Материал: спектр и фотометр

Внимание! Если размещение файла нарушает Ваши авторские права, то обязательно сообщите нам

Задача 79. Хинозол

 

 

Chinozolum

 

H2SO4

8-Оксихинолина сульфат

 

 

N

Противомикробное

OH

2

и противопротозойное средство

 

 

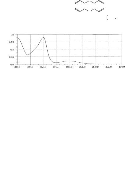
УФ-спектр раствора хинозола, стандартный образец USP

Пропускание, %

ν, см-1

ИК-спектр 8-оксихинолина, диск калия бромида, стандартный образец USP

ЯМР 1Н-спектр 8-оксихинолина, δ, м. д., стандартный образец USP

256

Задача 80. Клофелин

Clophelinum

 

Cl

N

 

2-(2,6-Дихлорфениламино)-2-имидазолина

HCl

NH

гидрохлорид

N

 

Clonidine Hydrochloride*

 

H

Cl

Гипотензимное средство

 

 

УФ-спектр раствора клофелина, стандартный образец USP

Пропускание, %

ν, см-1

ИК-спектр клофелина, диск калия бромида, стандартный образец USP

ЯМР 1Н-спектр клофелина, δ, м. д., стандартный образец USP

257

Задача 81. Аминазин

S

 

 

 

 

 

 

Aminazinum

 

 

 

 

 

 

 

 

 

 

 

 

 

 

 

 

 

 

 

 

 

 

 

2-Хлор-10-(3’-диметиламинопропил)-

 

 

 

 

 

 

 

 

 

 

 

 

 

 

 

N

 

 

Cl CH

 

фенотиазина гидрохлорид

 

 

 

 

 

 

3

 

Chlorpromazine Hydrochloride*

CH2

 

CH2

 

CH2

 

N

HCl

 

 

 

Нейролептическое средство

 

 

 

 

 

 

 

CH3

 

 

 

 

 

 

 

 

 

 

УФ-спектр раствора аминазина гидрохлорида в 0,1 М HCl, стандартный образец USP

Пропускание, %

ν, см-1

ИК-спектр аминазина гидрохлорида, диск калия бромида, стандартный образец USP

ЯМР 1Н-спектр аминазина гидрохлорида, δ, м. д., стандартный образецUSP

258

Задача 82. Дипразин

S

 

 

 

 

 

 

Diprazinum

 

 

 

 

 

 

 

 

 

 

 

 

 

 

 

 

 

 

 

 

 

 

 

10-(2’-Диметиламинопропил)

 

 

 

 

 

 

 

 

 

 

 

 

 

 

 

N

 

 

 

 

CH3

 

фенотиазина гидрохлорид

 

 

 

 

 

 

 

 

 

 

 

 

 

CH2

 

CH

 

N

HCl

Promethazine Hydrochloride*

 

 

CH3

 

 

 

 

 

 

 

 

 

CH3

 

Нейролептик

 

 

 

 

 

 

 

 

 

 

 

 

 

Поглощение, А

 

 

 

 

 

 

 

 

 

 

 

 

 

 

 

 

 

 

 

 

 

 

λ, нм

УФ-спектр 0,001 % раствора дипразина в воде, стандартный образец JP

Пропускание, %

 

 

 

 

 

 

 

 

 

ν, см-1

ИК-спектр дипразина, диск калия бромида, стандартный образец USP

ЯМР 1Н-спектр дипразина, δ, м. д., стандартный образец USP

259

Задача 83. Тиоридазина гидрохлорид

S

 

 

 

 

 

 

 

Thioridazinum hudrochloridum

 

 

 

 

 

 

 

 

 

 

 

 

 

 

 

 

 

 

 

 

 

 

 

 

 

10-[2-(1-Метил-2-пиперидил)этил]-2-

 

 

 

 

 

 

 

 

 

 

 

 

 

 

 

 

N

 

 

 

SCH3

метилтио-фенотиазина гидрохлорид

 

 

 

 

 

 

 

 

 

 

 

 

 

 

 

 

 

 

 

 

Thioridazine Hydrochloride*

CH2

 

CH2

 

 

 

 

 

 

 

 

 

 

 

H CN

 

Cl

Нейролептик

 

 

 

H

 

 

 

 

 

 

 

 

3

 

 

 

 

УФ-спектр раствора тиоридазина гидрохлорида в 0,1 М HCl, стандартный образец USP

Пропускание, %

ν, см-1

ИК-спектр тиоридазина гидрохлорида, диск калия бромида, стандартный образец USP

ЯМР 1Н-спектр тиоридазина гидрохлорида, δ, м. д., стандартный образец USP

260