Материал: Разработка конструкторской и технологической документации на токарную операцию при изготовлении детали на станке с ЧПУ

Внимание! Если размещение файла нарушает Ваши авторские права, то обязательно сообщите нам

сила трения стружки, сходящей по передней поверхности резца;

сила давления, с которой уплотненный в результате упругой деформации обрабатываемый материал воздействует на главную заднюю поверхность резца;

сила трения между обработанной поверхностью и главной задней поверхностью резца.

Описанную систему сил приводят к равнодействующей силе резания Р. Численное значение силы резания и ее ориентацию в пространстве достаточно сложно определить аналитически. Поэтому на практике при расчетах режимов резания используется не сама равнодействующая сила резания, а ее составляющие - проекции на оси координат станка Pz, Рх и Ру.

Сила Pz - составляющая силы резания, действующая в вертикальной плоскости в направлении, совпадающем с направлением вектора скорости резания. Сила Pz называется тангенциальной составляющей и представляет собой главную составляющую силы резания. По величине силы Pz определяется мощность, необходимая для снятия стружки.

Сила Рх - составляющая силы резания, действующая в горизонтальной плоскости в направлении, совпадающем с направлением продольной подачи. Сила Рх называется осевой составляющей силы резания. Величина силы Рх сравнивается с максимально допустимой для механизма подачи по паспортным данным станка, и в случае превышения последней проводится перерасчет режимов резания с целью уменьшения силы резания.

Сила Ру - составляющая силы резания, действующая в горизонтальной плоскости в направлении, совпадающем с направлением поперечной подачи. Сила Ру называется радиальной составляющей силы резания.

Значения проекций силы резания определяются эмпирически. При наружном продольном и поперечном точении, растачивании, отрезании, прорезании пазов и фасонном точении для расчета составляющих силы резания, измеряемых в ньютонах [Н], применяется следующая формула:

P w = W *C p * t x * s y * v n *K p (6)

При отрезании, прорезании и фасонном точении также применяется приведенная формула, однако буквой t обозначается не толщина срезаемого слоя за один проход, а длина лезвия резца.

Коэффициент Ср и показатели степени х, у и n для каждой составляющей силы резания подбираются по таблицам из технических справочниках. Поправочный коэффициент Кр представляет собой произведение ряда дополнительных коэффициентов, с помощью которых учитываются конкретные особенности условий резания:

Кр = Кмр *К 1р *К 2р*K3p (7)

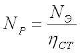
Выбранные параметры режима резания не только корректируются по паспортным данным станка, но и проверяются на соответствие мощности электродвигателей станка. Осуществление процесса резания на станке возможно при условии, что мощность электродвигателя, реализующего главное движение резания (т. е. вращение шпинделя) больше или (в крайнем случае) равна мощности, затрачиваемой на процесс резания.

 (8)

Э - Эффективная мощность резания;р - Реальная мощность на шпинделе станка

NCT - КПД главного привода станка.

Считается нормой, если потребная мощность составляет не более 85...90% от мощности привода шпинделя. При превышении мощности привода шпинделя необходим перерасчет режима резания путем соответствующей корректировки значений ранее назначенных параметров (подачи, глубины резания, стойкости инструмента и т. д.).

Таблица 4 - Расчет силы резания

Ср

40


ОР ЧПУ

7

90

t

5





s

1,2





V

68,6





x

1





y

0,75





n

0






Kmp

1


ОР ЧПУ

8

91

K1p

1

45

ОР ЧПУ

9

91

K2p

1,1

0

ОР ЧПУ

9

91

K3p

0,98


ОР ЧПУ

9

91

= 1,078= 2471,92 Н

Находим мощность резания N = 2,76967 кВт


4.2.3 Создание технологии изготовления разработанного изделия

Технология обработки создается в модуле CAM системы ADEM. Чтобы перейти в модуль CAM из модуля CAD необходимо в главном меню найти пункт "Модуль" и выбрать команду "ADEM CAM".

После этого на экране монитора появляется рабочее поле модуля CAM с изображением геометрической модели изделия и начала отсчета системы координат, в которой будет происходить обработка (рис. 5).

Рисунок 5 - Рабочее поле модуля CAM с изображением геометрической модели изделия и начала отсчета системы координат.

Возможности системы ADEM позволяют при создании технологии применять самые разнообразные последовательности действий в модуле CAM.

Для создания своей детали я выбрал следующую типовую последовательность:

Создание технологического объекта "Точить область".

Данный технологический объект состоит из конструктивного элемента "Область" и технологического перехода "Точить".

Создание конструктивного элемента "Область" - выполняется в следующем порядке:

- Нажать кнопку "Область" на панели конструктивных элементов. Откроется диалоговое окно "Область".

- Поставить флажок в поле "Полуоткрытая" (так как обрабатываемая область может быть отнесена к полуоткрытому типу) и нажать кнопку "OK".

- Указать на изображении детали контур, определяющий границы области 2.

Создание технологического перехода "Точить" - выполняется в следующем порядке:

Нажать кнопку "Точить" на панели переходов. Откроется диалоговое окно "Точить".

Выбрать закладку "Дополнительные".

