Материал: Совокупный спрос и его факторы

Внимание! Если размещение файла нарушает Ваши авторские права, то обязательно сообщите нам

Многие авторы подвергали Модель Л. Вальраса критическому анализу.

Моделью общего равновесия Л.Вальраса было оказано значительное влияние на развитие экономики как науки. Но во многом она расходится с действительным положением буржуазного общества. Достаточно обратить внимание на то, что в ней допустима возможность нулевого уровня безработицы, полноты загрузки аппарата производства, отсутствия циклических производственных колебаний, технический прогресс не учитывается, как и накопление капитала. Л.Вальрас, подобно его предшественникам, не смог объяснить природу цен, двигаясь по замкнутому кругу, когда цены имеют зависимость от предложения и спроса, а последние - от цен.

Для модели Л.Вальраса является присущим противоречие в практике движения цен и денег. Так, согласно Л.Вальрасу, никакие изменения в предложении и спросе товаров не произойдут, если в случае наличия равновесия на каждом рынке относительные цены будут прежними, а цены абсолютного типа возрастут на все товары. Вместе с тем он не показывает, что рост цен абсолютного типа ведет к увеличению спроса на деньги.

Данное противоречие было разрешено американским ученым Д. Патинкиным в книге «Деньги, процент и цены» (1965 г.). Им был введен в модель Л.Вальраса такой компонент дополнительного характера, как рынок денег и реальные кассовые остатки, которые представляют собой реальную стоимость сумм денег, которые остаются на руках у покупателей и продавцов.

Д. Патинкиным была создана макроэкономическая модель общего равновесия, включавшая в себя не одни лишь рынки товаров, но и рынок денег с реальными кассовыми остатками. Вместе с тем Д. Патинкин исходил из того, что реальная стоимость денежных остатков оказывает воздействие не только на спрос товарного типа, но и на денежный спрос. Сделает предположение, что количество денежных средств, которые остались на руках у продавцов и покупателей, не изменилось в номинальном выражении. Но общее увеличение цен стало причиной того, что их покупательная способность понизилась, а по этой причине на всех рынках спрос на товары уменьшился. По этой причине равновесие будет нарушаться, что приведет к избытку предложения товаров, которое станет причиной, в соответствии с законом Л.Вальраса, избыточного спроса на денежные средства. Последнее не говорит о том, что на рынке предложение денежных средств меньше спроса. При дефиците денег, которых не достаточно для приобретения определенного количества товаров, цены абсолютного типа снизятся при не меняющихся ценах относительного типа. Вследствие снижения абсолютных цен увеличится реальное значение кассовых остатков. Общее равновесие восстановится, что говорит о способности системы саморегулироваться [8, c. 16].

Таблица 1

Модели равновесия в макроэкономике

Модели равновесия в макроэкономике

Модель Маршалла и Вальраса

Проводится анализ дефицита, и производителями ограничивается производство. Появляется избыток спроса (дефицит). Потребители начинают вести конкуренцию за товары, отсюда идет рост цены. Значительная цена ведет к стимулированию производства, что ведет к тому, что исчезает дефицит

Классическая модель

1. в экономике рыночного типа есть механизмы, которые приводят ее в равновесие; 2. маловероятной является ситуация, когда совокупные расходы недостаточны для увеличения реального производственного объема; 3. если расходы все же недостаточны, то это ведет к снижению цен и зарплаты; 4. цены, зарплата и проценты - быстро изменяются и отличаются гибкостью, отсутствует необходимость во вмешательстве государства в экономику.

Модель Кейнса

1. цены, зарплата и проценты не гибкие и медленно меняются; 2. они медленно перемещаются к точке равновесия совокупного предложения и совокупного спроса; 3. нет механизма, который гарантирует полную занятость; 4. государство имеет возможность регулирования экономики, оказывая воздействие на совокупный спрос (отсутствие спроса является главной причиной кризисов) посредством политики «экспансии»: а) рост госрасходов;  б) стимулирование вложений капитального характера;  в) применение инфляции;  г) активная политика в области кредита и денег;  д) применение инвестиционного мультипликатора;

Модель Фридмана - монетаризм

1. осуществляется политика «сдерживания», сущность которой заключается в ограниченном росте доходов населения (то есть уменьшении совокупного спроса); она должна осуществляться до сокращения инфляции до необходимого уровня, и, значит, сокращения издержек производства; 2. наступает черед политики «либерализма» - рыночным факторам предоставляется значительная свобода, то есть производство восстанавливает прежний уровень, снижается производство.


