- отпуск продукции. Данный процесс включает в себя передачу груза грузополучателю прямо со склада производителя при условии, что перевозка продукции осуществляется самим ее получателем.
Главным требованиям, предъявляемыми к процессу отправки, являются: современность отгрузки продукции, обеспечение необходимой ритмичности, укомплектованных поставок, т.е. отгрузка продукции со всеми входящими в нее функциональными и иными элементами, правильное оформление соответствующих товарораспорядительных документов и т.д.
Продукция,
не прошедшая в установленном порядке проверку по качеству, а также продукция,
отгрузка которой была запрещена органами, осуществляющими контроль над
качеством продукции <#"873095.files/image001.gif">
(1)
Таблица 4
Исходные данные товарного ассортимента находящиеся на складе Toyota Центр Вологда
|
№ |
Тип номенклатуры |
Реализация позиции за год в руб. |
Доля реализации в общей реализации в% |
|
1 |
Аксессуары |
116 480 000 |
28,923 |
|
2 |
Запчасти |
191 255 000 |
47,490 |
|
3 |
Локальные продукты компании |
1 279 600 |
0,318 |
|
4 |
Технические жидкости локальные |
20 300 |
0,005 |
|
5 |
Технические жидкости оригинальные |
31 055 700 |
7,711 |
|
6 |
Шины |
62 512 000 |
15,522 |
|
7 |
Запчасти локальные |
9 200 |
0,002 |
|
8 |
Штучный |
116 800 |
0,029 |
|
|
итого |
402 728 600 |
100 |
Произведем оценку вклада каждого объекта в общий результат, ранжируем
номенклатурные позиции в порядке убывания реализации позиции за год, а также
рассчитаем нарастающий итог доли объектов в общем количестве в процентах и
вклада этих объектов в общий результат в процентах на складе в группе компаний
ООО «Мартен» Toyota Центр Вологда «Автозапчасти, аксессуары и лакокрасящие
материалы». Данные представим в таблице 5.
Таблица 5
Ранжированные данные по сумме продаваемых автозапчастей и аксессуаров.
|
|
Тип номенклатуры |
Реализация позиции за год в руб. |
Доля реализации в общей реализации в% |
|
2 |
Запчасти |
191 255 000 |
47,490 |
|
1 |
Аксесуары |
116 480 000 |
28,923 |
|
6 |
Шины |
62 512 000 |
15,522 |
|
5 |
Технические жидкости оригинальные |
31 055 700 |
7,711 |
|
3 |
Локальные продукты компании |
1 279 600 |
0,318 |
|
8 |
Штучный |
116 800 |
0,029 |
|
4 |
Технические жидкости локальные |
20 300 |
0,005 |
|
7 |
Запчасти локальные |
9 200 |
0,002 |
Проранжировав данные, разобьем их на 3 группы.
Первая группа А - очень важные товары, которые всегда должны присутствовать в ассортименте. В качестве параметра в анализе использовался объем продаж, то в данную группу входят лидеры продаж по спросу.
Вторая группа В - продукты, реализационные параметры которых являются средними; они требуют обычных подходов в планировании, учете и контроле.
Третья группа товаров С - наименее важные товары, это претенденты на
исключение из ассортимента и товары-новинки. Согласно правилу Паретто 20%
ассортиментных позиций обеспечивает 80% прибыли. Данные представлены в таблице
6.
