Материал: Судейство спортивных мероприятий как основополагающий компонент спортивного event-менеджмента

Внимание! Если размещение файла нарушает Ваши авторские права, то обязательно сообщите нам

.        Медицинский персонал.

Для организации и управления всеми аспектами мероприятия и существует event-менеджмент, который собирает в себе все функции менеджмента

1.2 Основные принципы организации и управления спортивными мероприятиями


Любое спортивное соревнование проводится только при наличии следующих регулирующих документов:

правила соревнований по виду спорта;

календарный план спортивных соревнований;

положение о соревновании;

регламент проведения спортивных соревнований;

смета на проведение спортивного мероприятия [16].

К мерам организационно-методического характера относится составление календарного плана по данному виду спорта. Календарь соревнований - плановый документ, который регламентирует перечень планируемых к проведению в предстоящий период соревнований, определяет сроки и места их проведения, состав участников и судей, а также примерную стоимость проведения таких мероприятий.

Календарный план составляется на год или на сезон и включает в себя три раздела:

)        Физкультурно-оздоровительные мероприятия;

2)      Комплексные мероприятия;

)        Соревнования по видам спорта [14].

При составление календаря соревнований необходимо учитывать традиционной намеченных мероприятий по срокам, программам, участвующим лицам. Это способствует повышению интереса к данным соревнованиям, облегчает подготовку участников к ним, а также делает соревнование более популярным у зрителей и болельщиков.

Таким образом, календарный план необходимо составлять так, чтобы намеченные мероприятия были разнообразными по масштабу, составу участников и условиям проведения, но в тоже время неизменны по срокам, составу и месту проведения.

Календарный план рекомендуется составлять по следующей форме:

Наименование мероприятия

Дата проведения

Место проведения

Участвующие организации

Количество участников (команд)

Проводящие организации

Финансирование


Следующий основной управленческий документ - положение о соревновании, в котором указывается:

название соревнований;

сроки;

место проведения;

задачи данного соревнования;

программа и порядок проведения по дням;

состав участников;

система зачета (определения победителей);

форма награждения [13].

Положение по соревнованию любого ранга включает его точное название и несколько разделов, рассмотренных ниже.

Разработанное положение должно быть утверждено организацией, проводящей соревнование (ОПС), и заблаговременно разослано всем потенциальным участникам и заинтересованным лицам, которым в свою очередь необходимо вовремя подать заявку на участие в мероприятии и количеству участников.

Для проведения соревнования следует организовать место проведения, оборудование и инвентарь, проверить их качество и количество.

Если мероприятие состоит из состязаний различных видов спорта, но необходимо заранее составить план соревнований, в котором указаны последовательность и время проведения каждого вида спорта, с учетом средней продолжительности выполнения упражнений или времени схватки [30].

Следующим основным документом в организации мероприятия являются правила по данному виду спорта, в которых регламентируются действия судей и участников, условия выявления победителя, список разрешенных и запрещенных действий.

Мы разобрали основные аспекты подготовки к проведению спортивных мероприятий. Далее рассмотрим саму организацию подобного плана соревнований.

Всю сферу деятельности организации, проводящей соревнование - подготовка, проведение и т.д., можно сгруппировать в виде комплекса логически последовательных действий (табл. 1).

Таблица 1. Этапы подготовки и проведения физкультурно-спортивного мероприятия (ФСМ)

№ п/п

Наименование этапа

Ответственные

1

Утверждение календарного плана

ОПС

2

Формирование оргкомитета по проведению ФСМ

ОПС

3

Разработка и утверждение положения о соревновании

ОПС

4

Разработка и утверждение сметы на проведение ФСМ

ОПС

5

Формирование главной судейской коллегии

ОПС

6

Маркетинг и реклама ФСМ

ОПС

7

Выбор и подготовка спортивного сооружения (заключение договора аренды, инспектирование, дополнительное оснащение техническими средствами и т.д.)

ОПС, главная судейская коллегия

8

Медицинское обеспечение

ОПС

9

Организация сбора и обработка заявок на участие в ФСМ

Главная судейская коллегия

10

Жеребьевка участников

Главная судейская коллегия

11

Формирование службы безопасности

ОПС

12

 Торжественное открытие соревнования

ОПС, Главная судейская коллегия

13

Проведение соревнования в соответствии с утвержденными программой и правилами

Главная судейская коллегия

14

 Награждение победителей

ОПС, Главная судейская коллегия

15

 Торжественное закрытие ФСМ

ОПС, Главная судейская коллегия

16

Подготовка отчета судейской коллегией и представление его организации, проводящей соревнование

Главная судейская коллегия


Рассмотрим подробнее содержание некоторых разделов:

.        Формирование судейской коллегии.

Для проведения соревнований оргкомитетом заблаговременно утверждается главная судейская коллегия и подбирается состав судей в соответствии с правилами и положением о данном соревновании.

Главная судейская коллегия, как правило, состоит из главного судьи, его заместителя (в том числе по медицинскому и хозяйственному обеспечению), главного секретаря и его помощников, старшего судьи, судей на вышке, судей-наблюдателей и судьи-информатора. На турнирах по футболу, хоккею, баскетболу и другим спортивным играм, также присутствует судья-секундант [15].

Чтобы иметь право состоять в судейской коллегии любого соревнования, судья должен иметь соответствующую проводимому соревнованию категорию.

.        Медицинское обеспечение и техника безопасности.

Независимо от уровня проводимого мероприятия, необходимо обеспечить присутствие медицинского персонала для наблюдения за санитарным состоянием мест соревнований, оказания необходимой помощи участникам мероприятия.

.        Рекламная деятельность.

Для повышения интереса у зрителей и болельщиков необходимо проводить рекламные кампании, представляющие собой несколько рекламных мероприятий, дополняющих друг друга и преследовавших одну и ту же цель. Поэтому event-менеджмент неразрывно связан с маркетингом, который позволяет привлечь не только зрителей, но и потенциальных спонсоров.

