Материал: Разработка полноценной методологии для прогнозирования товарооборота в торговом объекте

Внимание! Если размещение файла нарушает Ваши авторские права, то обязательно сообщите нам

 (2.10)

.       
Расчет средних долей рынка для каждой из зон охвата. Полученные доли затем корректируются с помощью коэффициентов X и Y, чтобы учесть объекты, не включенные в расчет:

 (2.11)

.5.2 Допущения и ограничения в модели

Практическая реализация и применение данного подхода к оценки долей рынка сопряжено с необходимостью решения следующих проблем:

§  учет торговых объектов, не включенных в расчет в виду отсутствия данных;

§  калибровка степенных коэффициентов  и ;

§  определение степени влияния на конкуренцию со стороны объектов вне зон охвата анализируемых объектов;

§  определение подхода к получению привлекательностей каждого из объектов .

Принимая во внимание перечисленные проблемы, становится необходимым сделать ряд предположений относительно входных данных и порядка их анализа. Так, для решения первой из проблем, можно допустить, что неучтенные торговые объекты снижают доли рынка учтенных в одинаковой степени. Иначе говоря, предлагается переход от обобщенной доли рынка  к скорректированной , такой что:

 (2.12)

,

а .

Коэффициенты X и Y устанавливаются в зависимости от доступности данных по учтенным объектам, а также от сведений или допущений относительно неучтенных, но в целом, их получение возможно только экспертным путем.

Калибровка корректирующих коэффициентов для полезностей объектов  и  должна производиться по известным данным о долях рынка. Однако в рамках данного исследования сделать подобное не представляется возможным, поэтому значения коэффициентов будут приниматься фиксированными по умолчанию.

Для учета влияния торговых объектов вне зон охвата исследуемого ТЦ на долю рынка последнего можно применить два типа подходов. В первом случае, модель рассматривает только районы внутри зон охвата, а влияние на рынок остальных игнорируется или описывается дополнительными коэффициентами, заданными в виде фиксированных значений или функций от расстояния между исследуемым ТЦ и районами, входящими в зону охвата.

Во втором случае, модель учитывает все районы города и максимально возможное число торговых объектов. Применяя такой подход, районы, объекты и зоны охвата можно описать двумя способами:)         рассматривается несколько зон охвата с центрами в точке, соответствующей анализируемому торговому объекту, и с фиксированным радиусом; районы представляются в виде точек с заданными координатами и равномерно распределенным по ним населением;)    рассматривается одна или большее число зон охвата и районы, представленные в виде полигонов.

Аналогичные рассуждения справедливы и для модели оценки численности населения. В каждом из случаев, для качественной реализации подхода b потребовалось бы использование геоинформационной системы, но поскольку остальные элементы методологии реализуются средствами Excel, было решено применить подход, изложенный в пункте a.

Последней из проблем, связанных с качеством входных данных для гравитационной модели, является адекватность оценки привлекательности . Для практического применения модели в рамках ВКР, с целью упрощения получения данных, планируется использовать наиболее простой из возможных вариантов, при котором в качестве привлекательности объекта принимается его площадь, отведенная под исследуемую товарную категорию.

2.6. Оценка структуры расходов потребителей

Описываемая ниже модель предназначается для получения структуры потребительских расходов на основе данных по известным торговым объектам, включающих в себя список товарных категорий, а также доли в товарообороте каждого из объектов. Доли товарооборота могут быть выражены не в денежном, а в относительном виде, что более удобно с точки зрения работы с данными из закрытых источников, к числу которых и относится товарооборот. Полученные результаты могут быть применены для оценки оборота по товарным категориям у других торговых объектов.

В соответствии с выражением (2.1), исходная модель оценки товарооборота имеет вид:

 (2.13)

Выразим из данного равенства долю в структуре расходов :

 (2.14)

В случае, если в модели на вход подавался товарооборот по каждой категории в денежном выражении, далее необходимо преобразовать его в долю от суммарного оборота по всем категориям. Обозначим за  долю t-ой товарной категории в структуре оборота i-го ТЦ.

Также обозначим для простоты записи оператор суммы в знаменателе выражения (2.14), подсчитывающий суммарное количество покупателей, приходящих в i-й ТЦ из всех его зон охвата за товарами i-й категории, как .

Сделав указанные преобразования, становится возможным рассчитать структуру расходов среднестатистического посетителя i-го ТЦ. Обозначим долю t-й товарной категории в ней за :

 (2.15)

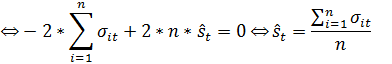
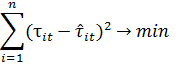
На основе полученных  требуется оценить долю товарной категории в структуре расходов среднестатистического жителя Москвы . В качестве критерия точности оценки будет выступать минимальность расхождения между известными долями товарных категорий в структуре оборота торговых центров  и их оценками , полученными с применением

(2.16)

Преобразуем данное условие:

Таким образом, оптимальная оценка доли t-ой товарной категории  совпадает со средним арифметическим для рассчитанных .

3. Практическая реализация предложенного подхода к решению задач

.1 Описание подхода к практическому применению методологии


В рамках третьей главы данной работы показано использование элементов разработанной методологии для решения соответствующих им задач. Первая часть главы связана с запуском модель прогнозирования оборота по уравнениям регрессии. С этой целью также проведена оценка независимых факторов для обучающей и проверочной выборок - численности населения и долей рынка.

