Материал: Статистико-экономический анализ эффективности производства подсолнечника на примере районов Воронежской области

Внимание! Если размещение файла нарушает Ваши авторские права, то обязательно сообщите нам

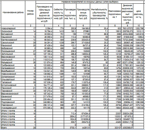
Построим ранжированный ряд распределения хозяйств по произведено на 100га пашни денежной выручки за семена подсолнечника.

;14;3;13;12;28;25;2;27;32;7;31;26;9;10;8;16;19;18;29;5;21;30;6;11;1;

;20;15

Определим число групп, на которые необходимо исходные данные.

n = 1+3.322 lg N, где N - число наблюдений,

Определим равный интервал (i)./18,448 с/

;

Распишем границы группы и подсчитаем число хозяйств, которые войдут в каждую группу, т.е. строим интервальный ряд распределения и представим его в виде таблицы

Таблица 3.1 Интервальный ряд распределения предприятий Воронежской области по урожайности подсолнечника


Определим среднее значение изучаемого признака (средняя урожайность подсолнечника) по средней взвешенной:


Определим показатели вариации:

·   Определим взвешенную дисперсию.

.

ц.

·   Определим среднее квадратическое отклонение взвешенное.

ц.

·   Определим коэффициент вариации:



Рассчитанный коэффициент вариации превышает 63%, что свидетельствует о значительных колебаниях в произведено на 100 га пашни денежной выручки за реализованный подсолнечник, то есть размах вариации значителен.

Поэтому построенный интервальный ряд не может быть рекомендован к практическому применению и требуется построить новый интервальный ряд с использованием правила трех сигм. Данное правило в лучшей степени учитывает вариацию группировочного признака и дает более равномерное распределение единиц совокупности по группам.

Таблица 3.2 Интервальный ряд распределения районов Воронежской области по урожайности подсолнечника с использованием правила 3

На основе полученных групп определяются сводные или обобщающие показатели, по каждой группе и совокупности в целом и представляется в виде таблицы.


Таблица 3.3 Свободные показатели по группам районов по произведено на 100 га пашни денежной выручки за реализованный подсолнечник


На основе данных таблицы 3.3 рассчитываются средние или аналитические показатели и представляются в виде таблицы 3.4.

Таблица 3.4 Группировка хозяйств Воронежской области по урожайности подсолнечника




Была проведена аналитическая группировка, которая не показала определенную зависимость между произведено на 100га денежной выручки за реализованный подсолнечник и ценой реализации 1ц изучаемой культуры.

Но аналитическая группировка показала зависимость окупаемости от произведено на 100 га пашни денежной выручки за подсолнечник и себестоимостью 1ц подсолнечника, оказалось, что уровень окупаемости прямо пропорционально зависит от произведено на 100 га пашни денежной выручки и обратно пропорционально зависит от себестоимости 1ц подсолнечника. Чем выше произведено на 100 га пашни денежной выручки за подсолнечник и меньше себестоимость 1ц, тем выше уровень окупаемости.

3.3 Сущность дисперсионного анализа. Оценка существенности влияния изучаемого фактора на уровень окупаемости производства подсолнечника

Каждая статистическая совокупность состоит из множества варьирующих единиц. Вариация, т. е. различия между значениями единиц совокупности, складывается под влиянием бесконечного количества причин, факторов. Но степень влияния отдельных факторов на изменение величины того или иного признака неодинакова. Одни факторы влияют больше, другие - меньше. При большом числе наблюдений случайные факторы взаимно погашаются, т. е. компенсируют друг друга. Однако в опытном деле при небольшом числе наблюдений взаимное погашение случайных факторов может произойти не полностью, и поэтому могут в какой-то мере искажаться результаты опыта.

Для статистической оценки зависимости между явлениями при небольшом числе наблюдений широкое применение находит метод, получивший название дисперсионного анализа.

Знание основ этого метода - необходимое условие рационального планирования и статистической обработки опытных данных.

Дисперсионный анализ заключается в сопоставлении факторной дисперсии со случайной для оценки достоверности результатов статистической группировки.