Рекламная кампания может включать:

печатная продукция, освещение предстоящего мероприятия на радио и телевидении;

популяризация данных видов спорта путем торжественной церемонии открытия и закрытия соревнований;

размещение информации о мероприятии в интернете;

вовлечение СМИ во все этапы подготовки, организации и проведению спортивного мероприятия [26].

Подключение к спорту электронных СМИ в значительной степени изменило структуру и содержание бизнес-процессов, сделало профессиональных спортсменов узнаваемыми во всем мире фигурами, звездами шоу-бизнеса. Если без участия электронных СМИ спортивным зрелищем наслаждались от силы несколько десятков тысяч болельщиков, собравшихся на стадионах или вдоль спортивных трасс, то с включением в данный процесс вещателей зрительская аудитория многократно возрастает. В экономическом плане это означает, что сами спортсмены продолжают производить тот же рыночный продукт (зрелище). Принципиально меняется только количество его потребителей за счет радиослушателей, телезрителей и интернет-пользователей. Наглядно эффективность работы СМИ можно увидеть на рисунке 1.

 <#"881653.files/image002.gif">

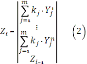
Рис. 2 - Модель стратегического плана и принятия решения при выборе наиболее подходящей кандидатуры на роль судьи

Где: - Yi (Xi) - входные параметры модели;

Z1 (Y1) - целевая функция первого этапа;

Zi (Yi,Zi-1) - целевая функция i-го этапа.

Так как параметры модели принятия решения трудно задать точными цифровыми значениями, то для оценки целевой функции наиболее подходящим будет использование метода экспертных оценок. Эксперт на основе своих знаний и опыта ранжирует вероятность и значимость воздействия каждого показателя на целевую функцию и делает вывод о значимости и приоритетности того или иного фактора путем простановки ему ранга. В качестве экспертов выступают члены организационного комитета, представители спортивных клубов (не участвующих в соревнованиях) и клубов болельщиков. Таким образом, после проведенного анализа входные данные на уровне эксперта имеют вид вектора:


Где n - количество показателей.

Тогда целевая функция i-го этапа будет иметь вид:


Где m - количество экспертов,  - весовой коэффициент j-го эксперта ().

Оптимальное значение целевой функции определяется как максимальное значение по столбцу:

При этом, функцией оптимизации будет выступать зрелищность соревнований и как следствие повышение лояльности болельщиков.

Т.е., рассматривая разные соревнования и их экономическую эффективность, мы получим массив данных, например, прибыли от проведения матчей.

Рассмотрим в качестве примера выбор футбольного арбитра по данной модели на конкретном человеке.

Пожалуй, самым известным футбольным арбитром является Пьерлуиджи Коллина, карьера которого началась в 17 лет. В 35 лет, проведя 43 матча серии A, Коллина удостоился статуса рефери ФИФА, а уже через год обслуживал игры футбольного турнира Олимпиады-1996, включая финал Нигерия - Аргентина. Особняком в яркой и насыщенной карьере Коллины стоят два других финала - Лиги чемпионов 1999 года и ЧМ-2002. Всего три минуты добавил Пьерлуиджи к основному времени матча "Бавария" - "Манчестер Юнайтед" на "Камп Ноу", но и их англичанам хватило, чтобы перевернуть игру с ног на голову и добавить интриги к окончанию матча. Шерингем сравнял счёт на 91-й минуте, а Сульшер забил победный гол на 93-й. В истории чемпионского турнира сложно найти более эпичный финал. На этом фоне победа Бразилии над Германией летом 2002-го, конечно же, меркнет. Но с точки зрения значимости, рейтинга матч в Йокогаме стал высшей точкой в траектории арбитра Коллины, венцом удивительной карьеры.

Пьерлуиджи также знаменит своей неординарной внешностью, которой обязан тяжёлой форме алопеции - заболевания, ведущего к полному или частичному выпадению волос. Коллина не комплексовал по этому поводу и даже сумел извлечь из своего недуга пользу. Его блестящая лысина стала чуть ли не товарным знаком. Благодаря своей индивидуальности Коллина стал медийной личностью и заключил не один рекламный контракт, что для людей его профессии большая редкость. Едва появившись на итальянских телевизионных экранах, молодой, но чрезвычайно принципиальный судья тотчас же получил прозвище Коджак - в честь такого же лысого героя одноимённого американского сериала. Настоящий Коджак, честный "коп" в исполнении Телли Салливана, боролся с преступниками на улицах города, а Коллина - с хулиганами на футбольном поле. В некотором роде - родственные профессии. Также его прозвищем среди футбола было Фантомас.

Рассмотрим модель принятия решения, описанную выше, для этапа 3, т.е. проведем анализ предоставленной информации. При этом возьмем на себя функции нескольких экспертов (Таблица 2).

Таблица 2

Проведение экспертной оценки футбольного арбитра Пьерлуиджи Коллина

Показатель

Выводы экспертов

Оптимальное значение целевой функции


Э1

Э2

Э3

Э4

Э5



0,6

0,4

1

0,9

0,2


1

2

3

4

5

6

7

Объективность судейства по мнению болельщиков

5

6

6

7

7

19,1

Гонорар за проведение матча

3

2

5

2

1

9,6

Эффективность рекламной компании матча с его судейством

7

5

3

5

5

14,7

Частота упоминания его имени на форумах болельщиков

8

7

8

6

8

22,6

Способность держать интригу исхода матча

2

4

7

8

3

17,6

Упоминание его имени в связи с договорными матчами

1

1

1

1

2

3,3


При расчете в качестве входных параметров нами были рассмотрены несколько показателей. Если целевой функцией является повышение престижности матча и при этом бюджет матча достаточно большой, то данный кандидат нам подходит отлично и именно его показатель станет значением целевой функции. Это объясняется тем, что его популярность среди болельщиков высока. Однако, и уровень гонорара также высок. При этом, если же мы располагаем меньшим бюджетом, то, возможно найдется более подходящий кандидат. Недостатком данной модели можно считать, что она учитывает мнения болельщиков и частично спортсменов, а также отчасти профессиональные качества судьи. Однако, в ней трудно отобразить существующую в спорте на данный момент проблему несбалансированных и зачастую несправедливых гонораров.