Также рассмотрен запуск исходной модели с разбивкой на товарные категории. Для применения модели оценки структуры расходов населения в рамках работы не удалось собрать достаточного объема информации, поэтому для нее приведены только общие сведения относительно её работы и получаемых результатов.

.2 Описание данных для построения регрессионных моделей


В ходе работы была получена информация по расположению и приблизительной величине арендуемой площади для 131 торгового центра Москвы и Московской области. Из них один объект находится в стадии проектирования, и для него требуется получить прогноз по товарообороту. Данный ТЦ далее будет обозначаться как “X”. Остальные объекты являются действующими.

Поскольку величина площадей большинства объектов была указана только приближенно, в качестве показателя привлекательности при расчете долей рынка были взяты значения, округленные с точностью до 15000 м2 и разделенные на эту же величину. Иными словами, за каждые 15 тысяч квадратных метров объекту начислялся один балл привлекательности для посетителей.

Расчеты проводились для районов, относящихся к десяти округам Москвы, существовавшим до её расширения в 2012 году. Соответственно, районы Троицкого и Новомосковского округов не были представлены данных для моделей оценки населения и долей рынка.

.3 Запуск модели расчета численности населения в зонах охвата


Было произведено несколько запусков модели оценки численности населения в зонах охвата с разными параметрами:

.        Три зоны охвата с радиусами в 3, 6 и 9 км, граница полного включения района в зону охвата ;

.        Три зоны охвата с радиусами в 4, 8 и 12 км, граница полного включения района в зону охвата ;

.        Три зоны охвата с радиусами в 5, 10 и 15 км, граница полного включения района в зону охвата ;

.        Одна зона охвата с радиусом в 12 км, граница полного включения района в зону охвата .

Суммарные численности населения для ТЦ с известным товарооборотом, а также для неизвестного объекта, полученные в ходе запусков, представлены в таблицах 4 и 5.

Табл. 4. Результаты первой и второй оценок численности, тыс. чел.


Табл. 5. Результаты третьей и четвертой оценок численности, тыс. чел.


В качестве входных данных для построения регрессионных моделей были взяты результаты последнего запуска.

.4 Запуск модели расчета конкуренции


Было проведено четыре запуска модели оценки долей рынка объектов со следующими значениями параметров:

·        количество и радиусы зон охвата, а также  идентичны значениям при оценке численности населения;

·        корректирующий коэффициент X = 1, а Y = 0 (изменение первого не повлияет на дальнейшую оценку коэффициентов регрессии, а подобрать значения второго в ходе работы не представлялось возможным в виду отсутствия данных);

·        степенной коэффициент ,  (калибровка значений также не представляется возможной из-за отсутствия данных по товарообороту большинства объектов).

Поскольку предложенный алгоритм оценивает доли рынка в отдельно взятой товарной категории, а для построения регрессий требуется усредненная доля для каждого из объектов, была создана условная категория «ТЦ». Привлекательность торговых центров по данной категории соответствовала их общим арендуемым площадям.

Полученные результаты приведены в таблицах 6 и 7.

Табл. 6. Первый и второй запуски модели оценки долей рынка


Табл. 7. Третий и четвертый запуски модели оценки долей рынка


Результаты четвертого запуска были взяты в качестве значений независимой второй из независимых переменных.

3.5 Прогнозирование товарооборота с помощью регрессионных моделей


В ходе работы было протестировано два набора экзогенных факторов при оценке товарооборота. Численность населения присутствовала в обоих наборах, тогда как в качестве второго фактора выступала общая арендуемая площадь или занимаемая доля рынка. Включение этих двух факторов в модели одновременно могло повлечь за собой возникновение мультиколлинеарности, поскольку между ними прослеживается достаточно высокая корреляция. Для полной выборки, включающей 131 объект, она имеет значение, равное 0.7.

С целью валидации моделей, элементы общей выборки, включающей в себя объекты с известным товарооборотом, а также неизвестный объект, были разбиты на две группы, представленные в таблицах 8 и 9.

Табл. 8. Данные обучающей выборки

Объект

Оборот к эталонному

Население, тыс. чел.

Площадь, тыс. м2

Доля рынка

Авиа Парк

130

5006,696

230

6,62%

Калейдоскоп

30

3068,671

41,047

4,09%

Кунцево-плаза

80

2904,573

65

3,65%

Филион

40

4422,585

55

2,36%

Щука

40

3842,955

42

2,13%


Табл. 9. Данные проверочной выборки

ОбъектОборот к эталонномуНаселение, тыс. чел.Площадь, тыс. м2Доля рынка





X

-

4862,662

50

1,65%

Авиа Парк

130

5006,696

230

6,62%

Калейдоскоп

30

3068,671

41,047

4,09%

Кунцево-плаза

80

2904,573

65

3,65%

Метрополис

100

4237,220

80

4,24%

Филион

40

4422,585

55

2,36%


Построенные на обучающей выборке модели и их характеристики приведены на рисунках 3 и 4.

Табл. 10. Регрессионные модели с населением и площадями в качестве независимых переменных.


Наибольший вклад в объясняющую способность полученных моделей вносит площадь объектов (коэффициент a2 в таблицах 11 и 12). Замена площади на долю рынке приводит к ухудшению качества моделей. Вместе с тем, параметр численности населения внутри зон охвата характеризуется низкими значениями t-статистики во всех моделях.

Табл. 11. Регрессионные модели с населением и долями в качестве независимых переменных.