Налог на прибыль определяется умножением ставки
налога на величину налогооблагаемой базы. Для расчета налогооблагаемой прибыли
из полученных доходов вычитаются издержки и налоги, относимые на финансовый
результат, в частности, налог на имущество.
2.5 Определение чистого
дохода и чистого дисконтированного дохода (ЧД и ЧДД)
Чистый доход и чистый дисконтированный доход
рассчитываются как сальдо денежных потоков, соответственно, реальных и
дисконтированных. При этом отдельно рассматривается операционная деятельность,
инвестиционная и финансовая. Приток денежных средств учитывается с плюсом,
отток -
с минусом. При расчете сальдо денежных потоков необходимо учесть тот факт, что
амортизация остается на предприятии, т.е. отток денежных средств уменьшается на
величину амортизационных отчислений. Результаты расчета ЧД и ЧДД представим в
табличной форме.
Таблица 11. Потоки денежных средств по 1 инвестиционному проекту, тыс. руб.
|
Показатель |
Шаг(год) |
Итого |
||||||
|
|
0 |
1 |
2 |
3 |
4 |
5 |
6 |
|
|
Операционная деятельность |
||||||||
|
1 Доходы от реализованной продукции |
0 |
20115 |
40230 |
67050 |
67050 |
67050 |
67050 |
328545 |
|
2 Всего издержек |
0 |
19221,35 |
34037,9575 |
53793,43 |
53793,43 |
53793,43 |
53793,43 |
268433 |
|
в т.ч. Амортизация |
0 |
539,424 |
961,548 |
1524,38 |
1524,38 |
1524,38 |
1524,38 |
7598,492 |
|
3 Налог на имущество |
172,04 |
326,2223 |
469,827644 |
655,9704 |
622,4341 |
588,8977 |
555,3614 |
3390,754 |
|
4 Налогоблагаемая прибыль |
-172,04 |
567,4232 |
5722,21488 |
12600,6 |
12634,14 |
12667,67 |
12701,21 |
56721,22 |
|
5 Налог на прибыль |
0 |
113,4846 |
1144,44298 |
2520,12 |
2526,828 |
2533,535 |
2540,242 |
|
|
6 Чистая прибыль |
-172,04 |
453,9386 |
4577,7719 |
10080,48 |
10107,31 |
10134,14 |
10160,97 |
45342,57 |
|
7 Сальдо денежных потоков от операционной деятельности |
-172,04 |
993,3626 |
5539,3199 |
11604,86 |
11631,69 |
11658,52 |
11685,35 |
52941,06 |
|
8 Коэффициент дисконтирования |
1 |
0,909091 |
0,82644628 |
0,751315 |
0,683013 |
0,620921 |
0,564474 |
|
|
9 Дисконтированное сальдо денежных потоков от операционной деятельности |
-172,04 |
903,0569 |
4577,95033 |
8718,904 |
7944,601 |
7239,023 |
6596,075 |
35807,57 |
|
Инвестиционная деятельность |
||||||||
|
10 Притоки |
0 |
0 |
0 |
0 |
0 |
0 |
17365,31 |
17365,31 |
|
11 Капитальные вложения |
10030 |
8155,5 |
8155,5 |
10874 |
0 |
0 |
0 |
37215 |
|
12 Сальдо денежных потоков инвестиционной деятельности |
-10030 |
-8155,5 |
-8155,5 |
-10874 |
0 |
0 |
17365,31 |
-19849,7 |
|
13 Дисконтированное сальдо денежных потоков от инвестиционной деятельности |
-10030 |
-7414,09 |
-6740,08264 |
-8169,8 |
0 |
0 |
9802,264 |
-22551,7 |
|
Итоговый результат |
||||||||
|
14 Сальдо двух потоков |
-10202 |
-7162,14 |
-2616,1801 |
730,8611 |
11631,69 |
11658,52 |
29050,66 |
33091,37 |
|
15 накопленное сальдо двух потоков |
-10202 |
-17364,2 |
-19980,3575 |
-19249,5 |
-7617,81 |
4040,713 |
33091,37 |
|
|
16 Дисконтированное сальдо двух потоков |
-10202 |
-6511,03 |
-2162,13231 |
549,1068 |
7944,601 |
7239,023 |
16398,34 |
13255,86 |
|
17 Накопленное дисконтированное сальдо двух потоков |
-10202 |
-16713,1 |
-18875,2063 |
-18326,1 |
-10381,5 |
-3142,48 |
13255,86 |
|
|
ЧД |
33091,36937 |
|||||||
|
ЧДД |
13255,8627 |
|||||||
Таблица 12. Потоки денежных средств по 2 инвестиционному проекту, тыс. руб.
