· Частотна (ЧМ) - тип модуляції, при якому частота вихідного сигналу змінюється в залежності від миттєвого значення інформаційного сигналу, інформаційний сигнал управляє частотою несучого сигналу.
ω = ω0 + ∆ω·U(t)
В порівнянні з амплітудною модуляцією, при ЧМ - амплітуда залишається постійною.
Частотна модуляція застосовується для високоякісній передачі аудіо сигналу в радіомовленні (у діапазоні УКХ), для звукового супроводу телепередач, відеозаписі на магнітну стрічку, музичних синтезаторах. Висока якість кодування аудіосигналу обумовлена тим, що при частотній модуляції застосовується велика (в порівнянні з шириною спектру сигналу амплітудної модуляції) девіація несучого сигналу. Девіація - найбільше відхилення частоти модульованого радіосигналу від значення його несучої частоти. А в приймальній апаратурі використовують обмежувач амплітуди радіосигналу для ліквідації імпульсних перешкод.
· Фазова (ФМ) - це схема перетворення (модуляція) при якому під керуванням вхідного сигналу змінюється фаза несучого сигналу (звичайно синусоїдального).
· Амплітудно-фазова (АФМ)
· Квадратурна амплітудна (КАМ)
· Модуляція з неперервною фазою (МНФ)
· Частотна модуляція з мінімальним зсувом
· Гауссова модуляція з мінімальним частотним зсувом
· Багатоканальна модуляція (розділення з мультиплексуванням каналів)
б. Способи прийому:
· при когерентному
прийомі опорне коливання
представляє
собою точну копію сигналу S(t). Де S0(t)- гармонічний сигнал, а S(t)-
представляється коливанням з відомого частотою і фазою. Якщо використовується S(t),
то в приймачі використано синхронний детектор в якому опорне коливання
синхронізується та фазово узгоджується у відповідності до S0(t). Після
цього сигнал потрапляє на ФНЧ , що є інтегратором , який виділяє огибаючу
радіосигналу, тобто виділяє відеосигнал.
· при некогерентному прийомі початкова фаза прийнятого сигнала не враховується , тому в схемі приймача можна використовувати не синхронний, а амплітудний детектор, як правило квадратичний.
Відношення сигнал/шум при некогерентному прийомі буде меншим ніж при когерентному
3) Параметри каналу зв’язку
а) Ширина смуги
пропускання каналу
-
визначається смугою частот модульованого сигналу. Різниця між верхньою і
нижньою частотами пропускання каналу
б) Тривалість Тк - інтервал часу впродовж якого по каналу можна передавати сигнал.
в) Динамічний
діапазон
- логарифм
відношення найбільшої (максимальної) потужності що може передати канал до
мінімальної потужності - потужності шумів в каналі.
г) Об’єм каналу
-
чисельно дорівнює добутку ширини
спектру, динамічного діапазону і тривалості
=
.
При умові що ємність каналу вища ніж ємність
сигналу - по каналу можна передати цей сигнал.
.3 Часові діаграми характерних сигналів на входах і виходах блоків
Рис.3. Процес перетворення
дискретного повідомлення в сигнал і зворотнє перетворення сигнала у
повідомлення
2. Розрахунок інформаційних характеристик джерела повідомлень
Повідомлення неперервного джерела перетворюється в первинний аналоговий сигнал b(t) зазвичай без втрати інформації, тому розрахунки інформаційних характеристик джерела проводяться для первинного сигналу.
Вихідні дані для розрахунку:
- густина ймовірності миттєвих значень первинного сигналу при Двосторонньому експоненційному розподілі (ДЕР) р(b);
максимальна частота спектра первинного сигналу Fmax = 7,5 КГц;
відношення середньої потужності первинного сигналу до середньої потужності помилки відновлення на виході системи передавання дорівнює ρвих.доп = 36 дБ.
Підлягають розрахунку:
епсілон-ентропія джерела
;
коефіцієнт надлишковості
джерела
;
продуктивність джерела
.
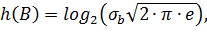
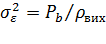
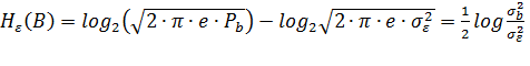
1) Розрахунок епсилон-ентропії джерела Hε(B).