Макроэкономическое равновесие является состоянием экономики страны, при котором спрос совокупного типа является равны предложению совокупного типа. Состояние равновесия макроэкономического характера практически недостижимо и его теоретическая модель изображается на рисунке, где AD является кривой совокупного спроса, AS кривой совокупного предложения. Пересечение этих кривых и является точкой равновесия макроэкономического типа (теоретической), означающей, что при такой уровне цен весь объем национального продукта, который был произведен, будет распродан.

Признаки равновесия в макроэкономике:

1.       Соответствие целей общего характера и реальных возможностей экономического типа;

2.       Полнота использования всех ресурсов;

.        Приведение общей производственной структуры в состояние, соответствующее структуре потребления;

.        Равновесие предложения и спроса на микроуровне;

.        Свобода конкуренции;

.        Непрерывное экономическое развитие.

2. Модели совокупного спрсоа


2.1 Эффект мультипликатора и его значение для совокупного спроса


В экономическом анализе термин "инвестиции" значит применение сбережений в целях создания новых мощностей производства и прочих реальных или физических активов.

В состав инвестиций включены все затраты на приобретение оборудования и машин, осуществление работ строительно-монтажного характера, изменения запасов. Вложение средств в ценные бумаги, например, облигации и акции, называют портфельными или финансовыми инвестициями. В сравнении с физическими инвестициями, создающими новые активы и увеличивающими мощности производства в стране, инвестиции финансового характера лишь обеспечивают перераспределение права собственности на имеющиеся активы между субъектам. Именно по этой причине экономистами инвестиции связываются с вложением капитала в покупку запасов физических и активов. Важно и то, что осуществление инвестиций имеет непосредственную связь с рынком товаров, а купля-продажа ценных бумаг связана с фондовым рынком.

Так как инвестиции являются одним из компонентов расходов совокупного характера, то в сравнении со сбережениями они воздействуют на объем спроса эффективного типа прямо противоположно: если сбережения ведут к сокращению спроса, то инвестиции ведут к его увеличению.

Инвестиции являются обратной функцией от ставки процента: I = f(i). Эта убывающая функция показана на рис. 5.

Рис. 5 График функции инвестиций

Рост или снижение инвестиций ведут к росту либо снижению производства, доходов и занятости. Данные закономерности можно наблюдать не только применительно к инвестициям, но и в связи с любыми прочими видами расходов, включая госрасходы и чистый экспорт.

В случае рассмотрения спроса совокупного типа особая роль отведена госрасходам G. Именно они в модели экономики закрытого типа могут обеспечить "эффективный спрос" для того, чтобы достичь полной занятости. В связи частных инвестиций и госрасходов рассматривают и проблему мультипликатора.

В переводе на русский мультипликатор означает "множитель" (multiplication - умножение; multiplier - коэффициент, множитель). Кейнсианский мультипликатор демонстрирует, какое влияние оказывает прирост инвестиций (частных и государственных) на прирост доходов и выпуска.

На рис. 6 продемонстрировано, как перемены в государственных и частных инвестициях воздействуют на размер уровня дохода и равновесного объема выпуска.

Рис. 6 Графическая интерпретация эффекта мультипликатора

Приросты дохода dY1 и dY2 более значительны, нежели обусловившие их перемены в инвестициях частного типа dI1 и госрасходах G, обозначенных как dI2. Это и является графической иллюстрацией эффекта мультипликатора. Данный эффект в обычном виде может быть представлен так:

= k*dI (1)

где dY - прирост дохода;- прирост инвестиций;- мультипликатор.