2.3 Проблемы материальной мотивации спортивного судейства


Организация судейства является одной из первых задач в списке спортивного event-менеджера. В ходе работы, менеджер сталкивается с множеством проблем, которые относятся непосредственно к судьям.

В спортивное судейство входят в основном бывшие спортсмены, не добившиеся высоких спортивных результатов, как правило они имеют первый спортивный разряд. Мастера спорта составляют лишь 5% от всех судей, исключения составляют такие виды спорта как художественная гимнастика, синхронное плавание и некоторые другие. Очевидно, что из-за несостоявшейся спортивной карьеры они таким путем стараются достичь высот в иной сфере спорта. Однако, данные свидетельствуют о том, что для высококвалифицированного судейства нужен достаточный опыт занятий данным видом спорта, что вполне далеко от реальности.

Независимо от опыта и квалификации любой судья в любом виде спорта получает денежное вознаграждение за свою работу.

Например, в футболе главный судья премьер-лиги получает 90 тыс. руб. за одну игру, линейные арбитры по 45 тыс. руб., а резервный судья 8,7 тыс. руб. Такие заработки могут быть вполне оправданными, ведь за матч арбитр пробегает в совокупности 13-14 км. К тому же, идет коллосальная физическая и эмоциональная нагрузка. Тяжело, когда 15 тыс. человек на стадионе настроены против любого решения судьи. Например, в Германии главному судье платят 3600 евро (198 тыс. руб.) за игру, а его коллеге по линии 1800 евро (99 тыс. руб.) То есть "нашему" главному судье платят также, как линейному арбитру в Германии. Несмотря на такую разницу, в России судьи проводят за сезон не один матч, поэтому сумма набегает не маленькая. Кроме того, помимо этой работы у судей есть и другие источники дохода. К примеру, Игорь Егоров имеет собственный бизнес, а Алексей Спирин занимается наукой. [29]

В хоккее заработки судей немного меньше - гонорар главного судьи российской супер-лиги 22 тыс. руб. за игру, члена бригады 11 тыс. руб. За сезон проходит около 40 матчей (890 тыс. руб.), не считая игр плей-офф. В НХЛ дело обстоит по-другому, судьи за рубежом получают 400 тыс. долл. за сезон (20 млн. руб.).

В теннисе судья на вышке получает куда меньше, чем в футболе и хоккее. На Кубке Кремля арбитр получает 2700 руб. в день. Но и отдача за такие деньги сопоставимая - сидеть на вышке и следить за игрой, в которой ошибки судьи сведены к минимуму.

В легкой атлетике за обслуживание ЧР судья получает не больше 1,5 тыс. руб. в день. Хотя здесь многое зависит от точного и профессионального судьи - попадание в сборную или рекорд страны/мира. Очень часто в роли судей выступают тренеры некоторых атлетов.

В художественной гимнастике на ЧР главный судья получает 450 руб. в день, а члены бригады 350-400 руб. На проживание судей в гостинице Росспорт выделяет каждому 550 руб. в день. За такие деньги трудно найти не только койку к хостеле, что уж говорить об отдельном номере. А как известно, в художественной гимнастике практически все судьи мастера спорта России, а то и международного класса (табл.5)

Таблица 3. Денежное вознаграждение за 1 соревновательный день/матч в руб.

 

Гл. судья

Линейный арбитр

Запасной судья

Футбол

90000

45000

8700

Хоккей

22000

11000

 -

Теннис

2700

 -

 -

Легк. атлетика

1500

 -

 -

Худ. гимнастика

450

350-400

 -

Лыжные гонки

200

200

200


Не смотря на такие гонорары в футболе или хоккее, нередки высказывания, что судья продал или засудил команду. Однако, еще с советских времен тренеры предпочитают договариваться между собой, а никак не с арбитром.

На основании анализа, проведенного выше можно сделать вывод, что коммерциализация спорта предполагает более тщательный анализ кандидатов при проведении соревнований, в частности судей. Для этого могут активно использоваться методы стратегического планирования, математического и оптимизационного анализа. Однако, коммерческий подход к проведению спортивных соревнований предполагает внедрение новых методов мотивации и оплаты труда тех же судей.

Глава 3. Разработка модели финансовой мотивации спортивных судей как компонент event-менеджмента


3.1 Управление эффективностью бизнеса: международный опыт. Возможность применения МВО в спорте


В последние годы в западной практике наибольшую популярность получила система управления эффективностью, направленная на определение целей и управления по этим целям (МВО).- система управления по целям, которая представляет собой систематический и организованный подход, позволяющий руководителям сконцентрироваться на выполнимых целях и достигать наилучших возможных результатов, используя доступные ресурсы. [23]

Система целевого управления ориентирована на увеличение производительности организации с помощью согласования стратегических и тактических целей внутри всей организации и включает в себя непрерывное слежение и обратную связь для контроля достижения поставленных целей.