Дисперсионный анализ проводится по следующей схеме:

·   расчленение общей дисперсии по источникам ее образования;

·        определение числа степеней свободы вариации и F-критерия;

·        анализ дисперсий.

Дисперсионный анализ дает, прежде всего, возможность определить роль систематической и случайной вариаций в общей вариации и, следовательно, установить роль изучаемого фактора в изменении результативного признака. Для этого используется правило сложения дисперсий, согласно которому, общая дисперсия равна сумме двух дисперсий: остаточной и факторной.

=+,

где  - общая дисперсия, которая измеряет влияние на результат всех факторов,

- факторная дисперсия, которая измеряет влияние на результат изучаемого фактора,

- показывает влияние на результат всех остальных факторов, кроме изучаемого.

Дисперсионный анализ позволяет оценить достоверность вариации, обнаруженной методом аналитических группировок. Определение достоверности вариации дает возможность с заданной степенью вероятности установить, вызвана ли межгрупповая вариация признаком, положенным в основание группировки, или она является результатом действия случайных причин. /16. 198 с/

Основной характеристикой такой оценки является критерий Фишера, разработанного английский ученым Р. Фишером.

Фишер установил распределение отношений дисперсий и разработал соответствующие математические таблицы. В них приводится теоретическое значение F-критерия (предельно возможное) при разных уровнях вероятности или значимости 0,05 и 0,01. Уровень значимости - это достаточно малое значение вероятности, отвечающее событиям, которые в данных условиях исследования будут считаться практически невозможными. Появление такого события считается указанием на неправильность начального предположения.

Критерием Фишера при проверке существенности связи пользуются потому, что при больших числах степеней свободы его табличные значения мало изменяются.

Критерий Фишера представляет собой отношение факторной и остаточной дисперсий.



Значение F-критерия зависит от числа степеней свободы факторной и случайной дисперсий, т. е. числа независимых отклонений от средней величины. Число степеней свободы представляет собой число независимых отклонений индивидуальных значений признака от средней без одного.

Для общей дисперсии число степеней свободы определяется:


где N - число единиц изучаемой совокупности (число хозяйств в районе).

Для групповой или факторной дисперсии:


где n - число групп.

Для остаточной дисперсии:


Теперь фактическое значение критерия Фишера надо сравнить с критическим, табличным. Если оно окажется больше критического, то связь между результативным и факторным признаками считается существенной, если же наоборот, то связь между указанными признаками считается несущественной.

При дисперсионном анализе общая дисперсия расчленяется на факторную, связанную с группировочным признаком, и остаточную, не связанную с группировочным признаком.

Мы рассмотрели схему дисперсионного анализа при группировке по одному факторному признаку. Аналогично производится анализ при комбинационной группировке по двум и более факторам. В этих случаях необходима оценка достоверности влияния не только каждого положенного в основание группировки фактора, но и результата их взаимодействия. Последний определяется как разность между эффектом совместного влияния двух группировочных признаков, взятых в отдельности.

Дисперсионный анализ, таким образом, позволяет из всего многообразия факторов отобрать существенные, которые при дальнейшем исследовании могут быть положены в основу построения корреляционно-регрессионной модели.

Дисперсионный анализ предостерегает исследователя от поспешных, недостаточно обоснованных выводов.

Аналитическая группировка подтвердила факт наличия связи между урожайностью и себестоимостью 1ц подсолнечника, определила направление этой связи - связь обратная. Однако она не дает ответа на вопрос - на сколько связь существенна. Поэтому логическим продолжением аналитической группировки является однофакторный дисперсионный анализ, как математический метод оценки существенности связи.

) Определяем общую вариацию себестоимости подсолнечника под влиянием всех факторов (урожайности, трудоёмкости 1ц, уровня интенсификации, фондообеспеченности, уровня специализации, удельного веса затрат, стоимости внесённых удобрений, уровня концентрации, трудообеспеченности).


где - индивидуальное значение результата,

- уровень окупаемости.

= 67186,9

Таблица 3.5- Вариация признака по районам



2) Определяется факторная вариация, измеряющая влияние группировочного признака (производственные затраты на 1 га посева):

- количество районов в группе.