|
Показатель |
Шаг(год) |
Итого |
|||||||||
|
Операционная деятельность |
|||||||||||
|
1 Доходы от реализованной продукции |
0 |
25984 |
38976 |
64960 |
64960 |
64960 |
64960 |
64960 |
64960 |
64960 |
519680 |
|
2 Всего издержек |
0 |
23556,24 |
32880,3217 |
51528,49 |
51528,49 |
51528,49 |
51528,49 |
51528,49 |
51528,49 |
51528,49 |
417136 |
|
в т.ч. Амортизация |
0 |
823,69 |
1147,65 |
1795,57 |
1795,57 |
1795,57 |
1795,57 |
1795,57 |
1795,57 |
1795,57 |
14540,33 |
|
3 Налог на имущество |
184,14 |
394,3754 |
482,33867 |
669,2593 |
629,7567 |
590,2542 |
550,7516 |
511,2491 |
471,7466 |
432,244 |
4916,115 |
|
4 Налогооблагаемая прибыль |
-184,14 |
2033,389 |
5613,33959 |
12762,25 |
12801,75 |
12841,25 |
12880,76 |
12920,26 |
12959,76 |
12999,26 |
97627,88 |
|
5 Налог на прибыль |
0 |
0 |
1122,66792 |
2552,45 |
2560,35 |
2568,251 |
2576,151 |
2584,052 |
2591,952 |
2599,853 |
19155,73 |
|
6 Чистая прибыль |
-184,14 |
2033,389 |
4490,67167 |
10209,8 |
10241,4 |
10273 |
10304,6 |
10336,21 |
10367,81 |
10399,41 |
78472,15 |
|
7 Сальдо денежных потоков от операционной деятельности |
-184,14 |
2857,079 |
5638,32167 |
12005,37 |
12036,97 |
12068,57 |
12100,17 |
12131,78 |
12163,38 |
12194,98 |
93012,48 |
|
8 Коэффициент дисконтирования |
1 |
0,909091 |
0,82644628 |
0,751315 |
0,683013 |
0,620921 |
0,564474 |
0,513158 |
0,466507 |
0,424098 |
|
|
9 Дисконтированное сальдо денежных потоков от операционной деятельности |
-184,14 |
2597,344 |
4659,76998 |
9019,811 |
8221,413 |
7493,634 |
6830,233 |
6225,519 |
5674,306 |
5171,862 |
55709,75 |
|
Инвестиционная деятельность |
|||||||||||
|
10 Притоки |
0 |
0 |
0 |
0 |
0 |
0 |
0 |
0 |
0 |
11961,6 |
11961,6 |
|
11 Капитальные вложения |
10710 |
11009,6 |
5504,8 |
11009,6 |
0 |
0 |
0 |
0 |
0 |
0 |
38234 |
|
12 Сальдо денежных потоков инвестиционной деятельности |
-10710 |
-11009,6 |
-5504,8 |
-11009,6 |
0 |
0 |
0 |
0 |
0 |
11961,6 |
-26272,4 |
|
13 Дисконтированное сальдо денежных потоков от инвестиционной деятельности |
-10710 |
-10008,7 |
-4549,42149 |
-8271,68 |
0 |
0 |
0 |
0 |
0 |
5072,886 |
-28466,9 |
|
Итоговый результат |
|||||||||||
|
14 Сальдо двух потоков |
-10894,1 |
-8152,52 |
133,521672 |
995,7681 |
12036,97 |
12068,57 |
12100,17 |
12131,78 |
12163,38 |
24156,58 |
66740,08 |
|
15 накопленное сальдо двух потоков |
-10894,1 |
-19046,7 |
-18913,1398 |
-17917,4 |
-5880,4 |
6188,171 |
18288,34 |
30420,12 |
42583,5 |
66740,08 |
|
|
16 Дисконтированное сальдо двух потоков |
-10894,1 |
-7411,38 |
110,348489 |
748,1353 |
8221,413 |
7493,634 |
6830,233 |
6225,519 |
5674,306 |
10244,75 |
27242,81 |
|
17 Накопленное дисконтированное сальдо двух потоков |
-10894,1 |
-18305,5 |
-18195,1747 |
-17447 |
-9225,63 |
-1731,99 |
5098,24 |
11323,76 |
16998,07 |
27242,81 |
|
|
ЧД |
66740,07971 |
||||||||||
|
ЧДД |
27242,81332 |
||||||||||
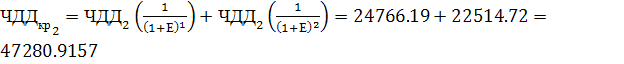
ЧДД1 =13255,8627 тыс. руб.;
ЧДД2 = 27242,81332 тыс. руб.
Наиболее привлекателен 2й инвестиционный проект,
т.к. ЧДД2>ЧДД1.
