Материал: Разработка метода эффективной передачи электрической энергии от источника питания к излучателю через длинную линию

Внимание! Если размещение файла нарушает Ваши авторские права, то обязательно сообщите нам

Максимальный обратный ток 10 мкА;

Максимальное прямое напряжение 1 В;

Рабочая температура от -55 до 125 0С.

Полевые транзисторы IRF840 (MOSFET или МДП-транзистор). - это мощный полевой транзистор с изолированным затвором n-каналом. Он открывается положительным напряжением на затворе по отношению к истоку. Паразитный диод в структуре канала катодом подсоединен к стоку, анодом- к истоку.

Рис.25. Выводы МДП-транзистора с изолированным затвором n-каналом: G - Gate (З - затвор), S - Source (И - исток), D - Drain (С - сток)

Данный транзистор изготовлен на основе кремния Si и имеет встроенный в цепи «исток-сток» защитный диод. При больших токовых нагрузках полупроводниковый прибор сильно нагревается, и по этой причине непосредственно крепится к радиатору. Транзистор характеризуется малым сопротивлением открытого канала «исток- сток» 0.85Ohm, высокой скоростью переключения и напряжением пробоя сток-исток - 500V. Постоянный ток стока составляет 8A, рассеиваемая мощность - 125W.

Характеристики:

Постоянный ток стока: 8A;

Напряжение пробоя сток-исток: 500V;

Сопротивление открытого канала исток-сток: 0.85Ohm;ограниченная рассеиваемая мощность;

Скорость переключения: наносекунды;

Линейная характеристика передачи;

Высокое входное сопротивление.

Для ограничения пусковых токов применяется термистор SCK103 NTC (Negativetemperaturecoefficient) - это терморезистор с отрицательным температурным коэффициентом сопротивления. Температурный коэффициент сопротивления характеризует зависимость электрического сопротивления от температуры и измеряется в кельвинах в минус первой степени.

(6)

При повышении температуры сопротивление падает.

Рис.26. Символ терморезистора

Подстроечные резисторы используются для установления значений длительности импульсов, паузы (5 кОм) и частоты (100 кОм).

Рис.27. Символ подстроечного резистора

На основе всех перечисленных элементов был изготовлен резонансный источник питания гармонического напряжения, представленный на рис.28.

Рис.28. Изготовленный резонансный источник питания гармонического напряжения

.3 Принцип работы резонансного источника питания гармонического напряжения

Принцип работы устройства заключается в следующем.

При работе инвертора, питаемого от источника постоянного напряжения, в резонансном колебательном контуре возбуждаются гармонические колебания. Колебательный контур нагружен на повышающий трансформатор, вторичная обмотка которого подключена к электродам лампы барьерного разряда через коаксиальную линию. Таким образом, на электроды лампы подается высоковольтное напряжение гармонической формы. Коаксиальная линия представляет собой дополнительную емкость, которая также участвовала в резонансном колебательном процессе. После нескольких осцилляций в колебательном контуре прерыватель запрещает работу инвертора. Колебания в резонансном контуре прекращаются, равно как на электродах лампы. При этом соответственно возбуждение лампы также прекращалось, благодаря чему происходило релаксация плазмы в газоразрядном промежутке. После некоторой паузы инвертор запускается снова и весь процесс повторяется. В результате на электродах лампы появляются пачки гармонических колебаний с паузами между пачками.

.4 Конструкция эксилампы барьерного разряда

Исследование было проведено на двухбарьернойэксилампе коаксиального типа УФ-диапазона, заполненной XeCl(200:1), которая была подключена через коаксиальную линию длинной 3 метра. Типичный спектр такой лампы представляет собой интенсивную полосу В - Х с максимумом на λ = 220 нм. Рабочая поверхность эксилампы составляет 100 мм, а общее давление газа 120 торр. Колба эксилампы изготовлена из полупрозрачного кварца. Так как эксилампа включалась на небольшие промежутки времени, то использование дополнительного охлаждения (водное, принудительное воздушное) не требовалось.

