Материал: Разработка и практическая реализация бизнес-плана розничной торговли магазина зоотовары

Внимание! Если размещение файла нарушает Ваши авторские права, то обязательно сообщите нам

Ремонтно-строительными работами будет заниматься специализированная строительная фирма. Для выбора подрядчика на выполнения строительных работ, в 3 строительные компании города будет направлен запрос о предоставлении сметы на выполнение работ. Работы будут переданы фирме, которая предложит наиболее оптимальные условия.

Установкой систем кондиционирования, пожаротушения, видеонаблюдения будет осуществлять специализированная фирма. Выбор монтажной организации будет осуществлен путем запроса коммерческих предложений у трех - четырёх компаний. Заказ на установку будет передан на выполнение компании предложившей наиболее оптимальные условия (стоимость, сроки и тд.).

Приобретением торговой мебели, кассовых аппаратов, мебели, оргтехники будет заниматься инициатор проекта самостоятельно. Выбор поставщика оборудования будет осуществлен путем анализа коммерческих предложений 3-4 поставщиков. Закупку оборудования будет осуществляться у фирмы с наиболее привлекательные условиями (стоимость, комплектация, дата поставки)

Поиск персонала будет заниматься инициатор проекта, путем размещения рекламы на специализированных Интернет-ресурсах.

Установкой и монтажом торгового оборудования будет заниматься фирма поставщик.

Вопросом закупки товара будет заниматься инициатор. Выбор поставщиков товара будет осуществлен путем сравнения прайс-листов. Прайс-листы будут запрошены у 3-4 поставщиков. Закупка товара для зоомагазина будет осуществляться у поставщика предложившим наиболее привлекательные условия по качеству и цене.

Проведением рекламной компании будет заниматься собственник бизнеса.

Заключение договор с частным охранным предприятием, договоров на оказание коммунальных услуг будет заниматься инициатор проекта.

Для открытия зоомагазина в формате самообслуживания потребуются заемные средства 5000000 рублей. Уставный капитал компании 10000руб.

Аренда помещений складывается из аренды помещений под торговые точки и под склад . Годовая арендная плата составит: 54000*12 = 648000 руб.

Потребность магазина в оборудовании представлена в таблице 5.

Таблица 5

Потребность в оборудовании [17]

Наименование

Сумма, руб.

1. Мебель

15600

2. Торговое оборудование

45680

3. Кассовый аппарат

19350

4. Система видеонаблюдения

45600

5. Персональный компьютер

29600

6. Факс

6200

7. Принтер

6350

Итого

168380



Прогноз объемов продаж следует проводить на основе сопоставления результатов маркетинговых исследований с возможностями предприятия.

Исходными данными для составления годовой программы реализации служат:

годовая потребность в товаре;

прогнозируемые годовые выручки

Годовая потребность в товаре показана в таблице 6:

Таблица 6

Годовая потребность в товаре

Наименование продукции

Объем продаж в день, шт.

Объем продаж в год, шт.

Аквариумы

5

1825

Туалеты для животных

15

3750

Зоошампунь

20

5000

Корма для рыб

150

37500

Корма для редких видов животных

50

12500

Книги

5

1250

Корма для декоративных грызунов

50

12500

Лакомства для грызунов

50

12500

Корма для птиц

50

12500

Аксессуары для животных

30

7500

Ошейники

40

10000

Одежда для животных

5

1250

Витамины для животных

145

36250

Добавки для животных

150

37500

Корма для животных

250

62500


.6 Финансовый план

На увеличение продаж положительное влияние должно оказать параллельное введение мероприятий по стимулированию продаж. Возможно также увеличение продаж за счет значительного расширения ассортимента сопутствующих товаров и введения новых групп товаров.

Затраты на закупку товара рассчитываются по формуле [18]:

Ззак = Планируемая выручка / (1+ средняя наценка)                        (2)    

Ззак = 7769999 / (1 + 0,35) = 5755555 руб.

