Материал: Субъекты и объекты организационной деятельности

Внимание! Если размещение файла нарушает Ваши авторские права, то обязательно сообщите нам

Субъекты и объекты организационной деятельности

НОУ ВПО Институт международной торговли и права негосударственное образовательное учреждение

Профиль «Менеджмент»

Направление «Международный менеджмент»







КУРСОВАЯ РАБОТА

по учебной дисциплине: «Менеджмент»

по теме: «Субъекты и объекты организационной деятельности»


Выполнил: студент 1 курса группы 1-М

Балашова К.А.

Проверил: кандидат экономических наук

Профессор кафедры «Менеджмент»

Скрынченко Б.Л.



Москва

Содержание

организационный должностной управление

Введение

Глава 1. Организационные отношения в системе менеджмента

.1 Понятие субъектов и объектов организационной деятельности

.2 Типы организационных структур управления

.3 Сравнение структур управления

Глава 2. Структура и компетенция участников организационной деятельности

.1 Положения о подразделении управления и должностные инструкции

.2 Совет директоров как орган управления акционерной компании

Глава 3. Практика управления зарубежной фирмой посредством взаимодействия субъектов и объектов организационной деятельности

Заключение

Список использованной литературы


Введение

В данной работе будут рассмотрены субъекты и объекты организационной деятельности.

Объект организационной деятельности в рамках порученных функций выполняет процедуры «подготовка решения» и «согласование решения» или все операции, относящиеся к этим процедурам. К операциям процедур относятся: получить задание или его сформулировать, провести информационную работу, провести совещание, сдать выполненную работу заказчику или использовать ее в своей организации и т.д.

Субъекты организационной деятельности выполняют действия из набора функций, подфункций, процедур и операций. Например, «принятие решения об активизации организационной деятельности работников ДЭЗов по созданию кондоминиумов». Принятие решения - это процедура, активизация организационной деятельности - это подфункция, создание - это общая функция «организация», кондоминиумы - это продукция по конкретной функции «управление производством».

Цель данной работы всестороннее изучение субъектов и объектов организационной деятельности.

При написании работы был поставлен ряд задач:

Рассмотреть организационные отношения в системе менеджмента

Проанализировать структуру и компетенцию участников организационной деятельности

Рассмотреть практику управления зарубежной фирмой посредством взаимодействия субъектов и объектов организационной деятельности

Предметом исследования в работе выступают субъекты и объекты организационной деятельности, объектом исследования являются организационные отношения.

При написании работы использовались следующие методы исследования: анализ, систематизация, обобщения и др.

Глава 1. Организационные отношения в системе менеджмента

.1 Понятие субъектов и объектов организационной деятельности

Организационная деятельность - это создание или усовершенствование механизма управления в соответствии с целями и задачами организационных систем. Организационная деятельность аналогична общей функции управления «организация». Данная функция может выполняться объектами и субъектами организационной деятельности.

В теории управления объекты и субъекты управления определяются по их отношениям к управленческим воздействиям. Субъект - это источник управленческого воздействия, а объект - приемник и исполнитель всего или части управленческого воздействия, представленного в виде набора функций или задач. Аналогично и в теории организации. Субъект организационной деятельности является источником воздействия на подчиненных по функциям организационной деятельности. Как известно, функция «организация» относится к общим функциям управления. Она входит в состав всех конкретных функций управления. Кроме того, при большой трудоемкости эта функция может быть разделена на ряд подфункций.1

Об организации функциональной подготовки, можно сказать, что субъект организационной деятельности выполняет в рамках требуемых функций процедуры: «принимает решение», «утверждает», «организует выполнение». Объект организационной деятельности в рамках порученных функций выполняет процедуры «подготовка решения» и «согласование решения» или все операции, относящиеся к этим процедурам. К операциям процедур относятся: получить задание или его сформулировать, провести информационную работу, провести совещание, сдать выполненную работу заказчику или использовать ее в своей организации и т.д.