При использовании MBO организаторы спортивных мероприятий концентрируются на результате, а не на действиях. В рамках системы главным является цель, а не точное следование инструкциям и этапам при ее достижении. Именно поэтому каждому сотруднику, участвующему в процессе дается достаточная свобода для выбора средств и методов получения поставленных результатов, оценка которых производится на промежуточных этапах, где и выполняется при необходимости их коррекция. Основным принципом целевого управления является убежденность в том, что каждый человек внутри спортивной организации имеет четкое понимание ее целей, а также ясно сознает собственную роль и ответственность в их достижении. Это определяет необходимость использования KPI в рамках системы целевого управления, так как показатели KPI определяя эффективность деятельности каждого этапа и работу участников организации соревнований на этих этапах, определяют эффективность МВО в целом.(Key Performance Indicators) - это показатель, поддающийся количественному измерению и считающийся наиболее важным для оценки эффективности деятельности спортивных соревнований, подразделения или судейства.

Путем изменения и подбора показателей KPI организаторы спортивных мероприятий и спонсоры получают возможность эффективно управлять изменяемыми параметрами. Лучше всего смысл измерения раскрыт в цитате неизвестно автора, блуждающей в интернете: "Если вы пытаетесь чем-то управлять, вы должны уметь это измерять; до тех пор, пока что-то не измеряется, на это что-то не обращают внимания". Система ключевых показателей дает возможность разработки и оценки спортивной ситуации в рамках еvent-менеджмента в стратегической перспективе.- это инструмент измерения поставленных целей. Если показатель, который разработали в организации не связан с целью, то есть не образуется исходя из ее содержания, тогда нельзя использовать данный термин. [2]

В современном представлении KPI и мотивация персонала стали неразрывными понятиями. Это объясняется тем, что с помощью показателей KPI удается создать самую совершенную и эффективную систему мотивации и стимулирования сотрудников коммерческой спортивной организации.

Стратегия организации спортивных соревнований определяет различные показатели KPI и их параметры, поэтому несмотря на общую разработку показателей, они отличаются в зависимости от специфики соревнований, их масштабов и других параметров.

В основном показатели KPI применяют для определения результативности и эффективности работы административно-управленческого персонала или организационной комиссии, судейского комитета. Это могут быть показатели увеличения численности болельщиков или их лояльности, а также показатели увеличения среднего дохода от проведения спортивных мероприятий. При этом, KPI не выступают факторами успеха, которые являются те инструменты, которые необходимо использовать для достижения поставленных целей и получения требуемых показателей KPI. Например, провести модернизацию спортивных объектов и заказать рекламное обеспечение спортивного события. [30]

Ключевые показатели можно, в частности, разделить на:

опережающие;

запаздывающие. [21]

Запаздывающие показатели отражают результаты деятельности по истечении периода.

В качестве примера опережающего показателя может выступить численность жалоб болельщиков и спортсменов, например на качество судейства, трансляции, технического сопровождения мероприятия и другие организационные параметры.

Применение показателей KPI прекрасно вписываются в концепцию event-менеджмента и позволят повысить зрелищность спортивных мероприятий и как следствие их экономическую эффективность.

При создании системы KPI очень важно, чтобы используемые показатели были понятны всем участникам, которые участвуют в этом процессе. То есть каждый участник мероприятия должен понимать, как работает данная система, и что конкретно ему необходимо выполнить, чтобы достичь нормативных показателей, установленных для данного спортивного мероприятия. [23]позволяет свести представления о том, как нужно функционировать, в частности организовать спортивное мероприятие в концепции event-менеджмента, к единому пониманию, придать целевую направленность деятельности сотрудников и подразделений. Общая для всех система показателей KPI позволяет ориентироваться в процессе и понимать друг друга всем участникам этого процесса. [2]

Базовая сокращенная структура проекта МВО включает следующие шаги:

1. Разработка методологии внедрения системы целевого управления (MBO). Определение корпоративных целей и их типов. Связь с системой сбалансированных показателей (Balanced Scorecard). Разработка пирамиды стратегического согласования.

. Определение Routine/SMART целей персонала и их связь с ключевыми показателями эффективности (KPI).

3. Структура целей ROUTINE (day-to-day job descriptions). Связь с должностными инструкциями.

. Принципы разработки и структура SMART - целей (improvement & innovations).

. Практические аспекты разработки ключевых показателей эффективности (KPI).

. Структурирование метрик KPI для определения ключевых показателей эффективности.

. Определение и структурирование KPI для конкретных должностных позиций организации.

. Планирование цикла внутренних тренингов по основам MBO для персонала спортивной организации. [30]

Система управления по целям (MBO), а также ключевые показатели эффективности деятельности (KPI) плотно взаимосвязаны с системой компенсаций MOTIVA и разработкой эффективной системы мотивации и вознаграждения сотрудников. В графическом виде модель взаимозависимости описанных консультационных продуктов представлена на рис.3.

Из сказанного выше следует, что ключевые показатели деятельности тесно взаимосвязаны с системой целевого управления, являясь ее структурным компонентом. Чтобы определиться, какие ключевые показатели деятельности следует использовать, менеджеру при организации соревнований необходимо:

выделить группы показателей и распределить ответственность менеджеров разных уровней управления за каждую из групп;

оставить максимально детальный список показателей, используемых менеджментом;

выбрать показатели, которые в наибольшей степени характеризуют достижение стратегических целей;

формализовать алгоритмы расчета каждого из ключевых показателей деятельности. [23]

Рисунок 3 - Модель взаимозависимости MBO и KPI

Ключевые показатели эффективности - система оценки, которая помогает организации определить достижение стратегических и тактических (операционных) целей. Их использование дает организации возможность оценить свое состояние и помочь в оценке реализации стратегии. KPI позволяет производить контроль деловой активности тех же судей и спортивных соревнований в целом в реальном времени. Для термина "key performance indicators (KPI)" на сегодняшний день используется русский перевод "ключевые показатели эффективности" [23].

Показатели KPI в рамках системы управления материального стимулирования при проведении спортивных мероприятий можно разделить на следующие типы (рис. 4):

Рисунок 4 - Типы показателей эффективности KPI

На индивидуальном уровне финансовые и другие количественные показатели дополняются качественными, отражающими выполнение судьей своих основных должностных обязанностей при проведении спортивных мероприятий.