Таблица 6
Распределение позиций номенклатурных позиций по группам АВС
|
№ |
Тип номенклатуры |
Реализация позиции нарастающим итогом в % к общему кол-ву товаров |
Доля товаров в общей реализации ( по возрастанию) |
Группа товаров |
|
2 |
Запчасти |
40,154 |
12,5 |
А |
|
5 |
Технические жидкости оригинальные |
25,078 |
25 |
|
|
1 |
Аксесуары |
24,456 |
37,5 |
|
|
6 |
Шины |
8,220 |
50 |
В |
|
3 |
Локальные продукты компании |
1,919 |
62,5 |
|
|
8 |
Штучный |
0,153 |
75 |
С |
|
4 |
Технические жидкости локальные |
0,03 |
87,5 |
|
|
7 |
Запчасти локальные |
0,003 |
100 |
|
Проведенный АВС анализ номенклатуры на складе в группе компаний ООО «Мартен» Toyota Центр Вологда «Автозапчасти, аксессуары и лакокрасящие материалы» разделил весь товарный ассортимент на три группы, к каждой из которых требуется применять различные методы по управлению ими. В группу товаров А попали такие номенклатурные позиции как «Запчасти», «Аксессуары» «Технические жидкости оригинальные», они приносят наибольшую прибыль компании. В группу товаров В попала одна товарная группа «Шины» , которая является так же хорошо приносящая доход фирме продукция, к группе товаров С относятся такие продукты как «Локальные продукты компании», «Штучный», «Технические жидкости локальные», «Запчасти локальные», которые приносят незначительный доход в общей сумме реализуемой продукции при продаже автозапчастей, аксессуаров и лакокрасящих материалов на складе.
Метод АВС очень быстро становиться популярным среди отечественных руководителей. В первую очередь, это относиться к фирмам, осуществляющим многономенклатурные закупки и продажи. Однако, по мнению специалистов, наибольший эффект дает применение этого метода в комбинации с другим, пока мало известным в России XYZ-анализом.- анализ - это группировка позиций по уровню прогнозируемости. Все позиции делятся на три группы: X, Y и Z. В группу X попадают наиболее прогнозируемые товары, у которых случайные колебания относительно небольшие. В группу Y попадают более труднопредсказуемые в продажах позиции. Самые непредсказуемые позиции находится в группе Z.- анализ позволяет произвести классификацию продукции в зависимости от характера их потребления и точности прогнозирования изменений в их потребностях. Алгоритм проведения состоит из четырёх этапов:
- Определение коэффициентов вариации для анализируемых ресурсов;
- Группировка ресурсов в соответствии с возрастанием коэффициента вариации;
- Распределение по категориям X, Y, Z.
- Графическое представление результатов анализа.
Анализ XYZ осуществляется в порядке возрастания коэффициента вариации спроса на товар, за определенный период времени, который рассчитывается для каждой позиции ассортимента. Теоретически, величина коэффициента вариации изменяется в пределах от нуля до бесконечности.
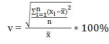
Составляя таблицу использовались квартальные отчеты по реализации
продукции за 2013 год. Исходя из которых была найдена реализации продукции в
год количества штук каждого наименования продукции, путем сложения всех
номенклатурных позиций по кварталам, далее рассчитана средняя реализация за
квартал. Из полученных данных рассчитан коэффициент вариации по формуле 2 - это
отношение среднего квадратического отклонения к среднеарифметическому значению
измеряемых значений ресурса, его значения в % занесены в таблицу 7.

(2)
где, хi - значение параметра по оцениваемому объекту за i- тый период,
x - среднее значение параметра по оцениваемому объекту анализа,
n - число
периодов.
Таблица 7
Исходные данные для проведения XYZ анализа
|
№ |
Наименование товара |
Реализация за квартал |
Реализация позиций в год шт. |
Средняя реализация за квартал |
Коэффициент вариации в % |
|||
|
1 |
Аксессуары |
1069 |
1500 |
1554 |
1447 |
5570 |
1393 |
38,11 |
|
2 |
Запчасти |
7456 |
9531 |
10734 |
10530 |
38251 |
9563 |
25,97 |
|
3 |
Запчасти локальные |
3 |
0 |
0 |
0 |
3 |
1 |
2,59 |
|
4 |
Локальные продукты компании |
432 |
451 |
465 |
479 |
1829 |
457 |
34,61 |
|
5 |
Технические жидкости локальные |
9 |
7 |
7 |
6 |
29 |
7 |
2,17 |
|
6 |
Технические жидкости оригинальные |
4600 |
5610 |
7339 |
6 |
17557 |
4389 |
54,27 |
|
7 |
159 |
56 |
53 |
6339 |
6607 |
1652 |
54,12 |
|
|
8 |
Штучный |
13 |
33 |
14 |
63 |
123 |
31 |
40,5 |
Исходя из полученных данных в таблице 6, можно говорить о том, что наибольшим коэффициентом вариации обладают группы товаров «Технические жидкости оригинальные» и «Шины», средним «Штучный», «Локальные продукты компании» «Запчасти» «Аксессуары» , наименьшим, группа товаров «Технические жидкости локальные».
