Материал: Шох М.А. Основы функционирования ресурсных рынков

Внимание! Если размещение файла нарушает Ваши авторские права, то обязательно сообщите нам

к максимизации прибыли заставляет их разрабатывать и внедрять новые технологии, позволяющие меньше применять дорогие ресурсы;

именно сложившиеся на рынке ресурсов цены становятся основой формирующихся в процессе производства экономических издержек, что

всвою очередь влияет на величину предложения на товарных рынках1;

цены, сложившиеся на ресурсных рынках, – это фактически и есть

главная составляющая доходов домохозяйств (в виде ренты, процента и заработной платы), от величины которых в дальнейшем во многом будет зависеть также и рыночный спрос2.

1.2. Механизм функционирования ресурсных рынков

Рассмотрим особенности функционирования механизма ресурсного рынка.

В первую очередь они проявляются в том, что именно ограниченность ресурсов является главной причиной ограниченности производства и, следовательно, ограниченности предложения. Это объясняет также и устойчивость спроса на них. Как уже указывалось, спрос на экономические ресурсы формируют фирмы, и его величина определяется тем количеством ресурсов, которые фирмы могут и хотят приобрести по сложившимся ценам в данное время и в данном месте. Однако поскольку ресурсы приобретаются фирмой не для конечного потребления, а для дальнейшей переработки, производства и продажи готовой продукции, то очевидно, что спрос на ресурсы будет зависеть также и от того, каков будет спрос на товар, производимый из данных ресурсов. Таким образом, спрос на ресурсы носит производный характер и формируется уже после того, как сложился спрос на готовую продукцию.

Другой важнейшей особенностью ресурсных рынков является то, что владелец ресурса не передает покупателю свой ресурс в собственность, а предоставляет ему право пользования этим ресурсом: нельзя купить человека в собственность на рынке труда, наем работника предполагает только то, что фирма будет пользоваться физическими и умственными способностями этого человека, приобретение капитала под процент всегда осуществляется на условиях срочности и возвратности, при рассмотрении рынка земли также предполагается, что природные ресурсы поступают покупателю в пользование, а не в собственность.

Для анализа спроса на ресурсы в краткосрочном периоде построим упрощенную модель производства и допустим, что:

– фирма функционирует только в краткосрочном периоде (до 3 лет);

1 См.: Зенова Е.Н. Маркетинговая деятельность: учебное пособие. Курск, 2017.

2 См.: Минервин И.Г. Ресурсная экономика в России и мире: дары природы и человеческий фактор // Россия и современный мир. 2014. № 3 (84). С. 628.

11

производственный процесс фирмы строится на использовании только двух факторов – труда (L), который является переменным фактором,

икапитала (К), который в краткосрочном периоде является постоянным фактором;

фирма приобретает ресурсы на совершенно конкурентных ресурсных рынках;

рынок, на котором фирма продает произведенные ею из приобретенных ресурсов товары, является также совершенно конкурентным1.

Как известно, в соответствии с производственной функцией объем выпуска продукции напрямую зависит от количества использованных ресурсов:

Q = f (K; L) (1),

где Q – объем выпускаемой продукции;

К – количество используемого в производстве капитала; L – количество используемого в производстве труда.

Увеличивая применение ресурсов (в данном случае увеличивая количество труда, то есть переменного ресурса L), фирма наращивает объем выпускаемой продукции Q. Однако также известно, что в определенный мо-

мент времени вступает в силу закон убывающей отдачи и, несмотря на вовлечение в производство все большего количества труда, отдача от него, то есть предельный продукт труда МРL, постепенно сокращается, что выража-

ется в более медленных темпах прироста объема выпускаемой продукции Q. Таким образом, фирма встает перед проблемой определения наиболее эф-

фективного количества используемого труда.

Для определения этого количества необходимо определить не только величину предельного продукта привлекаемого ресурса (в данном случае – труда), но и величину предельного продукта в денежном выражении, или предельной доходности ресурса.

Фирма, нанимая дополнительного работника, понимает, что его вовлечение в производство означает, что у нее возникнут в связи с этим дополнительные затраты – предельные издержки МС и дополнительный доход – MRPL. Таким образом, предельная доходность труда MRPL пред-

ставляет собой прирост общего дохода фирмы в результате использования дополнительной единицы труда и определяется по формуле:

или . (2),

где MRPL – предельная доходность труда;

TR – дополнительный доход, полученный фирмой в результате ис-

пользования дополнительного количества труда;

1 См.: Тавбулатова З.К. Отраслевые закономерности функционирования рынков капи-

тала и труда в структуре экономики ресурсов // Сегодня и завтра российской экономики. 2013. № 58. С. 86–92.

12

L – количество дополнительно использованного в производстве

труда.

