Количество
нормо-часов по маркам тракторов (гр. 22-25 и т.д) определяем по формуле
После составления сводной таблицы определяемитоговые показатели:
· расход топлива по каждой марке трактора и в целом по возделываемым культурам (гр. 19);
· суммарные затраты труда механизаторов (гр. 20) и вспомогательных рабочих (гр. 21);
·
количество
нормо-часов по маркам тракторов и в целом по возделываемым культурам.
2.2 Построение графиков загрузки техники и потребности в рабочей силе
Для определения количества тракторов, автомобилей и сложных сельскохозяйственных машин (комбайнов), необходимого для выполнения всего объема работ,иих загрузки по периодам, строим графики машиноиспользования.
При построении графиков по горизонтальной оси (ось абсцисс) откладываем календарный период Дквыполнения работ, а по оси ординат в масштабе откладываем потребное количество тракторов данной марки.
Пользуясь данными расчетов, последовательно по номерам (шифрам) сельскохозяйственных работ строим прямоугольники со сторонами: по оси абсцисс календарные дни выполнения работ для тракторов данной марки, по оси ординат - количество тракторов данной марки. Каждый прямоугольник представляет собой в определенном масштабе количество трактородней, потребное для выполнения работы. Прямоугольники отдельных работ, совпадающие по срокам выполнения, строим один над другим; общая высота прямоугольника определяет количество тракторов, необходимое в каждый период работы. Каждая операция на графике (в виде прямоугольника) получает свой номер, соответствующий порядковому номеру (шифру) по сводной таблице.
Кроме указания номера работы, на прямоугольниках вводим обозначения (цветные цифры, значки или др.) сменности работы агрегата, а также отмечаем соответствующим методом (флажки, звездочки и т. д.) агрегаты, образующие поточную линию при выполнении сложных сельскохозяйственных процессов.
При построении графиков обычно обнаруживается некоторое количество пиков, провалов или периодов, когда тракторы незаняты. Это указывает на неравномерность использования тракторов. Поэтому проводим сглаживание (корректировку) графиков.
Корректировку графиков выполняем следующими способами:
- передачей части или полного объема отдельных работ для выполнения другими агрегатами, менее загруженными в этот период;
- изменением начала или продолжительности работы агрегата в пределах агротехнических сроков;
- передачей части работ на тракторы других марок, если они менее загружены и если это допускается агротехническими требованиями;
- изменением продолжительности работы агрегатов в течение суток, если имеется достаточное количество механизаторов для многосменной работы;
- изменением интенсивности работы внутри календарного срока проведения работ.
После корректировки графика необходимо внести изменения в расчеты.
По скорректированному графику загрузки определяем потребное количество тракторов, автомобилей и самоходных машин по максимумам.
Аналогичным способом строим графики потребности в рабочей силе (механизаторы и вспомогательные рабочие). По оси ординат откладываем
количество рабочих, занятых на данной операции (гр. 15), а по оси абсцисс
- фактические дни работы. На основании этого графика устанавливаемпостоянный
состав тракторной бригады и периоды, в которые следует привлекать
дополнительное количество рабочих.
.3 Обоснование количественного состава машинно-тракторного парка
Необходимое количество тракторов, сельскохозяйственных машин и орудий устанавливаем на основании сопоставления расчетов по сводной таблице, графиков загрузки тракторов и расчета по укрупненным показателям. Количество тракторов, самоходных сельскохозяйственных машин и автомобилей по графикам их использования определяем по периодам наибольшей загрузки сельскохозяйственными работами.
Количество машин и орудий по сводной таблице или технологическим картам выбираем по периодам наибольшей потребности в них. Для этого, просматривая сводную таблицу, устанавливаем по всем периодам работы, когда машина или орудие каждой марки применяется. Выбираем период, когда потребуется самое большее их количество. Если в один и тот же календарный срок машина или орудие одного наименования и марки применяется одновременно на двух и более работах, то их количество суммируется.
