Рис.1.9 Внешний вид робота Hexapod Anubis
.1 Описание разрабатываемой конструкции
На основе проведённого анализа техники ходьбы, анализа существующих
конструкций была выбрана четырёхногая компоновка робота, т.к. такая компоновка
робота более компактная, чем шесть ног, и намного проще чем с двумя ногами.
Схема разработанного робота представлена ниже на Рис. 2.1
Рис.2.1 Схема робота вид сверху
Робот состоит из корпуса 5, на котором закреплены приводы 3, на выходном
валу привода расположена втулка 1 , на которой закреплена с натягом лапа 2.
Питание робота осуществляется с помощью аккумулятора 4, длины L1 и L2 выбраны
разными для того, чтобы лапы робота могли бы двигаться асинхронно, не мешая
друг другу.[1]
.2 Выбор профиля ноги робота
На основе проведённого анализа существующих конструкций была выбрана
форма ног выполненные в виде С-образных колёс, и закреплены со смещением оси
вращения - это позволяет увеличить проходимость робота по сравнения с круглым
профилем ног, и уменьшить момент сопротивления по сравнению с вытянутым
профилем ног.
Рис. 2.2 Чертёж ноги робота
.3 Трёхмерная модель робота и его модулей
Рис.2.3 Внешний вид разрабатываемого робота
Рис.2.4 Внешний вид электродвигателя
Рис.2.5 Внешний вид аккумулятора
Рис.2.6 Внешний вид платы управления
Рис.2.7 Внешний вид силового модуля
Рис.2.8 Инкрементальный энкодер на подставке
Рис.2.9 Внешний вид подшипника
S8
- режим работы при периодическом изменении частоты вращения и нагрузки.
Соответствующие данному режиму работы диаграммы для двух различных значений
частоты вращения (10.46 и 6.28
)
показаны на рис. 2.10
Рис.
2.10. График зависимости угловой скорости от времени
Рассчитаем
моменты для каждого участка работы двигателя:
Н∙м;
0.007 Н∙м;
Н∙м;
Н∙м.
Рис.
2.11. График зависимости момента от времени
Найдём
эквивалентный момент:
,
где
- время одного цикла
Н∙м;
.07
Н∙м
0.33 Н∙м.
В
нашем случае это равенство выполняется, следовательно, двигатель подобран
правильно.
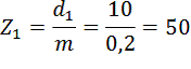
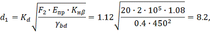
.2.3 Расчёт посадки с натягом
Посадки с натягом в механизмах и машинах применяют для
соединения деталей и передачи крутящего момента. Прилагаемый к сопряжению крутящий момент должен передаваться за счет сил трения, возникающих на сопрягаемых поверхностях деталей под воздействием натяга. При выборе посадки для конкретного сопряжения необходимо выдержать два условия:
. При наименьшем натяге должна обеспечиваться передача внешнего момента, осевой силы или их совместного действия.
. При наибольшем натяге выбранная посадка не должна разрушать сопрягаемые детали.[6]
Условия
выбора посадки:
Где - допустимый минимальный и максимальный натяги в сопряжении;
-
минимальный и максимальный натяги выбранной посадки.
Величину
наименьшего натяга
при условии, что сопрягаемые поверхности идеально
гладкие, рассчитывают по формуле приведенной ниже:
где p - удельное эксплуатационное давление по поверхности контакта, Па;номинальный диаметр соединения, м;
Е1, Е2 - модули упругости соединяемых деталей
С1, С2 -коэффициент Ляме.
Определим наименьший
расчетный натяг
, предварительно определив коэффициенты Ляме:
= 2,4
где d1, d, D - диаметры, мм;
и
-
коэффициенты Пуассона для сталь 40, принимается равным 0.3
Определим максимальный натяг
для данного сопряжения:
По стандарту ГОСТ25347-82
выберем предпочтительную посадку d7
Т. к. на опоры валов действует радиальная нагрузка, то выбираем
радиальные шариковые подшипники. (рис.50).