Итак, мультипликатор является числом, которое показывает, во сколько раз требуется увеличить изначальный прирост инвестиций, чтобы вычислить прирост национального дохода, который вызван этим. Иными словами, мультипликатор является отношением изменения уровня национального дохода при равновесии к исходному изменению уровня расходов, который вызвал его.

Сделаем допущение, что инвестиции в экономике увеличились на 10 млрд. руб. Если по этой причине национальный или совокупный доход возрастет на 30 млрд. руб., то в данной экономике мультипликатор является равным 3. Если же увеличение дохода, которое вызвано дополнительными инвестициями, составило бы 50 миллиардов рублей, то мультипликатор был бы равным 5.

Очевиден факт того, что прирост инвестиций в развитие базы производства в коротком периоде не может привести к быстрой отдаче в форме возрастания выпуска готовой продукции. В чем же кроется причина эффекта мультипликатора?

Итак, цепная реакция доходообразования, роста расходов и расширения производства захватывает отрасли, которые все более отдалены друг от друга. Появляется в некотором роде эффект кругов по воде. При этом по мере расширения этого процесса интенсивность эффекта возмущения становится меньше. Затухание можно объяснить тем, что не весь доход, который получен на каждой стадии, тратится на новое потребление, то есть снова превращается в чей-то доход. На каждой новой стадии доля дохода, который был получен, сберегается и таким образом, исключается из последующего доходообразования. А это говорит о том, что сила мультипликационного эффекта имеет зависимость от того, сколько дохода будет поступать на каждую следующую стадию, то есть от предельной склонности к потреблению МРС участников цепочки событий.

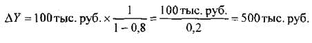
Для оценки величины эффекта мультипликатора совершим обращение к примеру условного характера, позволяющему понять, по какой причине мультипликатор всегда превышает единицу. Сделаем допущение, что на существующие 100 тыс. руб. некий предприниматель решил построить кирпичный завод. По причине осуществления этого инвестиционного проекта работники, которые участвуют в строительстве, получат дополнительного дохода на 100 тысяч рублей. Далее произойдет следующее. Если каждое лицо в экономике может быть охарактеризовано предельной склонностью к потреблению 0,8, то 80 тыс. руб. ими будет потрачено на приобретение новых услуг и товаров. Именно на данную сумму у продавцов снизятся запасы товаров. В качестве реакцией производителей на снижение запасов выступит возрастание объема производства на 80 тысяч рублей, вслед за чем 0,8 данной суммы другие работники, которые получили ее, потратят на собственное потребление (64 тыс. руб.). Данный процесс будет продолжаться непрерывно так, что на каждом следующем этапе расходы будут составлять 80% от расходов, которые совершены на предыдущем этапе.

Данная непрекращающаяся цепь расходов вторичного характера вызывается только тем, что нашим предпринимателем были осуществлены инвестиции первоначального характера в размере 100 тысяч рублей. Но хоть теоретически данная цепь конца и не имеет, не так уж трудно обратить внимание, что в реальности она стремится к конечной величине, поддающейся арифметическому вычислению:

тысяч рублей дохода - 100 тыс. х 0,8 (потребление)

тысяч рублей дохода - 80 тыс. х 0,8 (потребление)


Сумма увеличивающего дохода будет равна:

тысяч + 80 тысяч + 64 тысяч +... = 100 тысяч (1 + 0,8 + 0,82 + 0,83 +...).

Предел суммы прогрессии геометрического типа будет выглядеть так:


В данном уравнении 100 тыс. руб. является приростом инвестиций dI, а знаменатель дроби (1-0,8) является величиной, равной (1-MPC).


Итак, в соответствии с расчетом, что если МРС = 0,8, то мультипликатор будет равным 5. Он включает единицу изначальных инвестиций и четыре единицы вторичных или дополнительных расходов потребительского характера. Такой же результат можно получить, если применить концепцию предельной склонности к сбережению MPS. Если МРС = 0,8, то MPS = 0,2:

Общая формула мультипликатора обладает следующим видом:

 (2)

Из этой формулы следует вывод, что, чем предельная склонность к потреблению больше (а предельная склонность к сбережению меньше), тем мультипликатор больше. А это говорит о том, что тем больше будет в итоге прирост национального дохода за счет прироста инвестиций.