Мінімальна кількість інформації, що
міститься в одному повідомленні
відносно
,
при якому вони все ще еквівалентні, називається епсилон-ентропією.
Епсилон-ентропія джерела
розраховується за формулою:
(2.1)
де h(B) - диференціальна ентропія;
- умовна ентропія.
Диференціальна ентропія залежить від
виду розподілу імовірності P(b) та дисперсії сигналу
.
Для нормального розподілу:
(2.2)
Нормальний розподіл ймовірності
визначається за формулою (2.3):
(2.3)
Середнє значення первинного сигналу
дорівнює нулю, то
. Помилка
відтворення на виході системи передачі є гаусівською, тому умовна ентропія
дорівнює:
(2.4)
де
-
дисперсія помилки відтворення(потужності перешкоди на виході системи
передавання).
Підставимо формули (2.2) та (2.3) в
формулу (2.1) і отримаємо вираз для визначення епсилон-ентропії:
,
,
(2.5)
У даному випадку дисперсія сигналу,
рівна:
=
2,5 Вт, а також константи:
= 3,14;
=
2,718.
Підставляючи числові значення, при
цьому переведемо дБ в рази за формулою
(2.6)
матимемо наступне:
(2.7)

.
Рис.4. Графік для Двостороннього
експоненційного розподілу
2) Розрахунок коефіцієнта надлишковості джерела χ.
Коефіцієнт надлишку джерела
обчислюється за формулою :
(2.8)
де Hε(B) - епсилон-ентропія джерела;
Hmax -
максимально можливе значення Hε(B) що
досягається за нормального розподілу ймовірності сигналу b(t) на тій самій
дисперсії сигналу
.
(2.9),
де
раз
За вище розрахованим отримуємо:
(2.10)
Причини надлишковості джерела.
Надлишковими в джерелі вважаються ті повідомлення, які переносять малу, а іноді і нульову кількість інформації. Час на їхню передачу затрачується, а інформації передається мало.
Присутність надлишковості означає, що частину повідомлень можна і не передавати по каналу зв’язку, а відновити на прийомі по відомих статистичних зв’язках.
Основними причинами надлишковості являються :
1. Різні значення імовірності окремих повідомлень.
2. Присутність статистичних зв’язків між повідомленнями джерела
3)
Розрахунок продуктивності джерела
.
Продуктивність джерела
(2.11) яку
називають епсилон-продуктивністю, обчислюють за умови, що відліки беруться
через інтервал Котельнікова, за формулою:
(2.12)
де Fc - максимальна частота спектра первинного сигналу Fmax , тобто Fc = Fmax = 7,5 КГц.
(біт/с),
Отже ,будемо мати рівність:
(біт/с).
Вимоги до пропускної можливості каналу зв’язку.
Найбільше значення швидкості R
передачі інформації по каналу зв’язку при заданих обмеженнях називають
пропускною можливістю каналу, яка вимірюється в [біт/с] :
С = max R(2.13)
Під заданими обмеженнями розуміють
тип каналу (дискретний або неперервний ), характеристики сигналів та завад .
Пропускна можливість каналу зв’язку характеризує потенційні можливості передачі
інформації. Вони описані в фундаментальній теоремі теорії інформації, відомій
як основна теорема кодування К.Шенона. Для дискретного каналу вона формулюється
слідуючим чином : якщо продуктивність джерела
менше
пропускної можливості каналу C, тобто
,
то існує спосіб кодування (перетворення повідомлень в сигнал на вході ) та
декодування ( перетворення сигналу в повідомлення на виході каналу), при якому
імовірність помилкового декодування дуже мала.
Пропускна можливість каналу, як
граничне значення безпомилкової передачі інформації, являється одною з основних
характеристик будь-якого каналу. Знаючи пропускну можливість каналу та
інформаційні характеристики повідомлень (первинних сигналів) можна передавати
по заданому каналу.