Средняя наценка в организации установлена в размере 35%

На основании рассчитанных доходов и расходов магазина определим экономические показатели деятельности магазина в 2015 году. Основные экономические показатели на 2015 год ООО «КотоПёс» представлены в таблице 7:

Таблица 7

Основные экономические показатели

Показатели

2015 год

Выручка от реализации товара, руб.

7769999

Затраты по реализации товара, руб.

7920735

Затраты на один рубль реализованного товара, коп.

1,02

Прибыль от реализации, руб.

-248736

Среднесписочная численность работающих, чел.

6

Фонд заработной платы, руб.

1680000

Среднемесячная заработная плата одного работающего, руб.

571200

Объем реализации на одного работающего, руб.

107916


Далее рассчитан отчет о прибылях и убытках, отчет о движении денежных средств.

Таблица 8

Отчет о прибылях и убытках организации

бизнес план магазин прибыль

Спланируем баланс денежных доходов и расходов на ближайшие три года для ООО «КотоПёс»:

Таблица 9

Бухгалтерский баланс


Для оценки эффективности деятельности предприятия используется показатель рентабельность продукции, который рассчитывается как отношение прибыли от реализации к выручке от реализации.

Уровень рентабельности в 2016 году составит:

Приб.от реал./выручку от реализации*100%=рентабильность           (3)

/8158499*100%=5,52%

Таким образом, экономические показатели деятельности свидетельствуют о целесообразности создания магазина.

В распоряжении предприятия на 2016 год остается остаток денежных средств в размере 450144 руб., который предприятие может направить на приобретение основных средств, расширение ассортимента, проведение дополнительных рекламных мероприятий и выплату дополнительных премий сотрудникам.

. Направления совершенствования бизнес-планирования розничной торговли магазина зоотовары

3.1 Основные направления совершенствования бизнес-планирования

Путем совершенствование зоомгазина предполагается выбрать изменение формата магазина - на зооцентр по схеме «товары плюс услуги».

Дополнительным заработком к нашему зооцентру может быть расширение спектр услуг:

. Привлечение специалистов-профессионалов аквариумистов, которые будут заниматься следующими услугами:

изготовление и оформление аквариумов;

ремонт аквариумов и оборудования;

эксклюзивный дизайн под любые требования заказчика;

обслуживание аквариумов и террариумов;

заказ уникальных и редких рыб, растений, моллюсков и ракообразных;

консультации по уходу за аквариумом;

перевозка аквариумов;

лечение и карантин рыб.

. Парикмахерская для животных, которая включат в себя:

стрижку и укладку питомцев;

подрезание ногтей;

расчесывание и мытье;

выщипывание волос (тримминг);

СПА-процедуры;

выезд специалистов на дом.

. Ветеринарный кабинет:

акушерство <#"828978.files/image009.gif">                                                                             (4)    

Постоянные затраты (З пост), руб .- 2 997 200 руб.

Переменные затраты на ед. прод. (З пер), руб. - 22,63 руб.

Средневзвешенная цена (Ц), руб. - 30,55руб.

997 200/(30,55-22,63)=378 434,34 шт в год

Таблица 10

Расчет показателей для определения точки безубыточности

Наименование показателя

Значение, руб.

Заработная плата

1 680 000

Начисления на заработную плату

571 200

Аренда

648 000

Реклама

98 000

ИТОГО постоянных затрат

2 997 200

Закупка товаров

5 755 555

ИТОГО переменных затрат

5 755 555

Объем реализации, шт.

254 325

Переменные затраты в расчете на единицу, руб.

22,63

Выручка от реализации, руб.

7 769 999

Средняя цена единицы, руб.

30,55


На втором этапе оценки экономической эффективности проекта рассчитывают такие показатели как:

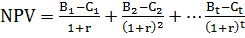
Чистый дисконтированный доход рассчитывается по формуле:

+                                 (5)    

где: Bt - выгоды проекта в год t- затраты проекта в год t= 1… n - годы жизни проекта

Инвестору следует отдавать предпочтение только тем проектам, для которых NPV имеет положительное значение. Отрицательное же значение свидетельствует о неэффективности использования денежных средств: норма доходности меньше необходимой.

Индекс прибыльности.