ГЛАВА 3. ЭКСПЕРИМЕНТ И ОБРАБОТКА РЕЗУЛЬТАТОВ

Для проведения эксперимента и достижения поставленных задач использовались стандартные методы регистрации тока и напряжения (клещи токовые,мультиметр), определения мощности излучения (фотоприемник HamamatsuH9535, цифровой осциллограф TektronixTDS 1001B),для определения характеристик колебательных контуров LCR-метр GwinstekLCR-78101G.

Основным методом исследования в работе является физический эксперимент, в ходе которого проводились измерение энергетических параметров эксилампы барьерного разряда через коаксиальную линию и измерение полного КПД системы (источник питания и лампа). Измерения проводились с использованием двух разных источников питания: резонансный источник питания гармонического напряжения и источник питания квазипрямоугольных импульсов.

.1 Описание экспериментальной установки

На рис.29 показана блок-схема экспериментальной установки. Плотность мощности ультрафиолетового излучения эксилампы (4) измерялась фотоприемником (5), расположенным непосредственно на излучающей поверхности лампы. Для фиксацииформы импульсов напряжения и тока использовался осциллограф (6).

Для подачи и регулировки напряжения на источники питания (2) использовался лабораторный трансформатор (ЛАТР) (1). Для определения тока на выходеЛАТРа использовались токовые клещи (3).

3.2 Методика измерения мощности излучения эксилампы

Рис.30. Спектральная чувствительность H9535-222

Исходя из зависимости чувствительности данного фотоприемника от длины волны, корректирующий коэффициент на длине волны 308 нм составляет κ = 0.38. Таким образом, плотность мощности Pуд:

уд =Pф / κ(7)

, где Pф - показания фотоприемника.

Зная излучающую площадь поверхности эксилампы, можно найти мощности ультрафиолетового излучения.

= Pуд * Slamp(8)

.3 Порядок выполнения и результаты эксперимента

Традиционно для возбуждения активных сред эксиламп барьерного разряда используется либо напряжение гармонической формы, либо импульсное напряжение близкое по форме к прямоугольному, что существенно эффективней с точки зрения КПД в сравнении с гармонической формой[8]. В конструкции ламп барьерного разряда, где требуется питание излучателя через длинную коаксиальную линию, возбуждение субмикросекундными фронтами импульсов неприемлемо, т.к. в данном случае линия является существенной реактивной нагрузкой для импульсных источников, что значительно снижает КПД устройства «источник питания и излучатель» в целом. В связи с этим идея заключалось на использовании напряжения гармонической формы. Однако с использованием непрерывного гармонического напряжения плазма разряда перевозбуждается из-за влияния остаточной концентрации электронов, вследствие чего КПД устройства так же снижается.

Из выше сказанного следует, что напряжение на выходе источника питания эксилампы должна удовлетворять следующим требованиям:

форма напряжения должна быть гармоническая;

пауза между импульсами должна быть много больше длительности импульсов;

длительность импульсов не должна превышать 1-2 мкс.

Для реализации этих пунктов была разработана схема источника питания излучателя с гармонической формой импульса, в которой гармонические импульсы подавались пачкой (с большой паузой между пачками).

Схема такого источника представлена на рис.14.

Для начала эксперимента были подготовлены два источника питания - резонансный источник питания гармонического напряжения (номер 1) и источник питания квазипрямоугольных импульсов (номер 2). В дальнейшем они оба были исследованы на эффективность преобразования электрической энергии в световую. Источник питания квазипрямоугольных импульсов ультрафиолетового излучения эксилампы был изготовлен коллегой по лаборатории. Исследование проходило в два этапа.

Подключение источников питания осуществлялось через коаксиальную линию длиной 3м.

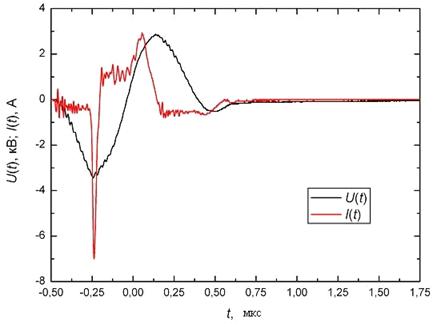
Рис.31. Зависимость тока, и напряжения с течением времени.Источник питания (1).

На рис.31изображена зависимость тока, и напряжения с течением времени. Как видно из графика, после кривых тока и напряжения идет пауза, которая необходима для устранения перенасыщения.