Группировка ресурсов при проведении XYZ - анализа осуществляется в
порядке возрастания коэффициента вариации, показывающего степень отклонения
данных от среднего значения. Упорядоченный список номенклатурных позиций по
возрастанию коэффициента вариации представлены в таблице 8.
Таблица 8
Упорядоченный список номенклатурных позиций по возрастанию коэффициента вариации
|
|
Наименование товара |
Реализация за квартал |
Реализация позиций в год шт. |
Средняя реализация за квартал |
Коэффициент вариации |
|||
|
5 |
Технические жидкости локальные |
9 |
7 |
7 |
6 |
29 |
7 |
2,17 |
|
3 |
Запчасти локальные |
3 |
0 |
0 |
0 |
3 |
1 |
2,59 |
|
4 |
Локальные продукты компании |
432 |
451 |
465 |
479 |
1 828 |
457 |
34,61 |
|
8 |
Штучный |
13 |
33 |
14 |
63 |
123 |
31 |
40,5 |
|
1 |
Аксессуары |
1 069 |
1 500 |
1 554 |
1 447 |
5 570 |
1393 |
38,11 |
|
2 |
Запчасти |
7 456 |
9 531 |
10 734 |
10 529 |
38 251 |
9563 |
25,97 |
|
7 |
Шины |
159 |
56 |
53 |
6 338 |
6 606 |
1652 |
54,12 |
|
6 |
Технические жидкости оригинальные |
4 600 |
5 610 |
7 339 |
6 |
17 556 |
4389 |
54,27 |
Теперь сегментируем коэффициенты вариации и присваиваем каждому одну из 3-х букв X Y и Z в таблице 9.
При этом к категории X относятся ресурсы, которые характеризуются стабильной величиной потребления, незначительными колебаниями в их расходе и высокой точностью прогноза.
Категории Y - это ресурсы, потребность в которых характеризуется
известными тенденциями (например, сезонными колебаниями) и средними
возможностями их прогнозирования. Наконец, ресурсы, относимые к категории Z,
потребляются нерегулярно, точность их прогнозирования невысокая.
Таблица 9
Распределение позиций номенклатур по группам XYZ
|
№ |
Наименование товара |
Коэффициент вариации |
Количество товаров нарастающим итогом в % к общему количеству |
Группы товаров |
|
5 |
Технические жидкости локальные |
2,17% |
12,5 |
X |
|
3 |
Запчасти локальные |
2,59% |
25 |
|
|
4 |
Запчасти |
25,97 |
37,5 |
Y |
|
8 |
Локальные продукты компании |
34,61 |
50 |
|
|
1 |
Аксессуары |
|
|
Z |
|
2 |
Штучные |
40,5% |
75 |
|
|
7 |
Шины |
54,12% |
38,11% |
|
|
6 |
Технические жидкости оригинальные |
54,27% |
100 |
|
Путем наложения результатов анализа XYZ на данные ABC -метода образовалось 6 групп ассортимента, для каждой из которых необходимо разработать свои технологии управления. Результатом совместного проведения анализа АВС и XYZ на складе «Автозапчасти, аксессуары и лакокрасящие материалы» группы компаний ООО «Матрен» Toyota Центр Вологда являются данные которые занесены в таблицу 10.
Таблица 10
Совмещенный ABC - XYZ анализ
|
|
X |
Y |
Z |
|
А |
|
Запчасти. |
Аксессуары; Технические жидкости оригинальные; |
|
В |
|
Локальные продукты компании. |
Шины. |
|
С |
Технические жидкости локальные. Запчасти локальные. |
|
Штучный |
Из таблицы 10 следует что, в группу AY попали товары «Запчасти» которые при высоком товарообороте имеют недостаточную стабильность расхода, в группу товаров АZ попали товары «Аксессуары» и «Технические жидкости оригинальные» которые отличаются низкой прогнозируемостью спроса при высоком объеме продаж .