Индекс прибыльности (profitability index, PI) показывает относительную прибыльность проекта, или дисконтированную стоимость денежных поступлений от проекта в расчете на единицу вложений. Он рассчитывается путем деления чистых приведенных поступлений от проекта на стоимость первоначальных вложений:

                                                                                (6)    

где: NPV - чистые приведенные денежные потоки проекта;

Со - первоначальные затраты.

Внутренняя норма рентабельности это показатель при котором NPV=0. В этой точке дисконтированный поток затрат равен дисконтированному потоку выгод. Она имеет конкретный экономический смысл дисконтированной «точки безубыточности» и называется внутренней нормой рентабельности, или, сокращенно, IRR.

Оценка эффективности для проекта создания магазина зоотоваров ООО «КотоПёс» произведена на основании интегральных показателей, отражающих экономическую эффективность, которую намечается достигнуть в результате его реализации. Принятый в расчетах эффективности проекта коэффициент дисконтирования (норма дисконта) равен 0,15 (15%).

Результаты расчетов показателей экономической эффективности бизнес-плана представлен в таблице 11:

Таблица 11

Показатели экономической эффективности бизнес-плана

Показатели


1. Объем инвестируемых средств, руб.

5 000 000

2. Период эксплуатации инвестиционного проекта, лет

2

3. Сумма денежного потока, руб.:


1 год

7 769 999

2 год

8 158 499


Таблица 12

Инвестиционный проект

Инвестиционный проект

при ставке 10%

Годы

будущая стоимость, руб.

Дисконтный множитель

настоящая стоимость, руб.

1

7 769 999

0,909

7 062 929

2

8 158 499

0,826

6 738920

ИТОГО

15 928 498


13 801 849


Чистый дисконтированный доход равен:

ЧДД = 13 801 849 - 5 000 000 = 8 801 849 (руб.)

Срок окупаемости:

801 849/5 000 000=1,76=2 года

Таким образом, проект можно считать эффективным, так как его срок окупаемости менее двух лет.

Заключение

Руководители многих предприятий (особенно небольших) считают, что не следует тратить время на бизнес - планирование, поскольку экономическая ситуация так быстро меняется, что приходится постоянно вносить изменения и дополнения в первоначальную схему. То есть они полагают, что в быстроменяющихся экономических условиях достаточно все держать в уме и нет необходимости тратить время на планирование своих действий.

Однако, специалисты и руководители крупных предприятий относят бизнес - планирование к деятельности высшего порядка и считают, что оно предоставляет не мало выгод:

помогает руководству фирмы мыслить перспективно;

способствует четкой координации предпринимаемых усилий;

формирует систему целевых показателей деятельности для последующего контроля;

готовит предприятие к возможным внезапным переменам;

демонстрирует взаимосвязь обязанностей всех должностных лиц.

Итак, есть смысл разрабатывать бизнес - план даже в постоянно меняющихся условиях, если есть желание, чтобы нормальная деятельность предприятия не была нарушена ходом будущих событий.

Бизнес-план является важнейшим инструментом планирования предпринимательской деятельности. Научиться составлять бизнес-план, значит овладеть этим незаменимым инструментом.

Данный вариант плана можно считать одной из итераций непрерывного процесса бизнес-планирования. И при появлении новых данных, развитии науки и техники его можно уточнять и совершенствовать.

Бизнес-план - это общепринятая в мировой хозяйственной практике форма представления деловых предложений и проектов, содержащая развернутую информацию о производственной, сбытовой, финансовой деятельности фирмы и оценку перспектив, условий и форм сотрудничества на основе баланса собственного экономического интереса фирмы и интересов партнеров, инвесторов, потребителей и конкурентов, перспектив, форм и условий сотрудничества.

При проектировании нового магазина подход с точки зрения бизнес-планирования является наиболее оптимальным, в связи с тем, что в результате работы определяется положение предприятие на рынке, открываются перспективы деятельности и осуществляется детальное прогнозирование доходов и расходов в ходе реализации проекта.

Одной из важных составляющих разработки бизнес-плана является маркетинговое исследование, в ходе которого было установлено, что в среднесрочной перспективе можно прогнозировать темпы роста объемов.

