Материал: Разработка полноценной методологии для прогнозирования товарооборота в торговом объекте

Внимание! Если размещение файла нарушает Ваши авторские права, то обязательно сообщите нам

.2 Методы оценки доли рынка торгового объекта

.2.1 Виды методов оценки конкурентоспособности предприятия

Оценка конкурентоспособности предприятия может быть оценена большим числом различных методов, которые могут быть классифицированы по ряду своих характеристик, таких, как[4]:

§  применимость для предприятий той или иной отрасли экономики;

§  способ моделирования и представления результатов (расчетный или графический);

§  принимаемые в расчёт факторы и принцип их приоритизации;

§  критерии, по которым оценивается конкурентоспособность;

§  возможность прогнозирования конкурентоспособности;

§  источники данных для проведения оценки.

Разбиение всей совокупности методов оценки конкурентоспособности позволяет выделить ряд основных категорий, который представлен в таблице 1.

Табл. 1. Классификация методов оценки конкурентоспособности предприятий.

Группа методов

Описание

Преимущества и недостатки

Матричные методы

Использование данных методов подразумевает построение матрицы, описывающей долю предприятий на рынке, а также динамику их прироста. Каждый из этих факторов используется в качестве оси координат, после чего определяется положение предприятия относительно других участников рынка. Примерами подобных методов являются матрицы Портера и BSG.

Применение данной группы методов позволяет получить общую картину рынка, но в то же время не дает информации о причинах, повлиявших на её формирование, и зависит от точности информации, на основе которой производится ранжирование предприятий.

Методы оценки конкурентоспособности товаров и услуг

Ключевое допущение при использовании подобных методов заключается в том, что конкурентоспособность предприятия определяется конкурентоспособностью его товаров и услуг. В большинстве случаев, способ их оценки сводится к получению соотношения цены и качества с последующим сравнением с конкурентами.

В подобных способах оценки затрагивается качество производимых товаров и услуг, являющегося важным критерием конкурентоспособности, однако не затрагиваются внутренние аспекты самой организации и эффективность её работы.

Методы, оценивающие эффективность работы предприятия

В основе этих методов лежит теория эффективной конкуренции и оценка эффективности работы подразделений организации. Как правило, под эффективностью подразделения понимается эффективность использования им ресурсов предприятия для достижения поставленных целей.

Подобные методы позволяют учесть аспекты деятельности предприятия по отдельности, однако, чаще всего, не учитывают существующий синергетический эффект, равно как и не дают представления о качестве товаров и услуг.

Комплексные методы

Задачей данной группы методов является сопоставление текущей и прогнозируемой конкурентоспособности предприятия. При этом, прогнозируемое значение является производным от текущего и меняется в зависимости от некоторого заранее определенного набора факторов.

Методы, относящиеся к данной категории, чаще всего базируются на одной из методик, принадлежащих к перечисленным выше группам, и поэтому обладают их преимуществами и недостатками. При этом, они также дают возможность составления прогноза на определенный период времени.

Отличительной особенностью торгового центра является присутствие значительного числа неоднотипных арендаторов, вследствие чего возникает необходимость производить оценку конкуренции сразу на нескольких рынках. Кроме того, к значимым факторам можно отнести население вблизи ТЦ и пролегающие поблизости транспортные и пассажиропотоки.

Для решения задачи по оценке товарооборота с использованием метода, базирующегося на расчете объемов рынка и конкуренции в зонах охвата, конкурентоспособность ТЦ должна быть представлена в виде доли рынка, которую центр занимает в той или иной категории товаров. В совокупности, все эти факторы делают затруднительным применение описанных в таблице 1 методов без дополнительной доработки под рассматриваемую в работе предметную область.

.2.2 Оценка конкурентоспособности по степени удовлетворенности покупателей

Данная методика предназначена для оценки конкурентоспособности торгового объекта на основе анкетных данных, получаемых от его посетителей. В качестве объекта исследования выступает отдельный магазин, рассматриваемый как совокупность некоторых характеристик, отличающихся по уровню важности для потребителя[5]. Эти атрибуты могут быть использованы в ходе разработки модели будущего магазина или для оценки конкурентоспособности уже существующего. Перечень характеристик может включать:

·        ширина (количество товарных групп) и глубина (размер товарных групп) ассортимента;

·        набор услуг, оказываемых при посещении магазина: наличие парковки, консультация со стороны персонала по характеристикам и особенностям товаров, возможность открытия кредита на покупку и т.д.;

·        уровень и динамика цен в сравнении с текущими рыночными условиями;

·        расположение и доступность магазина, время работы;

·        квалификация персонала и качество обслуживания (расположение товаров, средняя длина очереди на кассе и т.д.);

·        интерьер магазина.

