Материал: Статистические показатели, характеризующие уровень жизни населения

Внимание! Если размещение файла нарушает Ваши авторские права, то обязательно сообщите нам

Рассчитывается величина прожиточного минимума на основе методических рекомендаций, утвержденных Министерством труда Российской Федерации 10 ноября 1992г.

Она определяется в расчете на «среднестатистического» жителя и для различных социально-демографических групп населения с учетом научно обоснованных норм, национальных и других особенностей потребления, а так же реальных возможностей экономики. По отдельным половозрастным группам прожиточный минимум заметно различается.

Прожиточный минимум существенно зависит от цен, поэтому в условиях инфляции он непрерывно изменяется.

В настоящее время наряду с общим прожиточным минимумом определяется физиологический минимум.

Прожиточный (физиологический) минимум - суммарная стоимость товаров и услуг, которую можно рассматривать как нижний предел, позволяющий поддержать физическое состояние, но лишь в течение определенного времени. Жизненно необходимый уровень потребления включает только расходы на питание, самые необходимые предметы санитарии и гигиены, лекарства, коммуникальные услуги и другие обязательные платежи.

Бедность является одной из важнейших характеристик неравенства в распределении доходов. Уровень бедности - удельный вес населения с доходами ниже прожиточного минимума в общей численности населения выступает информативным показателем социально-экономического положения страны. Обычно бедность определяется как состояние, когда экономических ресурсов не хватает для обеспечения прожиточного минимума.

На основе данных о доходах бедного населения рассчитываются относительно новые для социальной статистики показатели:

·        дефицит дохода оценивается как суммарный доход малоимущего недостающий до величины прожиточного минимума.

·        коэффициент глубины бедности характеризует дефицит дохода обследуемых домохозяйств в виде среднего простого отклонения их доходов от прожиточного минимума в расчете на одно домохозяйство.

·        коэффициент остроты бедности также отражает дефицит дохода обследуемых домохозяйств, но рассчитывается по средневзвешенному отклонению их доходов от прожиточного минимума (т.е. придается больший вес домохозяйствам с более высоким дефицитом дохода).

Денежные расходы населения - это использование доходов населения на покупку товаров и оплату услуг и различного рода платежи: обязательные платежи и профсоюзные взносы (налоги, сборы, платежи по страхованию, взносы в общественные и кооперативные организации, возврат банковских ссуд), покупку иностранной валюты, а также прирост сбережений во вкладах и ценных бумагах. При этом в СНС проводится различие между расходами на конечное потребление и объемом фактического конечного потребления.

Расходы на конечное потребление домашних хозяйств включают:

1.       расходы за счет личного бюджета на покупку потребительских товаров;

2.      расходы на оплату потребительских товаров;

.        потребление продуктов в натуральной форме, произведенных домашними хозяйствами для собственного конечного потребления;

.        потребление продуктов, полученных домашними хозяйствами в натуральной форме в качестве оплаты труда;

.        услуги по проживанию в собственном жилище

Объем фактического потребления домашних хозяйств - реальная величина конечного потребления, которое обеспечивается как за счет реального дохода, так и за счет социальных трансфертов в натуральной форме, предоставляемых населению органами государственного управления, и некоммерческими организациями, обслуживающими домашние хозяйства.

Основным показателем потребления служит уровень индивидуального потребления как средний размер потребления определенных товаров и услуг на душу населения. Он рассчитывается в виде отношения годового объема потребляемых товаров и услуг по видам к среднегодовой численности населения как в целом, так и по отдельным социальным группам, группам по доходу, возрасту, характеру занятий.

Сравнение фактического потребления отдельных товаров с нормативным позволяет определить уровень удовлетворения потребности населения в данном товаре.