Наименования тракторов и машин, их марки, потребное количество,
определенное по укрупненным показателям, сводной таблице и графикам
машиноиспользования, заносим в таблицу 2.2.
2.5 Показатели состава и использования машинно-тракторного парка
сельскохозяйственного предприятия
Для характеристики выбранного для предприятия состава машинно-тракторного парка и эффективности его использования определяем показатели (таблица 2.3):
- состава машинно-тракторного парка;
использования машинно-тракторного парка;
- эффективности использования машинно-тракторного парка.
Показатели состава машинно-тракторного парка
1. Количество физических тракторов всего и по маркам определяем по сводной таблице производственных операций и графикам загрузки тракторов за рассматриваемый период.
2.Количество эталонных тракторов по маркам.
где Xi- количество физических тракторов i-й марки, шт.;
Wчэ- коэффициент перевода физических тракторов в эталонные тракторы.
3. Площадь пашни на один эталонный трактор, га/эт. тр.
где ΣXэ-
общее количество эталонных тракторов, эт.тр.
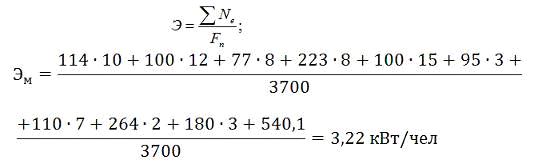
4. Энерговооруженность труда, кВт/чел.
где ΣNэ- суммарная мощность двигателей тракторов, самоходных машин, автомобилей и других двигателей в сельскохозяйственном предприятии, кВт;
ΣH-общее количестворабочих, занятых в производстве, чел.
. Энергонасыщенность земледелия, кВт/га
Показатели использования машинно-тракторногопарка
. Годовая загрузкаодного физического трактора по маркам, нормо-часы:
где ΣNчi- суммарное количество нормо-часов, отработанных тракторами данной марки за год, ч.
. Выработка на один физический трактор данной марки за год, эт. га/тр:
где Wчэ - часовая выработка трактора данной марки в эталонных условиях
3. Суммарный объем механизированныхтракторных работ, эт. га:
4. Выработка на один эталонный трактор данной марки, эт.га/эт.тр.:
5. Выработка на один эталонный трактор (средняя по предприятию), эт.
га/эт. тр.:

где Fп- площадь пашни, га
. Коэффициент сменности:
где ΣNч - суммарное количество нормо-часов, выполненных всеми тракторами предприятия за год;
ΣДр- суммарное количество тракторо-дней, отработанных за год всеми тракторами.
.Коэффициент использования тракторов (средний по предприятию)
где ΣX- количество физических тракторов (всех марок);
Динв- количество рабочих дней в году (без выходных и праздничных Динв =305).
Показатели эффективности использования машинно-тракторного парка
. Уровень механизации (%) по затратам труда в полеводстве
где ΣЗм, ΣЗв - соответственно сумма затрат труда механизаторов и вспомогательных рабочих, ч.
.
Суммарный расход топлива, л
где Qi- расход топлива тракторамиi-й марки, л.