Ключевой задачей при планировании открытия торгового объекта внутри ТЦ является выбор наиболее подходящей концепции объекта, т.е. совокупности его атрибутов, соответствующих планируемым посетителям и обеспечивающий ему максимально возможную конкурентоспособность по сравнению с существующими магазинами.

Проведение оценки конкурентоспособности торгового объекта с помощью данного метода подразумевает завершение трех основных этапов работы:

.        Проведение анкетирования покупателей на выходе в уже существующем магазине;

.        Ранжирование атрибутов торгового объекта по степени их значимости для посетителей и получение среднего уровня удовлетворенности каждой из них;

.        Составление предложений и рекомендаций по изменению атрибутов магазина с целью повышения его конкурентоспособности.

Применение данной методики позволяет определить наиболее важные для покупателей атрибуты торгового объекта, степень удовлетворенности или неудовлетворенности его характеристиками, а также необходимые изменения.

Описанный подход к оценке конкурентоспособности подходит для организаций, занимающихся ритейлом, а также работающих в сфере услуг. Использование метода подразумевает проведение соответствующих маркетинговых предприятий для получения требуемых данных.

Применение методики к торговому центру сопряжено с необходимостью изучения каждой из представленных в нем торговых категорий. Кроме того, в этом случае встает вопрос о сравнимости результатов исследования с эталонными или средними значениями для рынков, на которых функционируют торговые объекты.

.2.3 Оценка долей рынка торговых объектов с помощью гравитационной модели

В основе подобных модели лежит концепция, предложенная Дэвидом Хаффом[6], применимая для оценки долей рынка, занимаемых торговым центром в отдельной взятой товарной категории.

Пусть  - торговые объекты, занимающиеся реализацией товаров рассматриваемой категории, а  - районы изучаемого города.

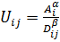
Каждый из рассматриваемых объектов представляет для жителей каждого из районов некоторую полезность , определяемую соотношением:

, (1.2)

где  и  - корректирующие коэффициенты;

 - привлекательность i-го объекта;

 - расстояние от i-го объекта до j-го района.

Под привлекательностью объекта в простейшем случае понимается его площадь. Вместе с тем, возможно проведение балльной оценки торговых объектов в зависимости их атрибутов, отражающих предлагаемых ассортимент, ценовые уровни, качество обслуживания и иные факторы.

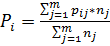
Используя полученные полезности, становится возможным установить доли рынка , занимаемые торговыми объектами в каждом из районов:

 (1.3)

В данном выражении доля рынка определяется отношением полезности i-го объекта к суммарной полезности всех торговых объектов для жителей j-го района.

Из полезностей для отдельного района становится возможным получить общую долю рынка , занимаемую районом:

, (1.4)

где - численность населения в j-ом районе.

.3 Способы оценки структуры расходов посетителей ТЦ


В ходе оценки товарооборота с помощью модели, основанной на индивидуальных расходах и конкуренции в зонах охвата, необходимо определить величину и структуру потребительских расходов среднестатистического покупателя. Среди потенциальных источников, данных для Москвы можно выделить данные Росстата по потребительским расходам и розничному товарообороту[7]. Однако на базе этих данных можно выделить лишь базовые расходы, включающие в себя несколько товарных категорий.

Другим направлением для поиска необходимой информации по расходам покупателей является изучение анализов и маркетинговых исследований рынков, в которых оперируют предполагаемые или уже имеющиеся арендаторы. В этом случае, однако, встает вопрос полноты и открытости данных по всем необходимым товарным категориям.

Наконец, при наличии соответствующих данных, структуру расходов можно попытаться перенести с ТЦ с известным товарооборотом на тот, для которого строится прогноз. При подобном подходе, возможно использование некоторого алгоритма, определяющего усредненную структуру расходов, или же путем ручного поиска существующего объекта, обладающего схожими с исследуемым параметрами и экстраполяции на него известных данных.