2.6 Уточнение выбора
инвестиционного проекта с учетом сопоставимости расчетного периода
Рассматриваемые инвестиционные проекты имеют разный срок реализации, поэтому необходимо обеспечить их сопоставимость по фактору времени. Для этого рекомендуется использовать метод цепного повтора. Порядок действия:
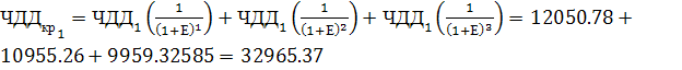
) определить наименьшее кратное сроков действия инвестиционных проектов - наименьшее число, которое делится без остатка на срок реализации каждого из рассматриваемых проектов - Ткр;
) определить количество повторов (N) жизненного цикла каждого проекта в течении найденного наименьшего кратного срока;
) рассчитать ЧДДкр по каждому проекту с учетом
наименьшего кратного периода расчета. Количество цикличных шагов по проекту
равно количеству повторов
Ткр = 18
N1 = 3= 2
Наиболее привлекателен 2й проект, т.к. чистый дисконтированный доход для второго инвестиционного проекта с учетом фактора времени выше чем чистый дисконтированный доход для первого инвестиционного проекта с учетом фактора времени.
Оценка эффективности инвестиционного проекта по показателям: ИДД, ДИСО и ВНД
где
,
- соответственно,
приток и отток денежных средств от операционной деятельности, тыс. руб.
,
- соответственно, приток
и отток денежных средств от инвестиционной деятельности, тыс. руб.
При определении индекса доходности реальных
(недисконтированных) инвестиций (ИД) используется та же формула, но без
коэффициента дисконтирования. Исходя из ранее полученных данных:
Срок окупаемости проекта зависит от сальдо денежных потоков. Для определения момента простой окупаемости и момента дисконтированной окупаемости необходимо рассмотреть сальдо суммарно накопленного потока по операционной и инвестиционной деятельности, соответственно, без учета дисконтирования и с учетом дисконтирования. Момент окупаемости лежит внутри шага (t), на котором сальдо суммарно накопленного потока становится положительным.
Уточнение положения момента окупаемости базируется
на предположении, что в пределах одного шага сальдо суммарно накопленного
потока меняется линейно. Тогда "расстояние" Х от начала шага (t)
до момента окупаемости определяется по формуле
где
- абсолютная
величина накопленного сальдо двух потоков на предыдущем шаге (t-1);
- величина
накопленного сальдо двух потоков на шаге t.
Исходя из табличных значений, полученных ранее:
а) для недисконтированного сальдо:
искомый срок окупаемости составит 4 года 5 месяцев.
б) для дисконтированного сальдо:
искомый срок окупаемости составит 5 лет и 5 месяцев.
Внутреннюю норму доходности определяем, используя графический метод.
Последовательность действий:
) рассчитываем коэффициенты дисконтирования при различных значениях нормы дисконта;
) определяем сальдо дисконтированных потоков отдельно по операционной и инвестиционной деятельности при различных коэффициентах дисконтирования;
) рассчитываем индексы доходности дисконтированных инвестиций при всех рассматриваемых значениях нормы дисконта. результаты расчета представим в табличной форме (таблица 13);
) строим график зависимости нормы дисконта и ИДД
) из точки абсцисс ИДД=1 восстановим перпендикуляр до пересечения его с построенным графиком;
) опускаем перпендикуляр из точки пересечения на ось ординат.
Полученная проекция точки пересечения на ось
ординат и даст искомое значение ВНД (рис. 1)
Рис. 1 - график внутренней нормы доходности
Таблица 13. Вспомогательные расчеты для определения ВНД.