Еще раз стоит отметить, что мультипликационный эффект может быть вызван любыми автономными затратами, а не только частными инвестициями. Подразумевается изменение величин экспорта, государственных закупок, автономного потребления.

Само проявление эффекта мультипликатора подразумевает существование некоторых условий. В первую очередь, он наблюдается в экономике, которая находится в глубоком кризисе, в которой большая безработица и имеет место недоиспользование мощностей производства. Увеличением расходов посредством мультипликатора обеспечивается большая полнота использования ресурсов, которые уже имеются в обществе. Сам по себе мультипликатор не имеет свойства умножения производственных факторов. Если бы в экономике наблюдалась полная занятость, то увеличение расходов нашло бы выражение в росте цен и инфляции, так как было бы превышение спроса совокупного типа над совокупным предложением.

Специфика мультипликационного эффекта заключена в том, что это «механизм с двумя лезвиями»: он способен вести как к усилению роста национального дохода, так и его сокращению.

В качестве дестабилизирующего фактора мультипликатор тем сильнее, чем больше MPS, и наоборот. Для понимания этой зависимости рассмотрим необычное явление, которое называется парадоксом бережливости [6, с. 175]. Сущность его, как показано Дж. Кейнсом, заключена в том, что стремление людей к сбережению будет опережать стремление бизнесменов к инвестированию, вследствие чего сократится прирост национального дохода.

Это явление будет наблюдаться, прежде всего, в результате того, что с увеличением накопления капитала сокращается предельная эффективность его функционирования, поскольку происходит все большее сужение круга возможностей альтернативного характера высокоприбыльных вложений капитала; кроме того, по причине того, что с увеличением доходов происходит увеличение доли сбережений, так как S =f(Y). Исключение - это инфляционный перегрев экономики на уровне потенциального выпуска Y*. В этом случае возрастание сбережений общественно желательно, поскольку ведет к уменьшению совокупного спроса и помогает обуздать инфляцию, а значит, вызывает рост благосостояния.

Цепь связей в экономической сфере выглядит так: расходы автономного характера в результате действия мультипликатора ведут к увеличению национального дохода, а следовательно, к росту сбережений. Сформировавшиеся сбережения при оживлении деловой активности выступают в качестве источники инвестиций дополнительного характера, которые называются индуцированными или производными, так как они имеют зависимость от увеличившегося дохода. В свою очередь, производные инвестиции вместе с инвестициями первоначального, т. е. автономного типа, ведут к усилению экономического роста и ускорению его.

Итак, «парадокс бережливости» демонстрирует, что все попытки увеличения сбережений ведут к тому, что снижаются инвестиции и производство, сокращаются доходы и, значит, уменьшаются сбережения. Сокращение объема производства будет происходить, пока доход не снизится так, что желаемый размер сбережений будет уравнен с желаемым размером инвестиций. Но возрастание сбережений говорит о сокращении потребления. Таким образом, происходит уменьшение доходов производителей, так как расходы определенных субъектов экономики являются доходами других. Если кто-то смог сберечь больше, то лишь потому, что кому-то другому пришлось взять в долг или расстаться с собственными сбережениями. Попытки существенной части населения сократить потребление (для того, чтобы увеличить сбережения) станут причиной сокращения национального дохода.

2.2 Стимулирование совокупного спроса в экономике России


В настоящее время в российской экономике наблюдается понижательная тенденция экономического развития. Все это, на наш взгляд, является результатом политики, которая построена на краткосрочный период, а планы по развитию реализуются не полностью. За 20 лет политика импортозамещения идет очень медленно, экспорт по большей части связан с природными ресурсами и рядом объектов военной промышленности. Слабеющий без конца рубль, череда новых запретов и санкций, снижение импорта и медлительность процессов, связанных с импортозамещением... Действительно ли мы достигли «экономического дна» и в ближайшем будущем стоит ждать резкого подъёма и всплеска? Появится ли драйвер, который вызовет бурный рост экономики? Вопросы весьма актуальные. Без активного и плодотворного вмешательства государства на данном этапе развития российской экономике точно не обойтись.