Поставить флажок в поле "Многопроходная" раздела "Глубина" и ввести в соответствующее поле значение "5".

Выбрать закладку "Инструмент".

Выбрать в разделе "Тип" из предлагаемого списка "Пластинку ромбическую".

Выбрать из списка полей "Ширина-Диаметр-Радиус" поле "Ширина" и ввести значение "8".

Ввести в поле "Позиция" значение "1".

Ввести в поле "Угол" раздела "Ориентация" значение "45 град.".

Нажать кнопку "OK".

4.2.4 Выбор модели станка с ЧПУ, на котором выполняется обработка

Для выбора модели станка с ЧПУ требуется на панели "CAM Информация" нажать кнопку "Станок" (рис. 5). Откроется диалоговое окно "Оборудование" (рис. 6).

Изображенный на рис. 6 перечень постпроцессоров является специализированным списком, который ЗАО "ЭКОИНВЕНТ" поставляет с учебными станками с ЧПУ и активирует при установке системы ADEM на управляющий компьютер. Для токарного станка модели CC-D6000E с ЧПУ KOSY2 предназначен постпроцессор № 3423.

После выбора постпроцессора необходимо нажать кнопку "ОК", после чего окно закрывается.

Рисунок 6 - перечень постпроцессоров

.3 Получение управляющей программы на языке системы ЧПУ выбранного станка

.3.1 Расчет траектории движения инструмента

Расчет траектории движения инструментов система ADEM выполняет автоматически на основании созданной в модуле CAD геометрической модели и технологии обработки, составленной в модуле CAM. Для выполнения расчета необходимо нажать кнопку "Процессор" (рис. 5) на панели процессоров.

По результатам расчета на рабочем поле модуля CAM отображается траектория перемещения инструмента и появляется диалоговое окно с сообщением о результатах расчета (рис. 7). При правильном составлении технологии в окне появляется сообщение об успешном выполнении расчетов.

Рисунок 7 - Результаты расчета

Для расчета управляющей программы необходимо нажать на кнопку "Адаптер" (рис. 5) на панели процессоров. Откроется диалоговое окно "Параметры" с указанием расчетного времени обработки и условной длиной управляющей программы в метрах перфоленты.

После закрытия окна "Параметры" расчет управляющей программы закончен и можно просмотреть имитацию созданного процесса обработки, нажав кнопку "Моделирование" (рис. 5) на соответствующей панели.

Рисунок 8 - Компьютерное моделирование процесса обрабтки

Если результаты виртуальной обработки удовлетворяют пользователя, можно переходить к работе с текстом управляющей программы.

Для просмотра текста управляющей программы необходимо нажать кнопку "Просмотр управляющей программы" (рис. 9) на панели постпроцессоров.

Рисунок 9 - Панель постпроцессоров

Откроется диалоговое окно блокнота системы ADEM с готовым текстом управляющей программы.

5. Управляющая программа для обработки данной детали

%

:0001

(PROGRAMADEM)

(ZAGOTOVKA)

(MIN X: -160.826)

(MIN Y: -0)

(MAX X: 2)

(MAX Y: 85)

(MIN Z: 0)

(MAX Z: 0)

(MAX Z: 0)

(TOOLS: 1)

(FREZA: 1)

(DIAMETER: 20) G0 G59 Z140.X0. Y0.G40 G17 G80 G49 G90 N005 T1 M6 G54 G90 G0 Y280. Z0. S500 M3 X1000.X2.Y80.278 G1 X-160.826 F20 Y85.G0 X2.Y75.556G1 X-140.218 Y80.278 G0 X2.Y70.833 G1 X-131.97 Y75.556 G0 X2.Y66.111 G1 X-126.243 Y70.833 G0 X2.Y61.389 G1 X-121.906 Y66.111 G0 X2.Y56.667 G1 X-118.53 Y56.667 Y61.389 G0 X2.Y51.944 G1 X-115.899 Y56.667

Полученный текст управляющей программы можно просматривать и редактировать. В том случае, если он не содержит ошибок, его можно сохранить для последующей передачи системе ЧПУ станка.

Для ПО NCCAD текст управляющей программы должен быть сохранен в виде файла с расширением "knc".

После сохранения файла с текстом управляющей программы работа с системой ADEM по сквозному проектированию может быть прекращена.

Дальнейшая работа с управляющей программой выполняется в ПО NCCAD.Заключение


Результатом данной работы является разработанная и адаптированная программа для токарной обработки детали при помощи пакета ADEM по сквозному проектированию.

Список использованных источников

1.      Основы работы на станках с ЧПУ. Г.Б. Карташов, А.В. Дмитриев. - М.: УИЦ ЗАО "ЭКОИНВЕНТ"

.        Справочник технолога-машиностроителя. В 2-х т. Т. 2 / Под ред. А.Н. Малова. 3-е изд., переработанное и дополненное. - М.: Машиностроение, 1972. - 568 с.

.        Руководство по эксплуатации токарного станка с ЧПУ модели СС- D6000E. Г.Б. Карташов. - М.: УИЦ ЗАО "ЭКОИНВЕНТ", 2006.

.        www.adem.ru.