Организация - пространственно-временная структура производственных факторов и их взаимодействие с целью получения максимальных качественных и количественных результатов в самое короткое время и при минимальных затратах факторов производства.

Организация обладает следующими общими признаками:

Определение ее характера кадрами и менеджером

Объединение процессов, которые без этого взаимодействуют нецеленаправленно или неэффективно

Сохранение, как предварительно запланированного порядка процесса, так и оперативного, зависящего от ситуации реагирование работника и менеджера. Незапланированные действия предполагают установление ответственности в менеджменте

Определенная, зависящая от процесса гибкость, что обеспечивает функционирование системы в изменяющихся условиях

Единство рабочих процессов и процессов управление, как результата разумного разделения труда

Организация - единство состояния и процесса, так как она обеспечивает стабильные организационные решения, но является сама лишь относительно стабильной вследствие постоянного развития внешней и внутренней сред фирмы.

Структура управления обеспечивает выполнение общих и конкретных функций управления, сохраняет целесообразные вертикальные и горизонтальные связи и разделение элементов управления.

Вертикальное разделение определяется числом уровней управления, а также их подчиненностью и директивными отношениями. Горизонтальное разделение осуществляется по отраслевым признакам. Оно может быть ориентировано:

на подпроцессы промышленного производства

изготавливаемые изделия

пространственные производственные условия

Организационная структура регулирует:

разделение задач по отделениям и подразделениям

их компетентность в решении определенных проблем

общее взаимодействие этих элементов

Тем самым фирма создается как иерархическая структура.

Основные законы рациональной организации:

упорядочение задач в соответствии с важнейшими точками процесса

приведение управленческих задач в соответствии с принципами компетентности и ответственности (согласование компетентности и ответственности, согласование "поля решения" и доступной информации, способность компетентных функциональных единиц принять к решению новые задачи)

обязательное распределение ответственности

короткие пути управления

баланс стабильности и гибкости

способность к целеориентированной самоорганизации и активности

желательность стабильности циклически повторяемых действий

На организационную структуру влияют следующие факторы:

размеры предприятия

применяемая технология

окружающая среда

.2 Типы организационных структур управления

Организационная структура аппарата управления - форма разделения труда по управлению производством. Каждое подразделение и должность создаются для выполнения определенного набора функций управления или работ. Для выполнения функций подразделения их

должностные лица наделяются определенными правами на распоряжения ресурсами и несут ответственность за выполнение закрепленных за ним функций.

Схема организационной структуры управления отражает статическое положение подразделений и должностей и характер связи между ними.

Различают связи:

линейные (административное подчинение)

функциональные (по сфере деятельности без прямого административного подчинения)

межфункциональные, или кооперационные (между подразделениями одного и того же уровня)

В зависимости от характера связей выделяются несколько основных типов организационных структур управления:

линейная

функциональная

линейно-функциональная

матричная

дивизиональная

множественная

В линейной структуре управления каждый руководитель обеспечивает руководство нижестоящими подразделениями по всем видам деятельности. Достоинство - простота, экономичность, предельное единоначалие. Основной недостаток - высокие требования к квалификации руководителей. Сейчас практически не используется.

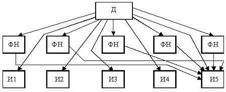
Функциональная организационная структура реализует тесную связь административного управления с осуществлением функционального управления (рис.1).


Рис. 1. Функциональная структура управления. Д - директор; ФН - функциональные начальники; И - исполнители

На рис. 1 административные связи функциональных начальников с исполнителями (И1 - И4) такие же, как и для исполнителя И5 (они не показаны в целях обеспечения ясности рисунка).

В этой структуре нарушен принцип единоначалия и затруднена кооперация. Практически она не используется.

Линейно-функциональная структура - ступенчатая иерархическая. При ней линейные руководители являются единоначальниками, а им оказывают помощь функциональные органы. Линейные руководители низших ступеней административно не подчинены функциональным руководителям высших ступеней управления. Она применялась наиболее широко (рис. 2).

Рис. 2. Линейно-функциональная структура управления. Д - директор; ФН - функциональные начальники; ФП - функциональные подразделения; ОП - подразделения основного производства.

