Материал: Решение задач

Внимание! Если размещение файла нарушает Ваши авторские права, то обязательно сообщите нам

Решение задач

Задача 1.

При каких значениях α и β  вектор   перпендикулярен вектору  , если  ?

Решение.

Так как  , то  =3;

откуда β = ±2.

Векторы   и   перпендикулярны, тогда, когда  ,

т. е. 3·2 + (-1)·β + α·1 = 0; откуда α = β - 6.

При β = 2, имеем α = 2 - 6 = -4;

при β = -2, имеем α = -2 - 6 = -8.

Задача 2.

Два вектора   и   определены своими проекциями  {7, 2, -1} и

  {1, 2, -3}. Найти скалярное произведение этих векторов и угол между ними.

Решение.

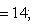
По формуле

подставляя сюда проекции данных векторов, получим

по формуле

откуда

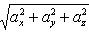
Таким образом, для определения   нам осталось определить модули векторов   и  .

По  формуле длины вектора (модуль вектора)

Отсюда

получаем, что

Задача 3.

Определить угол между векторами   и  , заданными своими проекциями  {2, 1, -2},  {1, -4, 2}.

Решение.

По формуле угла между векторами

     

Все величины, стоящие в числителе этой дроби, известны из условия задачи. Неизвестными являются модули векторов   и 

Подставляя в      числа, получим  ;

Задача 4.

Найти площадь параллелограмма, построенного на векторах 

.

Решение.

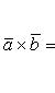
По определению векторного произведения двух векторов модуль векторного произведения равен площади параллелограмма, построенного на этих векторах. Поэтому для решения задачи найдем сначала векторное произведение   , а потом его модуль.

Векторное произведение   равно

имеем

а модуль (длина) этого вектора

Искомая площадь параллелограмма

S = 19,26 кв. ед.

Замечание.

Векторное произведение   можно было определить по формуле

в которой следует взять

ax = 5;  ay = -4;  az = 7;

bx = 1;  by = 1;  bz = -2.

Задача 5.

Векторы    и    определены координатами своих концов: 

A(2, 4, 5);  B(-1, -3, -2);  C(4, 1, 7);  D(-2, 3, 10).

Найти: 1) векторное произведение  ;

2) его модуль;

3) направляющие косинусы векторного произведения.

Решение.

1) Найдем прежде всего проекции векторов   и   на координатные оси по формулам

ax = x2 - x1ay = y2 - y1az = z2 - z1,

Итак,   .

Тогда по формуле