3. Розрахунок перешкодостійкості демодулятора
дискретний повідомлення декодер зв'язок
Вихідні дані:
- допустиме відношення сигнал/шум на виході демодулятора ρвих.доп = 36 дБ;
метод модуляції - амплітудна модуляція(АМ);
Необхідно розрахувати:
- залежність rвих = f(rвх);
необхідне відношення середніх потужностей сигналу й шуму на вході демодулятора ρвх.н..
1) Розрахунок відношення середніх потужностей сигналу й шуму на вході демодулятора.
Основною характеристикою
демодулятора сигналу аналогової модуляції є залежність rвих
= f(rвх), яка
встановлює зв’язок між відношенням середніх потужностей сигналу й шуму на вході
демодулятора rвх = Ps/Pn
і відношенням середніх потужностей сигналу й шуму на виході демодулятора rвих=Pb/Pe.
Відношення rвих
і rвх
визначає виграш демодулятора і обчислюється за формулою:
rвих = grвх
(3.1)
Для сигналів амплітудної модуляції
(АМ) величина виграша g не залежить від rвх.і
визначається за формулою:
(3.2)
Порогове відношення сигнал/шум суттєво залежить від mЧМ і Ка. Для визначення значення rпор за заданими mЧМ і Ка розраховують залежність rвих = gЧМrвх, коли gЧМ визначається формулою (6.2). Приклад такої залежності наведений на рис. 4 - значення rвих і r вх подані в децибелах. Значення rпор відповідає такому значенню rвх, нижче якого зменшення rвх призводить до різкого зменшення rвих. Режим роботи демодулятора, коли rвх < rпор, не є робочим. Орієнтовне значення rпор дорівнює 10 дБ.
За отриманими залежностями
можна визначити значення mЧМ, при якому rвих дорівнює
заданому
, а
знаходиться
в області або трохи вище порога.
Тому,
≈ 10,48 дБ.
Рис.2. Графік залежності rвих=f(rвх)
4.
Розрахунок основних параметрів цифрової системи передавання
4.1 Зобразимо структурну схему
цифрової системи передавання методом ІКМ з використанням у каналі зв'язку
перешкодостійкого кодування й дискретної модуляції гармонічного переносника
Рис.6. Структурну схему цифрової
системи передавання
1) Джерело повідомлення - призначено для подачі в систему аналогового сигналу. Джерело (передавач) і одержувач (приймач) служать для обміну деякою інформацією. В одному випадку відправником і одержувачем інформації служить людина, в іншому випадку це може бути комп'ютер (так звана телеметрія).
2) АЦП, Аналого-цифровий перетворювач - пристрій, що перетворює вхідний аналоговий сигнал в дискретний код (цифровий сигнал). Як правило, АЦП - електронний пристрій, що перетворює напругу в двійковий цифровий код.
3) Кодер коректуючого коду - призначений для підвищення завадостійкості цифрової системи передачі (ЦСП), шляхом внесення в коди залишку.
4) Модулятор - пристрій, що здійснює модуляцію сигналів. Він призначений для узгодження сигналу із каналом зв’язку та для ущільнення каналу.
Взагалі, модуляція - процес зміни одного або декількох параметрів високочастотного несучого коливання по закону низькочастотного інформаційного сигнала(повідомлення). Інформація що передається вкладається у керуючий(модулюючий) сигнал, а роль переносника інформації виконує високочастотне коливання, що називається несучим. Модуляція, таким чином, представляє собою процес накладання інформаційного коливання на заздалегідь відому несучу.
В результаті модуляції спектр низькочастотного модулюючого сигнала переноситься у область високих частот. Що дозволяє організувати функціонування усіх прийом-передача пристроїв на різних частотах.
При гармонічній несучій залежно від виду модуляції розрізняють амплітудні, частотні й фазові модулятори. Аналогічно при імпульсній несучій, коли модулятор здійснює імпульсну модуляцію, розрізняють амплітудно-, широтно-, частотно- та фазоімпульсні модулятори.
Модулятори широко застосовують у різних галузях техніки, пов’язаних з передаванням чи перетворюванням сигналів (повідомлень), зокрема, в техніці зв’язку та автоматичного регулювання, вимірювальній техніці тощо. Приклад застосування модулятора в гірничій справі - в диспетчерських системах дистанційного контролю включеного-виключеного стану апаратів та механізмів.