.4 Способы оценки численности населения в зоне охвата торгового объекта


Численность потенциальных посетителей торгового объекта является одним из наиболее значимых факторов при проведении оценки его товарооборота. Для установления количества людей в зонах охвата необходимо определить общее число людей, проживающих на соответствующей им территории, их распределение по ним, а также принцип выделения самих зон.

В качестве достоверного источника данных по численности населения возможно использование данных, публикуемых государственными организациями, занимающимися статистикой. Так, для Москвы в открытом доступе можно получить численность населения с точностью до района[9].

Более точное соотнесение численности населения с зонами охвата, равно как и их определение, возможно произвести двумя способами. Как уже было сказано выше, возможно установить некоторый набор допущений, позволяющий однозначно, пусть и с погрешностями, сопоставить всех покупателей с той или иной зоной охвата. Другим вариантом является составление модели на более точных данных с использованием специализированных геоинформационных систем (ГИС).

Функциональные возможности современных ГИС позволяют решать широкий спектр задач, связанных с поиском объектов, работой с системой координат, сопоставлением географического расположения объектов с любой другой относящейся к ним информацией, визуализацией этих данных и выполнением графоаналитических операций[8].

Разработка модели оценки численности населения в зонах охвата средствами геоинформационной системы позволяет более точно выделить зоны и на основе проведенных границ рассчитать численность населения. С другой стороны, подобный анализ требует наличия более детальных данных, а также является более трудоемким, поскольку предполагает работу с API взятой в качестве платформы для разработки информационной системы.

2. Применяемый подход к решению задач

.1 Описание разработанной методологии


Созданная в рамках выпускной работы методология предназначена для прогнозирования товарооборота в торговых объектах и получения ряда требуемых для этого данных. Практическая реализация методологии проведена на базе табличного редактора Microsoft Excel и встроенного в него языка программирования Visual Basic.

Функциональность модели может быть разделена на ряд основных элементов, выполняющих оценку:

·        товарооборота по товарным категориям;

·        структуры потребительских расходов;

·        конкуренции для торговых объектов;

·        численности населения в зонах охвата торгового объекта;

·        товарооборота без разбивки на товарные категории.

Модели оценки товарооборота используют в качестве входных данных результаты, полученные при запуске остальных модулей. Кроме того, для расчета структуры потребительских расходов требуются данные о конкуренции и численности населения в зоне охвата объектов. Схематически, взаимосвязь между составляющими методологии представлена на рисунке 2.

Прогнозирование товарооборота с разбивкой на категории выполняется с помощью разработанной в рамках прошлогодней курсовой работы модели, основанной на описанном в разделе 1.1.4 подходе. Эта модель позволяла делать прогноз на несколько лет вперед, однако для части входных параметров нельзя было достаточно точные значения. К ним относятся, во-первых, доли рынка по каждой из товарных категорий, приходящиеся на объект, и, во-вторых, структура расходов населения, взятая из данных Росстата и слабо соответствовавшая специфике торговых центров. С целью устранения описанных проблем, были дополнительно спроектированы и реализованы инструменты для оценки долей рынка объектов в товарной категории, а также структуры потребительских расходов.

Рис. 2. Взаимосвязь данных в модели

Параллельно с этим, была реализована модель прогнозирования оборота для торговых центров в целом путем построения уравнений регрессии. Для выполнения оценки товарооборота этим способом требуется наличие данных по ряду объектов, однако список влияющих на оборот факторов состоит всего из двух элементов, что упрощает подбор входных значений.

Наконец, в обеих моделях оценки товарооборота применяются данные по населению в зонах охвата, в связи с чем была также разработан подход к оценке и этого типа данных.

.2 Исходная модель прогнозирования товарооборота


В соответствии с исходной моделью, оценка оборота по t-й категории  производится по следующей формуле[10]:

, (2.1)

где  - зоны охвата исследуемого ТЦ;

 - население, проживающее в k-й зоне охвата;

 - общие потребительские расходы по Москве;

 - общая численность населения Москвы;

 - доля t-й товарной категории в индивидуальной структуре расходов;