Данный проект можно считать эффективным, так как его срок окупаемости меньше 2 лет.

Список используемых источников

Бекетова О.Н. Бизнес-план: теория и практика.- М.: Финансы и статистика, 20010.-С.16-17.

Буров В.П. Бизнес-план фирмы. Теория и практика : учеб. пособие.- М.: Дело и сервис, 2010. - С.22.

Цели, функции и методика составления бизнес-плана <http://purpose.spbr.ru/>

Сергеев А.А. Исходные этапы разработки бизнес-плана// Деловая информация.-2009.-№5.-С.1-3.

Лазарев А.В. Бизнес-планирование как форма экономического управления.- М.: ИД ФБК-ПРЕСС, 2010.- С.37.

Сисошвили С.В. Основы разработки бизнес-плана // ФПА АКДИ «Экономика и жизнь», №16. - 2009. - С. 14-45.

Сергеев А.А. Исходные этапы разработки бизнес-плана// Деловая информация.-2010.-№5.-С.1-3.

Блэквелл Эд. Как составить бизнес-план: Перевод с англ.. -М. : ИНФРА-М, 2011. - С.58.

Бороздин М., Гаевская М. Составление бизнес-плана: "Описание предприятия"// http://www.belinvest.biz/.

Сергеев А.А. Исходные этапы разработки бизнес-плана// Деловая информация.-2009.-№5.-С.7.

Злобина Н.В., Управленчиские решения: учебное пособие, 2007

Помощь малому бизнесу, «Зверский» бизнес - как открыть зоомагазин,http://www.bizidei.ru/zverskiy_biznes_kak_otkryit_zoomagazin.html.

ИК "Финам", http://www.zooweb.ru/newsz/news/817/print/.

Помощь малому бизнесу, «Зверский» бизнес - как открыть зоомагазин,<http://www.bizidei.ru/zverskiy_biznes_kak_otkryit_zoomagazin.html>

РБК , 2008, <http://www.liveretail.ru/articles.php?id=392>).

Думчева С.В. Энциклопедия маркетинга:[Электронный документ]( http://www.marketing.spb.ru/mr/services/restourant_02_3.htm).

Волков О.И. Экономика предприятия. ,М.: ИНФРА-М, 2003, 255 с.

Гуляев В.Г. Организация бизнеса. - М.: Нолидж, 2002, 372 с.

Приложение 1

Прайс-лист

Наименование

Упак.

Цена (руб.)

1. Корма для собак



ЧАППИ сух 450 гр Говядина

450 гр

29,90

ПЕДИГРИ конс 100 гр Курица

100 гр

12, 90

RCCI PRS-30 д/соб.мел.пор.приверед. в еде сух 2,5кг

2,5 кг

832,90

2. Корма для кошек



КИТЕКАТ сух 400 гр Жаркое с овощами

400 гр

35,90

ВИСКАС конс 100 гр Индейка/телятина 10%

100 гр

14,90

Шеба Воздушное суфле лосося 6197 80 гр

80 гр

53,90

3. Корма для птиц



ВАКА «ВК» д/попугаев 500 гр

500 гр

21,90

КАТРИН корм д/канареек Яблоко

500 гр

37,90

4. Корма для грызунов



ВАКА «ВК» д/хомяков

300 гр

14,90

ДУСЯ д/морск. Свинок С.Пб.

600 гр

30,90

Кеша мин подкорм д/грыз 40 гр

40 гр

9,90

5. Корма для рыб



Аква Меню Артемия-Ю

30 гр

23,90

Стандарт Д(донный) 10 гр гранулы люкс

10 гр

5,90

6. Витамины



Б/Вит. д/кош. Сердечки Тау+Био 75 табл.

75 табл

91,90

Вит 7 д/собак с биотином (60т.)

60 табл

29,90

Омега С-М д/щенков 60таб.