3. Расход топлива на условный эталонный гектар, л/эт. га
Таблица 2.3- Показатели состава и использования машинно-тракторного парка
|
Наименование показателей |
Значение показателя |
|
Показатели состава машинно-тракторного парка |
|
|
Количество физических тракторов, всего шт., |
30 |
|
в том числе: |
|
|
Беларус 3022 |
9 |
|
Беларус 1523 |
7 |
|
Беларус1221 |
3 |
|
Беларус800 |
11 |
|
Количество эталонных тракторов, всего эт. тр. |
47.92 |
|
Беларус 3022 |
24.3 |
|
Беларус 1523 |
10.92 |
|
Беларус 1221 |
3.9 |
|
Беларус 800 |
8.8 |
|
Площадь пашни на один эталонный трактор, га/эт.га. |
77.21 |
|
Энерговооруженность труда, кВт/чел. |
123,7 |
|
Энергонасыщенность земледелия, кВт/га |
3,22 |
|
Показатели использования машинно-тракторного парка |
|
|
Годовая загрузка одного физического трактора: |
|
|
Беларус 3022 |
380.21 |
|
Беларус1523 |
266.18 |
|
Беларус1221 |
190.47 |
|
Беларус800 |
373.33 |
|
Объем механизированных тракторных работ, эт. га. |
|
|
Выработка на один эталонный трактор, эт. га/тр.: |
|
|
Беларус 3022 |
37.67 |
|
Беларус 1523 |
38.03 |
|
Беларус1221 |
|
|
Беларус800 |
30.66 |
|
Выработка на один физический трактор, эт. га/эт. тр.: |
|
|
Беларус 3022 |
915,5 |
|
Беларус 1523 |
415,24 |
|
Беларус1221 |
247,61 |
|
Беларус800 |
269,84 |
|
Выработка на один эталонный трактор (средняя по предприятию), эт.га/эт. тр. |
310,04 |
|
Плотность (интенсивность) механизированных тракторных работ, эт. га/га |
4,02 |
|
Коэффициент сменности |
2,46 |
|
Коэффициент использования тракторов (средний по предприятию) |
0,09 |
|
Показатели эффективности использования машинно-тракторного парка |
|
|
Уровень механизации, % |
51 |
|
Суммарный расход топлива, л |
|
|
Расход топлива на эталонный гектар, л/эт. га |
|
3. Планирование и организация технического обслуживания
машинно-тракторного парка
.1 Построение интегральных кривых расхода топлива
Для определения расхода топлива по периодам работы и планирования технического обслуживания на графиках загрузки тракторов строим интегральные кривые суммарного расхода топлива и наработки тракторов в условных эталонных гектарах. Такие кривые показывают в нарастающем порядке расход топлива и наработку всеми тракторами данной марки в течение года.
Интегральные кривые строим для тракторов каждой марки, совмещая их с графиками использования тракторов. С правой стороны графика по вертикальной оси в выбранном масштабе наносим шкалу годового расхода топлива (или наработки в усл. эт. га) тракторами данной марки.
Исходной информацией для построения интегральных кривых служат данные сводной таблицы.
Годовой расход топлива определяем путем суммирования расхода топлива на выполнение отдельных работ тракторами данной марки за год (период). По годовой сумме ориентируемся при выборе масштаба шкалы расхода топлива.
Построение кривой начинаем на оси абсцисс из точки, соответствующей началу выполнения сельскохозяйственных работ. На вертикали, соответствующей завершению выполнения сельскохозяйственных работ, в масштабе откладываем отрезок, равный расходу топлива при выполнении всех работ в этот период. Конечную точку этого отрезка и точку в начале графика, где расход топлива равен нулю, соединяем прямой. Если после первого периода выполнения работ выполняем следующие работы без разрыва во времени, на вертикали, соответствующей завершению второго периода работ, откладываем отрезок, равный суммарному расходу топлива на выполнение первого и второго периодов работ. Конечную точку второго периода работ соединяем с конечной точкой первого периода работ прямой линией. Аналогично строим отрезки интегральной кривой для всех последующих периодов работ.
Если имеется период времени, когда работы не выполняются, то на этом промежутке кривую проводим параллельно оси абсцисс.
В случае если сельскохозяйственные работы выполняются частично в предыдущем и последующем месяцах, то расход топлива на выполнение работ в каждом месяце распределяем пропорционально количеству рабочих дней на их выполнение в предыдущем и последующем месяцах.
Угол наклона участков интегральной кривой указывает на интенсивность
производства механизированных работ. Чем больше угол наклона, тем интенсивнее
выполняются работы и используются тракторы.
3.2 Разработка годового плана
технического обслуживания тракторов
Исходными данными для планирования технического обслуживания МТП являются: техническое состояние каждого проектного трактора на начало планируемого года (периода); расход топлива тракторами в течение планируемого года в виде интегральных кривых расхода топлива; периодичность технического обслуживания тракторов каждой марки.