Рис.32.Эксилампа барьерного разряда с молекулой XeCl,возбужденная источником питания 1.

Для определения мощности потребления источником питания Pэл использовалось простая методика перемножения среднеквадратичных значений тока и напряжения. Напряжение измерялось вольтметром на входе источника питания, среднеквадратичное значение тока фиксировались токовыми клещами.

(9)

Источниками питания формировались однополярные импульсы длительностью порядка 2 мкс. Их амплитуда составляла около 5 кВ. Исследования проводились в диапозоне частот генератора от 20 кГц до 80 кГц. Частота регулировалась переменным резистором на источниках питания.

Для обоих источников питания была построена зависимость эффективности устройства (источник питания и лампа) для различных частот повторения квазипрямоугольных импульсов либо пачек импульсов гармонической формы. Сравнительные результаты представлены на рис.33.

Рис.33.Эффективность преобразования электрической энергии в световую при питании эксилампы через коаксиальную линию от резонансного источника питания (■) и прямоугольными импульсами (●)

Из рис.33. видно,что эффективность преобразования электрической энергии в световую при питании эксилампы барьерного разряда от резонансного источника гармонического напряжения питания значительно выше, чем у источника питания с квазипрямоугольными импульсами.Эффективность отличается почти в два раза.

ЗАКЛЮЧЕНИЕ

В результате выполнения работы был предложен метод эффективной передачи электрической энергии от источника питания к излучателю через коаксиальную линию - гармонические импульсы, подаваемые пачкой. На основе данного метода передачи электрической энергии был разработан резонансный источник питания гармонического напряжения, и проведен сравнительный эксперимент с источником питания квазипрямоугольных импульсов, в результате которого эффективность резонансного источника питания выше почти в два раза.Изготовленный источник питания удовлетворяет всем требованиям, поставленным в задании.

СПИСОК ИСПОЛЬЗОВАННОЙ ЛИТЕРАТУРЫ

Авдеев С.М., Соснин ЭА, Скакун В.С., Тарасенко В.Ф., Шитц Д.В. Источник двухполосного излучения на основе трехбарьернойKrCl-XeBr-эксилампы // Письма в ЖТФ. 2008. Т. 34. В. 17. С. 1-6

Бойченко А.М., Ломаев М.И., Панченко А.Н., Соснин ЭА., Тарасенко В.Ф. Ультрафиолетовые и вакуумно-ультрафиолетовые эксилампы: физика, техника и применения. Томск: STT, 2001. 512 с. ISBN 978-593629-433-4

Бойченко А.М., Тарасенко В.Ф., Фомин ЕА, Яковленко С.И. Широкополосные континуумы в инертных газах и их смесях с галогенидами // Квант.электрон. 1993. Т. 20. № 1. С. 7-30

Волкова Г.А., Кириллова Н.Н., Павловская Е.Н., Яковлева А.В. ВУФ лампы на барьерном разряде в инертных газах // ЖПС. 1984. Т. 41. В. 4. С. 681-695

Волкова Г.А., Кириллова Н.Н., Павловская Е.Н., Подмошенский И.В., Яковлева А.В. Лампа для облучения в вакуумной ультрафиолетовой области спектра // А. с. № 972249. Бюллетень изобретений. 1982. № 41. С.179-180

Герасимов Г.Н., Крылов Б.Е., Логинов А.В., Щукин СА. Ультрафиолетовое излучение возбужденных молекул инертных газов // УФН. 1992. Т. 162. № 5. С. 123-159

Иванов-Циганов А.И., Хандорин В.И. Источники вторичного электропитания приборов СВЧ. - М.: Радио и связь, 1989. - 144с.

Ломаев М.И., Скакун В.С., Соснин Э.А., Тарасенко В.Ф., Шитц Д.В., Ерофеев М.В. Эксилампы - эффективные источники спонтанного УФ- и ВУФ- излучения // Успехи физических наук. - 2003, - Т.173. - №2

Ломаев М.И., Скакун В.С., Соснин ЭА, Тарасенко В.Ф., Шитц Д.В. Отпаянные эффективные эксилампы, возбуждаемые емкостным разрядом // Письма в ЖТФ. 1999. Т. 25. В. 21. C. 27-32