Иногда такую систему называют штабной, так как функциональные руководители соответствующего уровня составляют штаб линейного руководителя.

Дивизиональная (филиальная структура) изображена на рис.3. Дивизионы (филиалы) выделяются или по области деятельности или географически.

Рис. 3. Дивизиональная структура управления

Матричная структура (рис. 4, 5) характерна тем, что исполнитель может иметь двух и более руководителей (один - линейный, другой - руководитель программы или направления). Такая схема давно применялась в управлении НИОКР, а сейчас широко применяется в фирмах, ведущих работу по многим направлениям. Она все более вытесняет из применения линейно-функциональную.

Рис. 4. Матричная структура управления, ориентированная на продукт

Рис. 5. Матричная структура управления по проектам

Множественная структура объединяет различные структуры на разных ступенях управления. Например, филиальная структура управления может применяться для всей фирмы, а в филиалах - линейно-функциональная или матричная.

.3 Сравнение структур управления

Анализ достоинств и недостатков структур управления позволяет найти критерии их оптимального использования.

Линейно-функциональная система обеспечивает, начиная со второго уровня иерархии, деление задачи управления "по функциям". Штабы могут создаваться в центральных и других органах управления, образовывая штабную иерархию.

Эта структура управления характеризуется:

высокой централизацией стратегических решений и децентрализацией оперативных,

организацией директивных связей по однолинейному принципу,

преобладающим применением инструментов координации с технической поддержкой.

По идее штабы должны давать консультации и участвовать в подготовке решений, но не давать конкретных директив. Однако вследствие своей профессиональной компетентности их сотрудники часто оказывают сильное неформальное влияние на линейных руководителей. Если же они выполняют только рекомендательную функцию, то возникает риск, что их работа слабо влияет на ход производственных процессов.

Структура имеет следующие преимущества:

обеспечивает высокую профессиональную специализацию сотрудников,

позволяет точно определить места принятия решений и необходимые ресурсы (кадровые),

способствует стандартизации, формализации и программированию процессов управления.

Недостатки:

образование специфических для функциональных подразделений целей затрудняет горизонтальное согласование,

структура жестка и с трудом реагирует на изменения.

Дивизиональные структуры управления ориентируются на изделия, рынки сбыта, регионы.

При этом обеспечивается:

относительно большая самостоятельность руководителей дивизионов,

организация директивных связей по линейному принципу,

относительно мощное использование инструмента координации с технической поддержкой,

быстрая реакция на изменения рынка,

освобождение высших руководителей фирмы от оперативных и рутинных решений,

снижение конфликтных ситуаций вследствие гомогенности целей в дивизионе.

К числу недостатков этой структуры относят:

относительно высокие затраты на координацию ввиду децентрализации вплоть до отдельного финансирования из бюджета и системы расчетных цен,

при децентрализации теряются преимущества кооперации, что часто требует централизации выполнения отдельных функций (НИОКР, снабжение и т.д.).4

Многомерные формы организации и управления характеризуются применением двух (матричная) или нескольких (тензорная) критериев разделения задач.

Общими признаками этой организационной формы являются:

лимитированное пространство принятия решений инстанциями менеджмента,

организация директивных связей по многолинейному принципу,

большие затраты на координацию между инстанциями.

Можно различить структуры, ориентированные на производство и на проект. Структура, направленная на производство, не ограничена временными рамками. Здесь имеется функциональная область менеджмента (где находятся многие стабильные организационные решения) и менеджмент по изделию (горизонтальный срез, охватывающий все предприятия).

Проблемы такой организации состоят:

в регулировании задач, компетентности и ответственности менеджеров по изделиям,

в больших затратах на координацию,

в возможных директивных конфликтах.

Структуры, направленные на проект, как правило, ограничены по срокам и характерны для сложных и рисковых проектов (рис. 19).

Их проблемы состоят:

в конфликтах между инстанциями и менеджерами проектов (противоречивые указания, ресурсные конфликты),