Как уже говорилось в начале анализа, фирма продает свою продукцию на рынке совершенной конкуренции, а это значит, что предложение данной фирмы на рынке абсолютно эластично и цена, по которой фирма продает свою продукцию, не зависит от объема ее выпуска, а, следовательно, равна предельному доходу фирмы (P = MR). Тогда предельная доходность труда может также определяться через предельный продукт труда MPL:

, (3),

где MRPL – предельная доходность труда; TR – общий доход фирмы;

L – количество используемого труда;

Р – рыночная цена выпускаемой продукции; Q – количество выпускаемой продукции; MPL – предельный продукт труда;

MR – предельный доход фирмы.

Данное равенство будет иметь силу не только для рынка труда, но и для любого конкурентного ресурсного рынка. Кроме этого, оно является справедливым независимо от того, какова структура рынка, на котором продается товар, изготовленный из данного ресурса.

Продолжим анализ спроса на ресурсном рынке далее. Как уже говорилось, фирма, привлекая дополнительный ресурс, несет дополнительные затраты – предельные издержки МС. В случае найма дополнительного работника на конкурентном рынке труда эти издержки составляют цену единицы труда, или заработную плату нанятого работника w. При этом очевидно, что

фирма будет нанимать дополнительных работников, платя каждому из них заработную плату w до тех пор, пока предельная доходность нанятого работника MRPL (заметим, что c каждым следующим работником она уменьша-

ется вследствие действия закона убывающей отдачи и сокращения предельного продукта MPL) не сравняется с предельными издержками MC, возникающими в связи с наймом этого работника, то есть с его заработной платой w.

В этом случае прирост прибыли за счет привлечения дополнительного ресурса (найма дополнительных работников) прекращается: Pr = 0.

Докажем это утверждение.

Предположим, что производственная функция представляет собой уравнение:

Qx = f (L) (4),

где Qx – объем выпуска товара Х;

L – объем применяемого переменного ресурса, в данном случае – труда.

13

Известно, что предельный продукт труда MPL – это дополнительный объем продукции Qx, полученный в результате найма дополнительных работников L, то есть:

(L), (5),

где MPL – предельный продукт труда;

Qx – дополнительный объем выпускаемой продукции;

L – количество дополнительно использованного в производстве

труда.

В то же время прибыль фирмы Pr – это разница между общим доходом

фирмы TR и ее общими издержками TC:

Pr = TR TC, (6),

где Pr – получаемая фирмой прибыль; TR – общий доход фирмы;

TC – общие издержки фирмы.

Вместе с тем, общий доход фирмы TR – это произведение объема выпущенной продукции Qx и ее цены Рх:

TR = РхQx, (7),

где TR – общий доход фирмы;

Рх – рыночная цена выпущенного фирмой товара Х; Qx – количество выпускаемого фирмой товара Х.

В свою очередь общие издержки фирмы ТС – это сумма постоянных издержек FC и переменных издержек VC:

ТС = FC + VC, (8),

где TC – общие издержки фирмы;

FC – постоянные издержки фирмы;

VC – переменные издержки фирмы.

При этом в нашем случае переменные издержки VC – это издержки, связанные с наймом работников, поэтому они зависят от их количества L и их заработной платы w:

VC = wL, (9),

где VC – переменные издержки фирмы;

w – заработная плата работников (цена единицы труда); L – количество используемого труда.

Тогда общие издержки ТС составят:

ТС = FC + VC = FC + wL, (10),

где TC – общие издержки фирмы;

FC – постоянные издержки фирмы;

14

VC – переменные издержки фирмы;

w – заработная плата работников (цена единицы труда); L – количество используемого труда.

Исходя из этого прибыль фирмы будет равна:

Pr = TR TC = РхQx (FC + wL) = Рхf(L) (FC + wL), (11),

где Pr – получаемая фирмой прибыль; TR – общий доход фирмы;

TC – общие издержки фирмы;

Рх – рыночная цена выпущенного фирмой товара Х; Qx – количество выпускаемого фирмой товара Х; FC – постоянные издержки фирмы;

w – заработная плата работников (цена единицы труда); L – количество используемого труда.

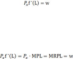
Согласно условию максимизации прибыли она достигает своей наибольшей величины в точке оптимума тогда, когда ее рост прекращается, то есть, как уже говорилось ранее, Pr = 0, или при равенстве нулю производной функции прибыли по переменному ресурсу L:

, (12),

где Pr – получаемая фирмой прибыль; L – количество используемого труда.

Тогда:

, (13),

где Pr – получаемая фирмой прибыль; L – количество используемого труда;

Рх – рыночная цена выпущенного фирмой товара Х; FC – постоянные издержки фирмы;

w – заработная плата работников (цена единицы труда).

или:

(14),

где Рх – рыночная цена выпущенного фирмой товара Х; L – количество используемого труда;

w – заработная плата работников (цена единицы труда).

Как уже указывалось, fˋ(L) – это предельный продукт труда MPL, а предельная доходность труда MRPL – это произведение предельного продукта труда MPL и цены произведенного товара Рх, то, следовательно:

(15),

где Рх – рыночная цена выпущенного фирмой товара Х;

15