В соответствии с целями стимулирования можно использовать различные показатели эффективности: индивидуальные (Личные) и коллективные, количественные и качественные.

Для построения зависимости между эффективностью KPI и вознаграждением необходимо определиться, какая часть плановой (номинальной) зарплаты судьи, т.е. гонорара, должна быть связана с результативностью. [2]

Для этого величину гонорара необходимо:

.        Разделить на постоянную и переменную части.

2.      Переменную часть завязать на коллективные и / или (в определённой пропорции) индивидуальные результаты.

.        Индивидуальными результатами могут быть как количественные, так и качественные показатели.

.        Чтобы система показателей оценки деятельности стала эффективной, необходимо [2]:

чтобы вознаграждение судье, рассчитанное согласно эффективности его деятельности и вложения в общую долю показателей организации, было существенным для него;

установить пороговые значения роста вознаграждения с целью большей мотивации судей на достижение значимых результатов деятельности, а не простого участия в процессе;

усилить влияние групповых показателей на итоговую оценку деятельности судьи в конце игрового сезона;

дать возможность судье самостоятельно влиять на эффективность своей работы и проявлять инициативу, а размер вознаграждения определить в зависимости от уровня этой инициативы и эффективности каждого показателя KPI.

При очевидных выгодах система мотивации на базе KPI имеет и определенные недостатки.

.        Отсутствие универсальности. Систему KPI хорошо применять там, где есть стандартизированные процессы. К тому же, если KPI привязан к прибыли компании, то не совсем понятно, как оценивать работу подразделений, которые не влияют напрямую на этот показатель.

2.      Дополнительные временные затраты. Постоянное поддержание обратной связи на всех уровнях организации предполагает дополнительное время, которое может быть отнято у судей в ущерб основным должностным обязанностям.

.        Неверно сформулированные показатели. Если систему KPI разрабатывает человек, имеющий весьма смутное представление об отдельных процессах в организации спортивных соревнований, то ключевые показатели могут быть прописаны неверно. Что ставит под сомнение целесообразность применения данной системы в спорте.

.        Зависимость материального поощрения конкретного специалиста от работы его коллег. Индивидуальные показатели отдельного сотрудника привязаны к KPI подразделения. Таким образом, отлично сработавший специалист может не получить желанного поощрения из-за менее ответственных и работоспособных коллег. [21]

Таким образом, на основе изложенного можно сделать вывод, что современные подходы к определению и повышению эффективности проведения зрелищных спортивных мероприятий с учетом event-менеджмента предполагают организацию комплексной системы, включающей все уровни организации бизнеса и его составляющие.

3.2 Разработка мероприятий по совершенствованию системы мотивации судей при помощи финансовых показателей


Поскольку в соответствии с теорией event-менеджмента организация спортивных соревнований направлена на повышение зрелищности спортивных мероприятий и как следствие увеличения прибыли от их проведения, то в рамках дипломной работы попробуем адаптировать систему экономической оценки эффективности бизнеса к спортивным мероприятиям. И на основе экономической добавленной стоимости разработать систему денежной мотивации судей.

Ведущими западными консалтинговыми фирмами разработано несколько альтернативных моделей оценки эффективности бизнеса, которые, по мнению многих специалистов, адекватней измеряют результаты деятельности компаний, чем традиционные бухгалтерские модели, основанные на показателях прибыли или рентабельности капитала. К наиболее известным из них можно отнести следующие:

модель экономической добавленной стоимости (economic value added - EVA), разработчик - консалтинговая компания "Stern Stewart & Co. ";

модель денежной добавленной стоимости (cash value added - CVA), разработчик - консалтинговая компания "Anelda AB";

модель денежной рентабельности вложенного капитала (cash-flow return on investment - CFROI), разработчики - консалтинговые компании "HOLT Value Associates" и "Boston Consulting Group". [2]

Рассмотрим основные положения модели экономической добавленной стоимости (EVA).

Экономическая добавленная стоимость рассчитывается на основе показателя бухгалтерской прибыли по формуле 4:

EVA=NOPAT-WACC*IC (4)

где NOPAT (net operating profit after taxes) - чистая (операционная) прибыль за вычетом налогов;

WACC - средневзвешенные затраты на привлечение капитала (спонсорские вложения или инвестиции);

IC (invested capital) - вложенный капитал (спонсорские вложения или инвестиции).

Принимая во внимание, что рентабельность вложенного капитала (ROI) определяется как

ROI=NOPAT/IC (5)

формула 4 может быть записана в следующем виде:

EVA= (ROI-WACC) *IC (6)

Как следует из формулы 6, если рентабельность использования совокупных средств инвесторов (RОI) превышает средневзвешенные затраты на привлечение капитала (WACC), организаторы соревнований создают добавленную стоимость для своих инвесторов. [2]

Оценка эффективности организации спортивных мероприятий на основе расчета EVA способствует осознанию менеджерами своей ответственности не только за размер полученных доходов, но и за альтернативные издержки капитала, используемого для генерирования этих доходов, т.е. инвестиции и спонсорскую помощь.

Использование модели EVA в качестве инструмента оценки эффективности организации спортивных мероприятий и базы для формирования управленческих бонус-планов помогает добиться более четкого понимания менеджерами ключевых факторов, за счет которых формируется прибыль от организации спортивных мероприятий.

Таким образом, использование показателя EVA в процессах планирования, контроля и анализа результатов спортивных мероприятий позволяет концентрировать внимание менеджеров на всем спектре решений операционного, финансового и инвестиционного характера, помогая им лучше понять, какие действия приводят к созданию прибыли, а какие - ее уничтожают. [23]

В качестве мероприятий по усовершенствованию системы стимулирования судей предлагается в дополнение к существующим ключевым показателям эффективности показатель, основанный на критерии EVA.