Рис.50. Подшипник шариковый радиальный ГОСТ 7242-45
Табл.1. Параметры подшипника
60027
Внутренний диаметр d, мм
8
Наружный диаметр D,мм
22
Ширина B,мм
7
Грузоподъемность Сr, Н
550
Грузоподъемность С0r, кН
1,53
Расчет подшипника ведем по динамической грузоподъемности, так как частота
вращения кольца подшипника более 1 об/мин. Условие работоспособности подшипника
имеет вид:
где
- расчетная динамическая грузоподъемность подшипника;
- частота
вращения кольца подшипника
=100
об/мин;
-
требуемая долговечность работы (примем
=14000ч);степенной
показатель (для шарикоподшипников p=3,33);динамическая грузоподъемность
подшипника;
,
где
и
-
радиальная и осевая нагрузки;
Х и Y - безразмерные коэффициенты, зависящие от типа подшипника и типа нагружения (X=0,43, Y=1);кинематический коэффициент (V=1, так как вращается внутреннее кольцо);
-
динамический коэффициент безопасности (
=1,1);
-
температурный коэффициент (
=1, так
как
).
Подставим все значения в основное уравнение:
Следовательно, принятый подшипник будет нормально работать в течение принятого срока службы.
робот цифровой электронный трёхмерный
2.2.5 Геометрический расчет реечной передачи
Расчет геометрических параметров реечной передачи начинают с определения
делительного диаметра шестерни. Исходными даннями для расчета передачи
являються :F=20H на рейке , перемещение H=60мм и линейная скорость V=0.05
рейки. В случае делительный диаметр шестерни равен ,мм:
Делительный диаметр шестерни можно также найти из условия контактной
прочности зубьев,мм:
![]()
сила сопротивления
на рейке,Н;
![]()
коэффициент,учитывающий
неравномерность нагрузки по ширине зуба;
![]()
коэффициент
ширины зубчатого венца.
Определяем
модуль зубьев из условия изгибной прочности зубьев:
Следовательно
![]()
где
коэффициент![]()
равен для
прямозубых колес 6,6.
Находим число зубьев шестерни:
Для
шестерни, нарезанной без смещения, диаметрокружшости вершин зубьев, мм:
Диаметр
окружности впадин зубьев,мм:
Толщина
зуба шестерни по делительной окружности мм, равная толщина зуба рейки по
средней прямой, мм:
Нормальный
шаг зубьев шестерни и рейки , мм
Минимальное
число зубьев рейки:
Уточняют
минимальную длину нарезанной части рейки:
Ширина
зубчатого венца рейки,мм:
Ширина
шестерни ,мм:
2.2.6
Вывод
по главе 2
По итогам выполненной работы были получены следующие результаты:
1) Составлена схема устройства шагающего робота;
) Произведен расчет основных узлов модуля шагающего робота;
) Произведен расчет посатки с натягом;
) Произв6еден расчет и выбор подшибника;
) Произведен геометрический расчет реечной передачи.
Глава 3. Система автоматического управления
.1 Функциональная схема устройства

На функциональной схеме приняты следующие обозначения: Pitanie -
выключатель питания установки; START - кнопка включения робота
При включённом состоянии осуществляется подача питания на приводы и датчики, начинается обработка данных с аналоговых входов микроконтроллера, ЖКИ переходит в режим отображения скорости перемещения робота.- кнопка выключения установки.- кнопка, обеспечивающая реверс приводов.-Датчик тока.- Датчик наклона.- цифровой датчик, регистрирующий угол поворота.
М1,М2,М3,М4,М5,М6,М7,М8 - приводы постоянного тока.- жки дисплей.- радио
модуль позволяющий дистанционно управлять роботом.
.2 Структурная схема устройства
На рис. 3.1 приведена структурная схема системы автоматического
управления одним из приводов.
Рис. 3.1 Структурная схема управления приводом вертикального вращения
Где Wус (p) - передаточная функция усилителя;двигателя (p) - передаточная
функция двигателя;редуктора (p) - передаточная функция редуктора;ос (p) -
передаточная функция обратной связи;
.3 Определение передаточных функций
Так как при фиксированном возбуждении двигатель имеет две степени свободы, то необходимо иметь для него два исходных дифференциальных уравнения. Первое уравнение может быть получено, если записать второй закон Кирхгофа для цепи якоря; второе же представляет собой закон равновесия моментов на валу двигателя .
Таким образом, работу привода можно описать следующими уравнениями:
(1)
В
этих уравнениях
и
-
индуктивность и сопротивление цепи якоря;
и
, где
и
- коэффициенты пропорциональности, а
- поток возбуждения;
-
приведенный к оси двигателя суммарный момент инерции,
- угловая скорость, М - момент нагрузки, приведенный
к валу двигателя
(2)
Константы Се и Cm найдём по следующим формулам:
(3)