Коэффициент удовлетворения потребности в i-м товаре имеет вид:

,

где факт - фактическое потребление i-го товара в среднем на душу населения;

норм - нормативный уровень потребления i-го товара в среднем на душу населения;

Коэффициент удовлетворения потребностей населения по всем потребительским товарам и услугам (К у.п.о.) определяется в агрегатной форме:

,

система показатель статистика уровень

где p - цена товара;

q- количество фактически потребленных товаров;

s - количество фактически потребленных услуг;

t - фактический тариф за определенную услугу;

qн - норматив потребления определенного товара на душу населения;

sн - норматив потребления определенного вида услуг на душу населения;

 - средняя численность населения за период.

Разность числителя и знаменате6ля этого показателя определяет стоимость общего недопотребления товаров и услуг по сравнению с нормативным его уровнем.

Динамика общего и среднедушевого потребления изучается с помощью индексов. По отдельным видам товаров рассчитываются индивидуальные индексы изменения потребления:

·        общего потребления i-го товара: ,

где ∑qi1, ∑qi10 - объемы потребления i - го товара в натуральном выражении в отчетном и базисном периодах соответственно;

·        среднедушевого потребления i-го товара:

,

где ,  - средняя численность населения в отчетном и базисном периодах, соответственно;

·        разница между числителем и знаменателем индексов показывает абсолютное изменение соответственно общего и среднедушевого потребления i-го товара: Δ;

.

Потребление населением услуг измеряется так же, как и товаров. При этом должна быть обеспечена сопоставимость цен (тарифов - t) на услуги в отчетном и базисном периодах в результате использования сопоставимой (базисной) цены или применения метода дефлятирования.

Динамика общего потребления населением товаров и услуг характеризуется агрегатным индексом объема потребления:

,

где q1, q0; s1,s0 - количество потребленных в отчетном и базисном периодах соответственно товаров и услуг;

p0, t0 - цена товара и тариф за определенную услугу в базисном периоде.

Для изучения динамики потребления отдельных групп товаров или услуг применяется средний гармонический индекс физического объема следующего вида:

,

где ip - индивидуальные индексы цен на отдельные товары и услуги.

Для изучения зависимости объема потребления от дохода в социальной статистике на практике используется коэффициент эластичности потребления от изменения дохода, который показывает, насколько процентов возрастает (или снижается) потребление товаров и услуг при росте дохода на 1% (формула А. Маршалла):

,

где x, y - начальный доход и потребление;

Δx, Δy - их приращение за некоторый период.

Если коэффициент эластичности отрицательный, то с ростом доходов потребление «малоценных» (низкого качества) товаров уменьшается

Если Кэ>1, то потребление растет быстрее доходов.

Если Кэ=1, то между доходом и потреблением существует пропорциональная зависимость.

Если Кэ<1, то потребление увеличивается медленнее, чем доход.

Кроме рассмотренных показателей социальная статистика изучает жизненные условия и бытовое обслуживание населения, свободное время населения, здоровье населения, уровень образования и развитие системы обучения, культуру, искусство, отдых и др.

Глава 2. Динамика уровня жизни населения, структура доходов и расходов

Ряд динамики - ряд значений признака, изменяющихся во времени.

Динамические ряды содержат всегда два необходимых элемента - время и конкретное значение показателей (уровни ряда).

Существуют различные классификации временных рядов. По времени различают моментные (характеризующие изучаемые явления в конкретный момент времени) и интервальные (характеризующие признак за определенный момент времени).

По форме представления бывают ряды абсолютных, относительных и средних величин.

При построении рядов динамики необходимо соблюдать сдедующие требования:

.Требование сопоставимости территории к которой относятся данные;

. Требование сопоставимости по кругу охватываемых явлений;

. Статистические показатели должны определяться по единой методологии;

. Сопоставимость показателей по периоду или моменту наблюдения;

5. Сопоставимость по единицам измерения

В данной курсовой работе проведем анализ динамики размера денежных доходов населения в Орловской области за 2000-2011 г.

Таблица 1 - Исходные данные о среднемесячной номинальной начисленной заработной плате в Орловской области за 2000-2011 г.

годы

среднемесячная заработная плата одного работника в Орловской области, руб.

1

2

2000

1535

2001

2245,8

2002

3028,7

2003

3563,5

2004

4392,9

2005

5430,6

2006

6773,7

2007

8610,7

2008

11152,2

2009

11854,3

2010

13174,2

2011

14528,6



Таблица 2 - Динамика среднемесячной номинальной начисленной заработной платы в Орловской области за 2000-2011 годы

годы

среднемесячная номинальная заработная плата, руб.

абсолютный прирост,млн. руб.

темп роста,%

темп прироста,%

абсолютное значение 1 % прироста



цепной

базисный

цепной

базисный

цепной

базисный


2000

1535

0

0

0

0


0

0

2001

2245,8

710,8

710,8

146,3

146,3

46,3

46,3

15,4

2002

3028,7

782,9

1493,7

134,9

197,3

34,9

97,3

22,5

2003

3563,5

534,8

2028,5

117,7

232,1

17,7

132,1

30,3

2004

4392,9

829,4

2857,9

123,3

286,2

23,3

186,2

35,6

2005

5430,6

1037,7

3895,6

123,6

353,8

23,6

253,8

43,9

2006

6773,7

1343,1

5238,7

124,7

441,3

24,7

341,3

54,3

2007

8610,7

1837

7075,7

127,1

561,0

27,1

461,0

67,7

2008

11152,2

2541,5

9617,2

129,5

726,5

29,5

626,5

86,1

2009

11854,3

702,1

10319,3

106,3

772,3

6,3

672,3

111,5

2010

13174,2

1319,9

11639,2

111,1

858,3

11,1

758,3

118,5

2011

14528,6

1354,4

12993,6

110,3

946,5

10,3

846,5

131,7


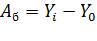
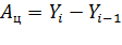
.        Рассчитаем абсолютные показатели динамики:

Цепной абсолютный прирост

 

 

 

Базисный абсолютный прирост

 

 

 

2.       Рассчитаем относительные показатели динамики:

Цепной темп роста

*100%

 

 и т. д.

Базисный темп роста

 

 

 и т. д.

Цепной темп прироста

 

 

 и т. д.

Базисный темп прироста

 и т. д.

Анализируя данные таблицы 1, можно сделать вывод о том, что цепные показатели динамики имеют положительную тенденцию роста в 2001 г. - на 5599,3 млн. руб. или на 37,5%; в 2002 г. - на 6586,2 млн. руб. или 31,8%; в 2003 г. - на 5989,7 млн. руб. или 22,1%; в 2004 г. - на 6327,5 млн. руб. или на 19,1%; в 2005 году - на 8902,6 млн. руб. или 22,6%; в 2006 г. - на 10242,5 млн. руб. или на 21,2%; в 2007 г. - на 12514,6 млн. руб. или 21,4%; в 2008 г. - на 25458 млн. руб. или на 35,8%; в 2009 г. - на 7864 млн. руб. или на 8,1%; в 2010 г. - на 19856,4 млн. руб. или 19%; в 2011 г. - на 15140,8 млн. руб. или на 12,2%. Базисные показатели динамики свидетельствуют о том, что в Орловской области выявлены тенденции к росту денежных доходов населения (т.к. рассчитанные показатели темпа роста выше 100%). Анализируя абсолютные значения 1% прироста, мы видим, что замедление темпа прироста сопровождается уменьшением абсолютных приростов. Абсолютное значение 1% прироста наблюдается в 2001 - 2011 годах, поскольку размер денежных доходов населения колеблется из года в год, общий вывод по абсолютным и относительным показателям динамики мы сделать не можем. Поэтому определим среднегодовые показатели динамики:

Средний абсолютный прирост

 

руб.

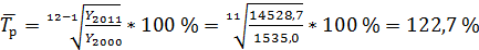
Среднегодовой темп роста

 

 

Таким образом, за период 2000 - 2011 годы уровень денежных доходов населения в Орловской области увеличился на 1181,25 руб. или на 22,7 %.