Тепловой расчет
5.1 Расход тепла в подогревателе исходной смеси
где

Начальную температуру исходной смеси принимаем равной средней температуре воздуха в летнее время в месте строительства установки.
При

Значение
теплоемкостей ацетона и воды при данной
температуре: Са=2,22
,
Сb=4,17



5.2 Расход греющего пара в подогревателе исходной смеси

Значение
удельной теплоты парообразования
греющего пара
[9].

5.3 Расчет количества отводимой теплоты в холодильнике дистиллята
где
При
.
Значение
теплоемкостей ацетона и воды при данной
температуре: Са=2,22
,
Сb=4,17
[8,9]

.
5.4 Расчет количества отводимой теплоты в холодильнике кубового остатка
где
При

Значение
теплоемкостей ацетона и воды при данной
температуре: Са=2,31
,
Сb=4,18
[8,9]


5.5 Расчет количества отводимой теплоты в конденсаторе-дефлегматоре
Справочные данные при температуре t2=57,2°С:
Значение
удельных теплот парообразования
ацетона и воды: ra=500
,
rb=2362
[9,10]



5.6 Расчет подводимой теплоты в куб-испаритель

Найдем значения удельных теплоемкостей при заданной температуре




5.7 Расход греющего пара в кубе-испарителе

Значение
удельной теплоты парообразования
греющего пара
[9].

Всего:

5.8 Расчет тепловой изоляции кубового испарителя
Толщина слоя тепловой изоляции рассчитывают по уравнению:


-
изоляционный материал – шлаковая
вата;
– допускаемая
температура изоляционного слоя со
стороны окружающей среды;
– температура
изоляционного слоя со стороны аппарата.
–
средняя
температура воздуха в Москве в январе.


6. Аппаратурное оформление ректификационной установки
6.1 Расчет и подбор теплообменной аппаратуры.
6.1.1 Расчет и подбор подогревателя исходной смеси.
Начальную
температуру исходной смеси принимаем
равной средней температуре воздуха в
летнее время в месте строительства
установки
.
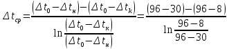
Средняя
разность температур:



Ориентировочный
коэффициент теплопередачи от
конденсирующегося пара к органическим
жидкостям задается от 120
до 340
Примем равным
.
Ориентировочная
площадь поверхности теплообмена
находится по формуле:


Параметры выбранного одноходового теплообменника: nтр=100, d=20x2 мм, l=2 м, F=12,5 м2, D=325 мм, S=0,02 м2 [2, стр. 51, табл. 2.3].
Расход охлаждающей воды:
принимаем




Ориентировочное значение площади теплообмена:
,
где
– ориентировочный коэффициент
теплопередачи.

Принимаем двухходовой теплообменник со следующими параметрами: nтр=240, d=25x2 мм, l=2 м, F=38 м2, D=600 мм, S=0,042 м2 [2, стр. 51, табл. 2.3].
Проводим уточненный расчет значения площади поверхности теплопередачи.
Значения
критерия Рейнольдса:

,
по
таблице №4;
по
таблице №4;

Значения
критерия Нуссельта:



Находим
коэффициент теплоотдачи:
,
где
– коэффициент теплопроводности воды
при


,
где c=0,072,
а при
t2=57,2:
Коэффициент
теплопередачи:
,
где
ε
= 0,60.
Средние значения величин тепловой проводимости загрязнения стенок [1, стр. 514, табл. XXXI]:
Теплоноситель
– вода среднего качества:

Теплоноситель
– органический пар:

Термическое сопротивление стальной стенки и загрязнений:

Принимаем
коэффициент запаса на грязи

Используя
численные методы, вычисляем коэффициент
теплопередачи по выражению:
принимаем
за исходное значение K=600
.
Таблица вычисления коэффициент теплопередачи
Таблица №6
|
|
|
|
|
|
|
|
|
|
|
|
|
|
K=494
Требуемая
площадь поверхности теплообмена:

Так как полученная площадь больше, чем площадь принятого двухходового теплообменника, а в расчетах фигурировал диаметр труб, то меняем площадь так, чтоб диаметр остался прежним.
Параметры нового теплообменника: nтр=240, d=25x2 мм, l=3 м, F=57 м2, D=600 мм, S=0,042 м2[2, стр. 51, табл. 2.3].
Запас
площади теплообмена выбранного
от
рассчитанного составляет18,8%, оставляем
выбранный теплообменник.
Поверхность
теплообмена выпарного аппарата
определяем по уравнению:
.
Примем Кор=1200
.


Получаем:
Параметры выбранного одноходового теплообменника: nтр=61, d=20x2 мм, l=3 м, F=11,5 м2, D=273 мм, S=0,01 м2[2, стр. 51, табл. 2.3].
[4,
стр. 533]
Величина А рассчитывается для кубового остатка по формуле:
,
где:






Величина
В0
рассчитывается по формуле:



Для ацетона:



Для воды:




Откуда:

Находим коэффициент теплопередачи по формуле:

Методом
последовательной итерации находим К.
Принимаем за исходное значение K=1200
Таблица вычисления коэффициент теплопередачи
Таблица №7
|
|
|
|
|
|
|
|
|
|
|
|
K=1758
Требуемая
площадь поверхности теплообмена:

Параметры теплообменника: nтр=61, d=20x2 мм, l=3 м, F=11,5 м2, D=273 мм, S=0,012 м2[2, стр. 51, табл. 2.3].
Запас
площади теплообмена выбранного
от
рассчитанного составляет 19,8%, оставляем
выбранный теплообменник.
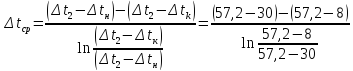
Средняя
разность температур:


Ориентировочный
коэффициент теплопередачи примем
равным
.
Ориентировочная
площадь поверхности теплообмена
находится по формуле:


Параметры теплообменника: nтр=37, d=25x2 мм, l=2 м, F=6 м2, D=273 мм, S=0,013 м2[2, стр. 51, табл. 2.3].
Средняя
разность температур:


Ориентировочный
коэффициент теплопередачи примем
равным
.
Ориентировочная
площадь поверхности теплообмена
находится по формуле:


Параметры теплообменника: nтр=37, d=25x2 мм, l=2 м, F=6 м2, D=273 мм, S=0,013 м2[2, стр. 51, табл. 2.3].
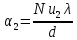
Для подачи исходной смеси в подогреватель используются центробежные насосы.
В
напорных трубопроводах скорость
жидкости ω равна 0,5-2,5
, поэтому примем равной ω=1,5
а объемный расход равен
, тогда внутренний диаметр трубопровода
равен:
.
Выбираем
стальную трубу (материал – углеродистая
сталь с незначительной коррозией)
наружным диаметром 48 мм, толщиной стенки
4 мм. Тогда фактическая скорость будет
равна:

Определим
режим течения жидкости:
,
где:

При 20°С rа = 790,23 кг/м3
rв = 998,2 кг/м3

При 20°С mа = 2,96 мПа·с
mв = 1,34 мПа·с



Среднее
значение абсолютной шероховатости
стенок труб Δ
= 0,2*10-3м
(трубы стальные, бывшие в эксплуатации
с незначительной коррозией). Тогда
относительная шероховатость будет
равна:
В турбулентном потоке различают три
зоны, для которых коэффициент трения
рассчитывают по разным формулам. Для
определения необходимой формулы находим
значения следующих отношений:
Очевидно, что в нашем случает имеет
место неравенство
,
следовательно, в нашем трубопроводе
имеется режим смешанного трения.

Сумма коэффициентов местных сопротивлений [2, стр. 504, табл. XIII]: