Материал: Решение задач

Внимание! Если размещение файла нарушает Ваши авторские права, то обязательно сообщите нам

По формулам:  проекция суммы векторов на какую-нибудь ось равна алгебраической сумме проекций этих векторов на ту же ось

ax = a1x + a2x + a3x + ... + anx;           ay = a1y + a2y + a3y + ... + any;      az = a1z + a2z + a3z + ... + anz.          

Имеем

X = X1 + X2 + X3;  X = 1, Y = Y1 + Y2 + Y3;  Y = 2, Z = Z1 + Z2 + Z3Z = 8.

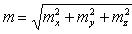
По формуле длины вектора

величина равнодействующая R будет равна корню квадратному из суммы квадратов проекций   на координатные оси:

По формулам

находим направляющие косинусы равнодействующей

Задача 17.

Дана сила   и точка ее приложения A(2, -1, 3). Найти момент силы относительно начала координат и углы, составляемые им с координатными осями.

Решение.

Момент силы относительно начала координат равен векторному произведению радиуса-вектора точки A приложения силы на силу  ,

т. е.  .

Если вектор имеет начало в начале координат,

а его конец A имеет координаты x, y и z, то тогда его проекции на координатные оси равны координатам его конца:

ax = x; ay = y; az = z.

В этом случае вектор называется радиусом-вектором точки A.

Радиус-вектор точки обозначается обыкновенно через (см. рисунок):

     

а модуль радиуса-вектора точки A(x, y, z) вычисляется по формуле

     

Проекция радиуса-вектора точки A на координатные оси равны координатам точки A :

rx = x = 2;  ry = y = -1;  rz = z = 3;

Проекции XYZ силы   на координатные оси нам также известны из условия задачи:

X = 3;  Y = 4;  Z = -2,

Выражение векторного произведения через проекции векторов и на координатные оси прямоугольной системы координат дается формулой

     

и тогда для нашего случая 

Отсюда

mx = -10;  my = 13;  mz = 11;

и модуль момента

Направляющие косинусы вектора   равны

а углы, составляемые моментом силы с координатными осями, следующие:

Контроль: должно быть  .

У нас  .