Материал: Составление схемы замещения

Внимание! Если размещение файла нарушает Ваши авторские права, то обязательно сообщите нам

 

 

 

 

 

Преобразуем схему нулевой последовательности относительно точки К(n).

 (56)

   (57)

 (58)

 (59)

Представим схему нулевой последовательности после преобразований.




Рисунок 10 - Преобразованная схема нулевой последовательности


(60)

Произведем расчет однофазного КЗ.

       (61)

  (62)

 (63)

 (64)

 (65)

 (66)

 (67)

 (68)

 

 (69)

 

Представим векторные диаграммы токов и напряжений.














Рисунок 11 - Векторная диаграмма токов однофазного КЗ










Рисунок 12 - Векторная диаграмма напряжений однофазного КЗ

Рассчитаем двухфазное КЗ.

  (70)

 (71)

 (72)

 (73)

 (74)

Представим векторные диаграммы токов и напряжений.












Рисунок 13 - Векторная диаграмма токов двухфазного КЗ







Рисунок 14 - Векторная диаграмма напряжений двухфазного КЗ

Произведем расчет двухфазного КЗ на землю.

            (75)

  (76)

       (77)

 

        (78)

 

 (79)

 

Представим векторные диаграммы токов и напряжений.














Рисунок 15 - Векторная диаграмма токов двухфазного КЗ на землю










Рисунок 16 - Векторная диаграмма напряжений двухфазного КЗ на землю

4.
Расчет предела передаваемой мощности и коэффициента статической устойчивости

Представим схему замещения без учета системы.













Рисунок 17 - Схема замещения без учета системы

Произведем преобразование схемы относительно точки КЗ.

 (80)

 (81)

  (82)

        (83)

(84)

            (85)

(86)

             (87)

(88)

(89)

             (90)

Представим полученную схему.


Рисунок 18 - Преобразованная схема замещения без учета системы

 (91)

 (92)

 (93)

 (94)

    (95)

Принимаем , .

 (96)

    (97)

Рассчитаем предел передаваемой мощности без учета АРВ.

(98)

  (99)

 

Произведем проверку правильности расчета.

 (100)

Без учета АРВ .

(101)


    (102)


Рисунок 19 - Схема замещения без учета АРВ

Произведем необходимый расчет для построения диаграммы (в нормальном и максимальном режимах).

Нормальный режим.

   (103)

 

   (104)

 (105)

   (106)

 (107)

 (108)

(109)

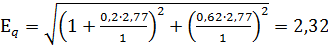
Максимальный режим.

   (110)

 

 (111)

  (112)

      (113)

 (114)

      (115)

 (116)

 (117)

   (118)












Рисунок 20 - Векторная диаграмма

Рассчитаем предел передаваемой мощности с учетом АРВ.

  (119)

     (120)

     (121)

     (122)

       (123)

             (124)

            (125)

(126)

(127)

(128)

             (129)


Рисунок 21 - Схема замещения

 

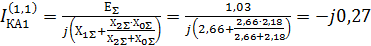
 (130)

 (131)

    (132)

      (133)

 (134)

 

Определим , для этого продифференцируем следующее выражение:

       (135)

         (136)

(137)

                                                        (138)

                                             (139)

                                           (140)

      (141)

В ходе выполнения математических действий получим, что . Тогда .

   (142)

 

Определим коэффициент статической устойчивости.

     (143)

Нормальный режим.

 

 

 

 

 

 

 

Максимальный режим.

 

 

(144)

      (145)

      (147)

 (148)

 (149)

   (150)

Список литературы

1.          Ульянов С.А. Электромагнитные переходные процессы. - 1970.

2.      Веников В.А. Переходные электромеханические процессы в электрических системах. - М.: Высшая школа, 1985. - 536 с.

.        Ахметбаев Д.С. Методические указания к выполнению курсовой работы.