60 таб

34,90

7. Средства для животных



Антигадин (Химола)

150 мл

83,90

Зоошампунь «КиСка» гигиен.д/кош длиннош

230 мл

23,90

Мазь Серно-Дегтярная

15 гр

17,90

8. Контрацептивы



Секс-барьер 2 мл капли женский

10 амп

53,90

ЭКС-5 жидкий

2 мл

37,90

9. Препараты от глистов



Альбен «С» от кругл и лент гельментов

6 таб

29,90

Празицид - суспензия для щенков


27,90



Барс капли на холку д/кошек

3 дозы

60,90

Зоошампунь «КиСка» инсект д/соб(артемон)

110 мл

16,90

Ошейник HERBA MAX д/кош на травах

35 см

80,90

11. Глазные капли



Анандин глазные капли

5 мл

23,90

Конъюнктивет, глазные капли 10 мл.

10 мл

12,90

12. Ушные капли



БАРС ушные капли

20 мл

24,90

Отоферонол Плюс ушные капли

5 мл

24,90

13. Средства гигиены



Подстилка а/м д/соб. H42012

уп

718,90

Салфетки влажные д/глаз и ушей(15шт)

уп

26,90

14. Наполнители



Катсан гигиенический 10л

10л

578,90

PUSSY-CAT 4,5л комкующий

4,5л

46,90

15. Приспособления для животных



Автопоилка д/животных(500мл) P836

шт

151,90

Когтеточка с пропиткой ср.(мордашка)

шт

156,90

МИСКА д/кошек и собак №3 Гамма

шт

27,90

Туалет д/кошек KAT большой с сеткой

шт

58,90

16. Кости жевательные



Кость из жил 3» 7,5см 23гр

уп

10,90

Звездочки Леонардо 350гр

шт

157,90

17. Клетки, корзины, переноски, домики



Дом д/кошек большой (овальная крыша)

шт

859,90

Корзина-Софа №1 прямоуг.

шт

543,90

Дом д/грыз. ГРИБ 5001

шт

112,90

Клетка д/морской свинки

шт

257,90

18. Игрушки



Апорт д/собак

шт

79,90

Дразнилка три шарика

шт

47,90

Мяч д/гольфа одноцвет.

шт

9,90

19. Пуходерки, щетки



Пуходерка пласт. больш с каплей

шт

50,90

Щетка массажная

шт

30,90

20. Аквариумистика



Аквариум «JEBO» R3100 208л

208л

14890

Аквариум Бокал 5л

417,90

Компрессор Тритон WACO-5501

шт

121,90

Обогреватель 2009/25

шт

226,90

21. Лекарства для рыб



Аквастоп С/П

50мл

17,90

Унифлор (аква-7)

100мл

23,90

22. Растения



Растение пластмасс 8см (0858)

шт

26,90

Растение акв.пласт. CW2804 10

шт

15,90

23. Грунты



Грунт тритон коралл 800гр мелкий, средний

шт

26,90

Грунт тритон стек.№85 лунн.камешки (170гр)

шт

35,90

24. Гроты



Грот Иж Бревно Д4

шт

143,90

Грод 325 Беседка

шт

71.90

25. Рулетки



Рулетка FD 9008 (5м) на 30кг

шт

280,90

26. Карабины, вертлюги



Вертлюг разборный №2 (средний)

шт

47,90

Карабин цилиндр большой (7,5см)

шт

88,90

27. Цепи привязочные



Цепь привязочная (восьмерка)

шт

85,90

Цепь привязочная отечеств.5*36

шт

194,90

28. Намордники, ошейники, поводки, удавки



Намордник кожан.тройной №2 Доберман

шт

88,90

Ошейник 17мм Щенячий

шт

30,90

Поводок кожаный Коса 14мм

шт

152,90

Поводок брезент 5м

шт

159,90

Удавка одинарная SHO 3055

шт

14,90

29. Сумки-переноски



Сумка-переноска №4/1 Бязь 55061

шт

258,90

30. Одежда и аксессуары для животных



Ботинки д/соб.с мехом коричн. 3037B

шт

497,90

Жилет на меху №2 (44*30)

шт

229,90

Комбинезон СО СТРАЗАМИ 26см FFA085

шт

315,90

Одежда «Микки Маус» д/соб. 32см FFA007

шт

184,90