при ![]()
Неизвестным
параметром распределения является
Во
введенных обозначениях ![]()
Генеральная случайная величина Х распределена по показательному закону, поэтому все выборочные значения неотрицательны.
![]()
![]()
Удобнее рассматривать максимум логарифма функции правдоподобия:
![]()

. Проверка гипотезы о показательном распределении генеральной совокупности.
Для того чтобы при уровне значимости а проверить гипотезу о том, что непрерывная случайная величина распределена по показательному закону, надо:
1. Найти по заданному эмпирическому распределению выборочную среднюю хcp. Для этого находят середину i-го интервала xcpi = (xi+xi+1)/2, составляют последовательность равноотстоящих вариант и соответствующих им частот.
2. Принять в качестве оценки параметра Х показательного распределения величину, обратную выборочной средней:

3. Найти вероятности попадания X в частичные интервалы (xi,xi+1) по формуле:
Pi = P(xi < X < xi+1) = e-λxi - e-λxi+1
4. Вычислить теоретические частоты:
ni = n • Pi
5. Сравнить эмпирические и теоретические частоты с помощью критерия Пирсона, приняв число степеней свободы k = s-2, где s - число первоначальных интервалов выборки; если же было произведено объединение малочисленных частот, следовательно, и самих интервалов, то s - число интервалов, оставшихся после объединения.
,
где
(24)
-
функция (интеграл вероятности) Лапласса
Выше (§
9.4) показано, что выборочная
средняя
и
выборочная доля
повторной
выборки представляют сумму n независимых
случайных величин
,
где
имеет один и тот же закон распределения
— соответственно (13) и (10) с
конечными математическим ожиданием и
дисперсией. Следовательно, на основании
теоремы Ляпунова
при
распределения
и
неограниченно
приближаются к нормальным (практически
при
распределения
и
можно
считать приближенно нормальными).
Для
бесповторной выборки
и
представляют
сумму зависимых случайных величин.
Однако
можно
показать, что и в этом случае при
закон
распределения
и
как
угодно близко приближается к нормальному.
Формулы (23) и (24) следуют непосредственно из свойства 2 нормального закона формулы.
Формулы (23) и (24) получили название формул доверительной вероятности для средней и доли.
Определение. Среднее
квадратическое отклонение выборочной
средней
и
выборочной доли
собственно-случайной
выборки называется средней квадратической
(стандартной) ошибкой выборки. (Для
бесповторной выборки обозначаем
соответствено
и
).
Из рассмотренной теоремы вытекают следующие следствия.
Следствие
1. При заданной доверительной
вероятности
предельная
ошибка выборки равна (-кратной величине
средней квадра-тической ошибки, где
,
т.е.
десь рассматриваются выборки одинакового объема, варианты которых попарно зависимы. Например, если хi (i=1,2, ...,n)—результаты измерений деталей первым прибором, а yi — результаты измерений этих же деталей, произведенные в том же порядке вторым прибором, то хi и yi попарно зависимы и в этом смысле сами выборки зависимые. Поскольку, как правило, хi ≠ уi, то возникает необходимость установить, значимо или незначимо различаются пары этих чисел. Аналогичная задача ставится при сравнении двух методов исследования, осуществленных одной лабораторией, или если исследование произведено одним и тем же методом двумя различными лабораториями.
Итак,
пусть генеральные совокупности Х и Y
распределены нормально, причем их
дисперсии неизвестны. Требуется при
уровне значимости α проверить нулевую
гипотезу Н0:М (
)
= М (
)
о равенстве генеральных средних
нормальных совокупностей с неизвестными
дисперсиями при конкурирующей гипотезе
Н1:М (
)
≠ М (
)
по двум зависимым выборкам одинакового
объема.
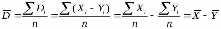
Сведем эту задачу сравнения двух средних к задаче сравнения одной выборочной средней с гипотетическим значением генеральной средней, решенной в § 13, п. Б. С этой целью введем в рассмотренные случайные величины—разности Di = Хi—Yi и их среднюю
.
Если
нулевая гипотеза справедлива, т.е. М (
)
= М (
),то
М (
)
- М (
)
= 0 и, следовательно,
М
(
)
== М (
—
)
= М (
)
— М (
)
= 0.
Таким
образом, нулевую гипотезу Н0:М (
)
= М (
) можно
записать так:
H0:М(
)
= 0.
Тогда
конкурирующая гипотеза примет вид
Н1:М(
)
≠ 0.
Замечание
1. Далее наблюдаемые неслучайные разности
xi—yi будем обозначать
через di в отличие от случайных
разностей Di = Хi—Yi.
Аналогично выборочную среднюю этих
разностей
обозначим
через
в
отличие от случайной величины
.
Итак,
задача сравнения двух средних
и
сведена
к задаче сравнения одной выборочной
средней
с
гипотетическим значением генеральной
среднейМ(
)
= а0 = 0. Эта задача решена ранее
в§ 13, п. Б, поэтому приведем лишь правило
проверки нулевой гипотезы и иллюстрирующий
пример.
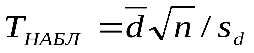
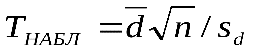
Замечание 2. Как следует из изложенного выше, в формуле (см. § 13. п. Б)
![]()
надо положить
.
Тогда
.
Правило. Для
того чтобы при заданном уровне значимости
α проверить нулевую
гипотезу Н0:М(
) = M(
) о равенстве
двух средних нормальных совокупностей
с неизвестными дисперсиями (в случае
зависимых выборок одинакового объема)
при конкурирующей гипотезе М(
) ≠ M(
), надо
вычислить наблюдаемое значение критерия:
![]()
и по таблице критических точек распределения Стьюдента, по заданному уровню значимости α, помещенному в верхней строке таблицы, и по числу степеней свободы k = п - 1 найти критическую точку tдвууст.кр (α; k).
Если |Tиабл|< tдвууст.кр — нет оснований отвергнуть нулевую гипотезу.
Если |Tиабл|> tдвууст.кр — нулевую гипотезу отвергают.