возбуждения с одной из собственных частот колебаний системы, сопровождающееся резким возрастанием амплитуды колебаний называется
резонансом.
График зависимости амплитуды колебаний массы mj от частоты возбуждения называют амплитудно-частотной
характеристикой (АЧХ) системы.
ω1 |
ω2 |
ωj |
ωn |
θ |
Вертикальные асимптоты проведены в точках θ= ωj (j=1,2,…п) и соответствуют резонансным частотам, при которых .
Вынужденные колебания системы с одной степенью свободы (линейный осциллятор)
Уравнение колебаний при гармоническом внешнем воздействии .
Решение для установившихся вынужденных колебаний ищем
в виде |
. |
Уравнение для амплитуд колебаний |
. |
Амплитуда колебаний
Здесь |
― статическое смещение в системе при |
|
ее статическом нагружении силой РА; |
|
― частота собственных колебаний; |
|
― динамический коэффициент. |