Последним шагом развития EVA бонус-плана стало появление "XY - плана", в котором размер вознаграждения менеджера определялся следующим образом:

Бонус = x (%) x EVA + у (%) x ∆EVA (7)

где x, y - коэффициенты чувствительности ∆EVA - изменение EVA по итогам предыдущего судейства

Таким образом, данная формула отражает "рост" профессионализма судьи, т.к. учитывает финансовые значения предыдущих периодов. Судья заинтересован в том, чтобы прибыль от проведения спортивных мероприятий как минимум не падала. Он будет повышать свой профессионализм с целью улучшения не только качества судейства, но и повышения зрелищности соревнования. Таким образом, судья будет вносить свой вклад в увеличение прибыли от спортивных соревнований.

В рамках настоящей работы разрабатывается модель стимулирования, в которой основным элементом является целевое (ожидаемое) изменение EVA, устанавливаемое на предстоящий период, в зависимости от величины которого и фактически полученных результатов определяются размеры вознаграждений судей. [21]

Базовая формула предлагаемой модели стимулирования судей выглядит следующим образом:

Бонус = целевой бонус + у х (∆EVA факт - ∆EVA цел) (8)

где: целевой бонус - вознаграждение за достижение ожидаемого инвесторами уровня EVA;

∆EVAфакт - фактическое изменение EVA за оцениваемый период;

∆ЕУАцел - целевое (ожидаемое инвесторами) изменение EVA за оцениваемый период;

у - фиксированная доля отклонения фактического уровня EVA от целевого уровня, предназначенная для стимулирования судей.

Основная идея предлагаемой модели состоит в следующем. Судьи получают плановое вознаграждение (целевые бонусы) в случае, если в оцениваемом периоде организаторы соревнований добиваются уровня EVA. Другими словами, судьи имеют право на целевой бонус, если они оправдывают ожидания инвесторов относительно уровня эффективности проведенных соревнований. Если достигнутый в оцениваемом периоде уровень EVA превышает ожидаемый, часть дополнительных доходов в заранее определенной пропорции идет на выплату более высоких вознаграждений судьям и организаторам соревнований, причем размеры повышенных бонусов не ограничиваются. В обратном случае, если организаторы соревнований в оцениваемом периоде не обеспечили уровень эффективности, требуемый инвесторами, организаторы соревнований разделяют ответственность с инвесторами, принимая на себя часть их потерь. Бонусы организаторов соревнований и судейского комитета опускаются ниже целевого уровня. Таким образом, обеспечивается более четкая связь модели выплаты вознаграждений организаторов соревнований с изменением благосостояния инвесторов и удовлетворенности зрителей.

Как следует из формулы 8, EVA бонус-план имеет 3 ключевых параметра:

. Целевой бонус. Устанавливается на уровне вознаграждения судей аналогичных соревнований.

. Целевое (ожидаемое) изменение EVA. Устанавливается на уровне, обеспечивающем инвесторам доходность от вложенного капитала, на уровне альтернативных издержек его использования в инвестиционных проектах с аналогичным уровнем риска.

. Интервал EVA. Используется для определения величины снижения EVA с целевого уровня до уровня, при котором совокупный доход инвесторов становится равным нулю, и, следовательно, приводит к нулю бонусы организаторов соревнований. [30]

По нашему мнению, использование предложенной модели стимулирования на основе критерия EVA в качестве инструмента мотивации судейского комитета и организаторов зрелищных спортивных мероприятий позволяет усилить их заинтересованность в эффективном выполнении своей основной задачи - повышение удовлетворенности зрителей и увеличение прибыли от проведения соревнований. При этом данная модель обладает достаточной гибкостью, позволяя модифицировать схему выплат с учетом специфики достижения баланса, определяемой условиями конкретных соревнований, между задачами обеспечения достаточного стимулирующего эффекта, лимитирования уровня риска для организаторов и ограничения издержек для инвесторов и спонсоров спортивных мероприятий.

3.3 Экономическая оценка эффективности от реализации мероприятий по повышению эффективности системы стимулирования судей с помощью финансовых инструментов


Рассмотрим две системы стимулирования судейской коллегии и организаторов соревнований, основанных на ключевых компетенциях и проведем их сравнительный анализ. Для начала представим более простую систему стимулирования судейского комитета, основанную на четырех показателях ключевых компетенций.

Таблица 4

Показатели системы мотивации

Ключевой показатель эффективности

Ед. изм.

Формула расчета

Соблюдение установленных бюджетом соревнования объемов размещения средств

%

Средний фактический объем размещения / Средний плановый объем размещения

Уровень удовлетворенности зрителей организацией соревнований

балл

Экспертная оценка

Показатель "ошибочного судейства"

%

Экспертная оценка


На основании данных об итоговой результативности рассчитывается процент премии.

Таблица 5

Формула для расчета премии по результатам итоговой результативности

Итоговая результативность

Размер премии

Меньше или равна 40 баллам

0

Больше 40 баллов и меньше 130 баллов

Больше или равна 130 баллам

Базовый размер премии  1,5


Базовый размер премии для линейных судей составляет 15000 руб., для главного судьи - 25000 руб.

Таблица 6

Расчет премии по результатам итоговой результативности

Период

Размер премии


Линейные судьи

Главный судья

1-й квартал

18750

31250

2-й квартал

18000

30000

3-й квартал

14250

23750

4-й квартал

18750

31250

Итого за год

69750

116250


Рассмотрим эффективность предлагаемой нами новой системы мотивации, основанной на применении показателя EVA.

Произведем расчет премиальных выплат на основе EVA, по формулам, приведённым выше (Таблица 7). При этом весовые коэффициенты являются подборными значениями, а показатель EVA взят как среднестатистический по данным футбольных матчей за соответствующий год.

Таблица 7

Расчет премиальных выплат на основе EVA

Период

EVA, млн. руб.