|
Показатель |
Шаг(год) |
Итого |
||||||
|
|
0 |
1 |
2 |
3 |
4 |
5 |
6 |
|
|
Коэффициент дисконтирования |
||||||||
|
при Е1 = 0,00 |
1 |
1 |
1 |
1 |
1 |
1 |
1 |
|
|
Е2 = 0,05 |
1 |
0,952381 |
0,90702948 |
0,863838 |
0,822702 |
0,783526 |
0,746215 |
|
|
Е3 = 0,10 |
1 |
0,909091 |
0,82644628 |
0,751315 |
0,683013 |
0,620921 |
0,564474 |
|
|
Е4 = 0,15 |
1 |
0,869565 |
0,75614367 |
0,657516 |
0,571753 |
0,497177 |
0,432328 |
|
|
Е5 = 0,20 |
1 |
0,833333 |
0,69444444 |
0,578704 |
0,482253 |
0,401878 |
0,334898 |
|
|
Е6 = 0,25 |
1 |
0,8 |
0,64 |
0,512 |
0,4096 |
0,32768 |
0,262144 |
|
|
Дисконтированное сальдо денежных потоков от операционной деятельности, тыс. руб. |
||||||||
|
при Е1 = 0,00 |
-184,14 |
2857,079 |
5638,32167 |
12005,37 |
12036,97 |
12068,57 |
12100,17 |
56522,34 |
|
Е2 = 0,05 |
-184,14 |
2721,027 |
5114,12397 |
10370,69 |
9902,845 |
9456,042 |
9029,336 |
46409,92 |
|
Е3 = 0,10 |
-184,14 |
2597,344 |
4659,76998 |
9019,811 |
8221,413 |
7493,634 |
6830,233 |
38638,06 |
|
Е4 = 0,15 |
-184,14 |
2484,416 |
4263,38123 |
7893,724 |
6882,177 |
6000,213 |
5231,239 |
32571,01 |
|
Е5 = 0,20 |
-184,14 |
2380,899 |
3915,50116 |
6947,551 |
5804,866 |
4850,088 |
4052,324 |
27767,09 |
|
Е6 = 0,25 |
-184,14 |
2285,663 |
3608,52587 |
6146,748 |
4930,343 |
3954,63 |
3171,988 |
23913,76 |
|
Дисконтированное сальдо денежных потоков от инвестиционной деятельности, тыс. руб. |
||||||||
|
при Е1 = 0,00 |
-10710 |
-11009,6 |
-5504,8 |
-11009,6 |
0 |
0 |
0 |
-38234 |
|
Е2 = 0,05 |
-10710 |
-10485,3 |
-4993,01587 |
-9510,51 |
0 |
0 |
0 |
-35698,9 |
|
Е3 = 0,10 |
-10710 |
-10008,7 |
-4549,42149 |
-8271,68 |
0 |
0 |
0 |
-33539,8 |
|
Е4 = 0,15 |
-10710 |
-9573,57 |
-4162,41966 |
-7238,99 |
0 |
0 |
0 |
-31685 |
|
Е5 = 0,20 |
-10710 |
-9174,67 |
-3822,77778 |
-6371,3 |
0 |
0 |
0 |
-30078,7 |
|
Е6 = 0,25 |
-10710 |
-8807,68 |
-3523,072 |
-5636,92 |
0 |
0 |
0 |
-28677,7 |
|
ИДД |
||||||||
|
при Е1 = 0,00 |
|
|
|
|
|
|
|
1,478327 |
|
Е2 = 0,05 |
|
|
|
|
|
|
|
1,30004 |
|
Е3 = 0,10 |
|
|
|
|
|
|
|
1,152006 |
|
Е4 = 0,15 |
|
|
|
|
|
|
|
1,027964 |
|
Е5 = 0,20 |
|
|
|
|
|
|
|
0,923147 |
|
Е6 = 0,25 |
|
|
|
|
|
|
|
0,833881 |
Результаты расчетов показателей эффективности по
выбранному инвестиционному проекту представим в табличной форме.
Таблица 14. Показатели эффективности инвестиционного проекта
|
Наименование показателя |
Обозначение показателя |
Единица измерения |
Значение показателя |
|
Чистый доход |
ЧД (NV - net value) |
тыс. руб. |
66740,07971 |
|
Чистый дисконтированный доход |
ЧДД (NPV - net present value) |
тыс. руб. |
27242,81332 |
|
Индекс доходности дисконтированных инвестиций |
ИДД (PI - profitability index) |
|
1,15 |
|
Срок окупаемости с учетом дисконтирования |
ДИСО (DPP - discounted payback period) |
Количество шагов (лет) |
5,5 |
|
Внутренняя норма доходности |
ВНД (IRR - internal rate of return |
|
0,162 |
3. оценка устойчивости
инвестиционного проекта
Проект считается устойчивым, если при всех возможных вариантах развития событий он остается эффективным и финансово реализуемым. Существуют различные методы оценки устойчивости проекта:
а) расчет уровней безубыточности;
б) метод вариации параметров;
в) оценка ожидаемого эффекта от реализации проекта с учетом количественных характеристик неопределенности и др.
Для определения устойчивости выбранного
инвестиционного проекта нам нужно установить критический (безубыточный) годовой
объем производства - минимальный объем, при котором предприятие будет иметь
нулевой финансовый результат, т.е. доходы равны суммарным издержкам. При
расчете критического объема (Wкр)
затраты, относимые на себестоимость продукции, предварительно подразделяются на
переменные Ипер и условно-постоянные Ипост (зависящие и не зависящие от объема
производства).
где
-
удельные переменные издержки, руб./ед.
Ц - усредненная цена единицы продукции, руб./ед.
Расчет критического объема производства сделаем для 4 го шага реализации инвестиционного проекта.
Проверим полученное значение Wкр,
используя графический метод. Построим график безубыточности инвестиционного
проекта с учетом рассчитанных ранее конкретных значений показателей доходов и
издержек.