Размер премии, руб.



Линейные судьи

Главный судья

2009 год

12,568

46502

51529

2010год

12,574

46524

51553

2011 год

12,895

47712

52870

2012 год

8,745

32357

35855

2013 год

9,112

33714

37359

2014 год

10,256

37947

42050


Итак, из расчета видно, что размер премиальных выплат на основе показателя EVA несколько ниже показателей премиальных выплат на основе существующей системы, а также повторяет динамику экономической добавленной стоимости (рис. 5).

Таким образом, судейский комитет напрямую будет заинтересован в улучшении зрелищности спортивных мероприятий и повышении их эффективности.

Тем не менее, внедрение только данной системы премирования по мнению автора сопряжено с некоторыми трудностями. Значительное падение размера премиальных выплат может вызвать текучесть кадров в судействе.

Рис. 5 Показатели выплаты премии главного судьи по результатам EVA

Необходимо внедрить комплексный показатель, учитывающий как существующую систему премирования, так и предлагаемую.

Наиболее эффективной будет система из пяти показателей, которые представлены в таблице 8.

Таблица 8

Показатели традиционной системы мотивации

Ключевой показатель эффективности

Ед. изм.

Формула расчета

Соблюдение установленных бюджетом соревнования объемов размещения средств

%

Средний фактический объем размещения Средний плановый объем размещения

Уровень удовлетворенности зрителей организацией соревнований

балл

Экспертная оценка

Показатель "ошибочного судейства"

%

Экспертная оценка

Значение экономической добавленной стоимости

%

Размер бонусной части, рассчитанной по системе EVA * весовой коэффициент (=0,5)


Как видно из рис. 5 размер средней годовой премии является некоторым показателем, характеризующим среднее значение между более простым показателем и размером премии на основе EVA. При разработке новой системы мотивации мы определили весовой коэффициент для показателя EVA таким образом, чтобы в 2005 - 2007 годах значение премиальных выплат по новой системе совпадало со значением премиальных выплат по традиционной системе. Метом подбора был выбран весовой коэффициент = 0,5.

Рис. 6 Показатели выплаты премии судейскому комитету по результатам проектных мероприятий

Как видно из рис. 6 размер средней годовой премии является некоторым показателем, характеризующим среднее значение между традиционным показателем и размером премии на основе EVA.

Как видно из приведенного анализа, размер экономической добавленной стоимости при традиционной системе премирования только на 8,7% определяется размером премиальных выплат, а в случае новой системы премирования - уже на 35,6%. Таким образом, разработанную систему премирования можно считать более эффективной по сравнению с традиционной.

Внедрение новой системы мотивации позволит улучшить качество проведения спортивных мероприятий, повысить зрелищность, посещаемость, а соответственно прибыль от проведения спортивного мероприятия.

Выводы в соответствии с поставленными задачами

Организация и проведение спортивных мероприятий как основного результата деятельности спортивных менеджеров - сложный процесс, состоящий из ряда взаимосвязанных этапов, результатом выполнения которых является успешное проведение запланированного спортивного мероприятия. Управление даже самым скромным по масштабу мероприятием требует значительных усилий и затрат, как интеллектуальных, так и материальных. А для эффективной подготовки нужно четко представлять себе конечные цели, задачи и желаемый общественный резонанс - для этих целей существует и активно развивается спортивный event-менеджмент.

В первой главе работы нами была произведена оценка теоретических основ event - менеджмента при организации спортивных мероприятий. По итогам оценки можно заключить, что event-менеджмент как часть общего менеджмента накладывает на спортивные мероприятия новые требования исходя из реалий коммерческого рынка. Это придает спортивным соревнованиям сходство с деятельностью коммерческих организаций.

Коммерциализация спорта предполагает внедрение стратегического планирования и методов оценки эффективности деятельности, применяемых в коммерческих структурах. И, как следствие накладывает определенные условия на отбор персонала при проведении соревнований и оплаты труда специалистам в области спорта.

Во второй главе нами были рассмотрены практические аспекты организации судейства на примере футбольных матчей и разработана модель стратегии подбора судей на примере футбольных арбитров, проведен анализ проблем материальной мотивации спортивного судейства. По данным второй главы можно сделать выводы, что модель отбора судей предполагает четыре стадии: подбор кандидатур на должность судьи при проведении матча; сбор информации о представленных кандидатурах; анализ представленной информации и выбор конкретного судьи; стратегический мониторинг и контроль.

Рассматривая разные соревнования и их экономическую эффективность, мы получим массив данных, например, прибыли от проведения матчей. Недостатком данной модели можно считать, что она учитывает мнения болельщиков и частично спортсменов, а также отчасти профессиональные качества судьи. Однако, в ней трудно отобразить существующую в спорте на данный момент проблему несбалансированных и зачастую несправедливых гонораров.

Коммерциализация спорта предполагает более тщательный анализ кандидатов при проведении соревнований, в частности судей. Для этого могут активно использоваться методы стратегического планирования, математического и оптимизационного анализа. Однако, коммерческий подход к проведению спортивных соревнований предполагает внедрение новых методов мотивации и оплаты труда тех же судей.

В третьей главе работы автором были исследованы международный опыт управления эффективностью бизнеса и возможность его адаптации к спортивным мероприятиям, разработана мероприятия по совершенствованию системы мотивации судей при помощи финансовых показателей, а также проведена экономическая оценка эффективности от реализации мероприятий по повышению эффективности системы стимулирования судей с помощью финансовых инструментов.

На основе изложенного в главе можно сделать вывод, что современные подходы к определению и повышению эффективности проведения зрелищных спортивных мероприятий с учетом event-менеджмента предполагают организацию комплексной системы, включающей все уровни организации бизнеса и его составляющие.

Использование предложенной нами модели стимулирования на основе критерия EVA в качестве инструмента мотивации судейского комитета и организаторов зрелищных спортивных мероприятий позволяет усилить их заинтересованность в эффективном выполнении своей основной задачи - повышение удовлетворенности зрителей и увеличение прибыли от проведения соревнований.

Внедрение новой системы мотивации позволит улучшить качество проведения спортивных мероприятий и повысить прибыль от их проведения.

Список использованной литературы


1.      Акинин, П.В. Физическая культура и спорт в системе высшего профессионального образования: сборник научных трудов по материалам Всероссийской Научно-практической конференции 21-22 апреля 2005 г. / П.В. Акинин. - Ставрополь, 2005. - 112 с.

2.      Акулов В.Б., Рудаков М.Н. Теория организации: Учебное пособие. - М.: ИНФРА-М, 2012. - 71с.

.        Банников, А.М. Управление системой физической культурой и спортом в субъекте Российской Федерации в современных социально - экономических условиях (на примере Краснодарского края): дисс. канд. пед. наук: 13.00.02: защищена 29.01.02: утв.03.07.02/Банников Александр Максимович. - Майкоп, 2002. - 118 с.

.        Вихров К.Л. Подготовка футбольного арбитра. - Киев: Здоровье, 2012. - 200 с.

.        Галкин, В.В. Экономика и управление физической культурой и спортом: учебное пособие для вузов / В.В. Галкин. - Ростов н/Д: Феникс, 2006. - 448 с.

.        Гостев, Р.Г., Гуськов, С.И. Физическая культура в России: состояние и перспективы / Р.Г. Гостев, С.И. Гуськов // Физическая культура и спорт в Российской Федерации: сб. статей ВНИИФК. - М.: Импульс-Принт, 2000, - Вып.1. - С.101-106.

.        Гусев, А.Г. Развитие физической культуры и спорта в системе местного самоуправления / А.Г. Гусев. - СПб., 2012. - 214 с.

.        Гусов К.Н., Шевченко О.А. Спортивное право 2-е изд. М., 2011. - 215с

.        Друзь, В.А. Спортивная тренировка и соревнования / В.А. Друзь. - СПб.: Питер, 2004. - 118 с.

.        Жолдак, В.И. Системный подход в организации управления физкультурно-спортивного движения // Физическая культура и спорт в Российской федерации. Сб. статей ВНИИФК. Вып.1. - М.: Импульс-Принт, 2000. - 430с.

.        Золотов, М.И. Менеджмент и экономика физической культуры и спорта: учебное пособие / М.И. Золотов, В.В. Кузин, М.Е. Кутепов, С.Г. Сейранов. - М.: Академия, 2001. - 426 с.

.        Золотов М.И., В.В. Кузин, М.Е. Кутепов, С.Г. Сейранов/Настольная книга спортивного менеджера: справочное. - М.: Физкультура, образование и наука, 1997. - 518 с.

.        Зуев В.Н. Спортивный арбитр: Учебное пособие для вузов. - М.: Советский спорт, 2013. - 394с.

.        Камалетдинов, В.Г. Физкультурно-спортивное движение: управление и пути совершенствования / В.Г. Камалетдинов // Теория и практика физической культуры. - 2009. - № 4. - С. 19-21.

.        Кузнецов, А.К. Физическая культура / А.К. Кузнецов. - СПб.: Нева, 2004. - 324 с.

.        Литвиненко, С.Н. Новые формы массовых соревнований: Матер. VII Междунар. науч. конгресса "Современный олимпийский спорт и спорт для всех". - М.: СпортАкадемПресс, 2003. - С.31-33.

.        Марков Ю.А. Судейство в баскетболе. - М.: ФиС, 2014. - 128с.

.        Нормативное правовое обеспечение сферы ФК и С в РФ: реализации стратегии развития отрасли. - 2012. - 250с.

.        Переверзин, И.И. Менеджмент спортивной организации: учебное пособие / И.И. Переверзин. - 3-е изд., перераб. и доп. - М.: Физическая культура и спорт, 2006. - 464 с.

.        Попов Г.И. Научно-методич. деят-ть в спорте. Уч. для студентов высш. образован. - М., 2015. - 415 с.

.        Пресняков В.В., Губа В.П. Методы математической обработки спортивно-педагогич. исследований: Уч-метод. Пособие. - Грич УМО МО РФ, 2013. - 240 с.

.        Регламент Российского теннисного тура - 2007/В. Лазарев, В. Солнцев, А. Максимов, Ш. Тарпищев. - М.: Матчбол теннис, 2011. - 111 с.

.        Рогожин С.В., Рогожина Т.В. Теория организации: Учебное пособие. - М.: "Экзамен", 2006. - С. 207

.        Серова Л.К. Проф. Отбор в спорте. Уч. пособие для студентов высш уч. заведен. физич. культуры. - М., 2011. - 251 с.

.        Степанова, О.Н. Маркетинг в сфере физической культуры и спорта. - М.: Советский спорт, 2010. - 256 с.

.        Степанова О.Н. Маркетология спорта: инструментарий социолога: учебное пособие / О.Н. Степанова. - М.: Советский спорт, 2003. - 72 с.

.        Студенческая наука - физической культуры и спорта. Тезисы докладов итоговой научной конференции студентов и аспирантов СПбГАФК им. П.Ф. Лесгафта "Человек в мире спорта" (Санкт-Петербург, 18 апреля-29 апреля 2005 г.). - СПб.: СПбГАФК, 2013. - 116 с.

.        Теория и методика физического воспитания / под ред. Б.А. Ашмарина, М.Я. Вилевскиого, К.Х. Грантыниного. - М.: ЮНИТИ, 2004. - 288 с.

.        Тукманов, А.В. Организационные и маркетинговые предпосылки эффективного проведения соревнований (на примере футбола) / А.В. Тукманов. - Москва, 2002. - 98 с.

.        http://lama.org.ua/solutions/solution1/p2/2