Материал: Расчёт воздухоразделительной установки

Внимание! Если размещение файла нарушает Ваши авторские права, то обязательно сообщите нам

NА =Nобщ/П;(4.65)

Nк =647,2/598,4=1,127 кВт·ч/м3.

3. Проектный расчет теплообменика основного

Определение коэффициента теплоотдачи трубного пространства

Живое сечение трубы


Принимаем число труб n = 76

массовая скорость


Критерий Рейнольса


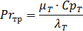
Число Прандтля


Критерий Нусельта


Длина оребряючей проволоки

 

Удельное свободное пространство намотки


Принимаем скорость потока WA = 5 м / с

Площадь межтрубного пространства

 

Внешний диаметр намотки (ориентировочное значение)

Число слоев намотки


Внешний диаметр намотки при z = 14


Поправка на кривизну труб


Коэффициент теплоотдачи трубного потока


Определение коэффициента теплоотдачи межтрубного пространства

Уточненная площадь свободного межтрубного пространства

 

Массовая скорость потока в межтрубном пространстве


Критерий Рейнольдса


где,

где, φ - коэффициент оребрения


δ=0.15 мм - Ширина линии контакта провода и трубы.

Число Прандтля


Коэффициент теплоотдачи межтрубного потока


Коэффициент теплоотдачи трубного и межтрубного пространств отнесен к внешней поверхности исходной трубы


Де, - λ = 380

ηр = 0.95

Определение поверхности теплообмена и параметров навивки

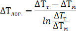
Средний логарифмический температурный напор.


Необходимая поверхность теплообмена (по наружной поверхности неоребрених трубок)


Необходимая суммарная длина труб без величины запаса


Средний диаметр навивки


Тангенс угла навивки


Необходимая висота навивки


Действительная поверхность теплообмена


Действительная длина трубок

 

Действительная высота навивки


Средние диаметры слоев намотки, количество труб в слое (число мероприятий), число витков труб при намотке и довжиа труб в каждом слое заносим в таблицу.

Таблица навивки теплообменника

і

Dсл. І

nзах.і. р

nзах.і окр.

nв.і

Lмр.і

1

0,185

6,414

6

36

21

124

2

0,211

7,316

7

31

20

142

3

0,237

8,217

8

27

20

159

4

0,263

9,119

9

24

20

177

5

0,289

10,020

10

21

19

194

6

0,315

10,922

11

19

19

212

7

0,341

11,823

12

18

19

229

8

0,367

12,724

13

16

19

247


Определение гидравлических сопротивлений потоков

Потери давления внутри труб


=389.858

Коэффициент сопротивления трения в трубном пространстве


=0.027

Средняя длина труб теплообмінника


=21.587

Коэффициент оребрения


Средний радиус закругления змеевиком


Относительная потеря давления в трубном пространстве


=0.023

Потери давления в межтрубном пространстве

=3263


Число рядов труб в слое


=113.631

Относительная потеря давления


=0.023

. Обоснование выбора материала

В конструкции колонны используется сталь 12Х18Н10Т для изготовления корпуса и днищ.

Сталь, имеющая структуру аустенита, сохраняет пластичность и вязкость до температур, близких к температуре жидкого гелия, поэтому аустенитовая сталь является важнейшим конструктивным материалом для аппаратов и машин, работающих при таких низких температурах.

Титан сообщает аустениту устойчивость к нагревам при различных технологических операциях. Сталь этих марок является важнейшим конструктивным материалом для нержавеющей, кислотостойкой и жаростойкой аппаратуры и одновременно прекрасным хладостойким материалом для сварных аппаратов, не требующих последующей термической обработки.

Рассматривая, аустенитовые стали, как конструктивный материал, необходимо отметить их низкую теплопроводность и более высокий коэффициент линейного расширения по сравнению с другими марками конструктивной стали.

В цветных металлах и сплавах с понижением температуры прочностные показатели возрастают. Особенно важно, что наряду с увеличением пределов прочности, упругости, твердости и т.п. такие свойства, как пластичность и ударная вязкость, понижаются в слабой степени, а у некоторых металлов даже возрастают.

Свойство цветных металлов и сплавов сохранять пластичность при низких температурах определяет самое широкое их применение в аппаратуре, работающей при низкой и ультранизкой температурах. Ударная вязкость меди, алюминия, свинца, никеля возрастают при понижении температуры: при 80 К она в 1,21,5 раза больше, чем при температуре 300К. Ударная вязкость большинства медных, алюминиевых и никелевых сплавов с понижением температуры понижается , но в незначительной для практики степени.

Хорошей прочностью при низких температурах обладают титановые сплавы, что в сочетании с их низкой плотностью способствуют расширению их использования в криогенной технике.

Специально для работы при криогенных температурах созданы титановые сплавы серии АТ2

воздух установка энергетический теплообменник

5. Прочностной расчет






Цель расчета: рассчитать толщину стенки днища

Исходные данные

Материал сталь Х18Н10Т

(ГОСТ 5632-61);

Предел текучести 240МПа

Допускаемое напряжение при температуре 200С 160МПа.

Диаметр днища =400мм

Высота днища


Толщина стенки днища


где Р - давление в колонне

R- радиус кривизны в вершине эллиптического днища

-коэффициент прочности продольного сварного шва=1

Толщина стенки с учетом прибавок.


где С1-компенсация коррозии металла.

С2- допуск на толщину листа

Принимаем 4мм с запасом.

Определяем давление, которое воздействует на сварной шов.


Определяем напряжение возникающее при испытании


При испытаниях должно выполнятся условие


Условие прочности выполняется.

Проверка прочности обичайки.

Расчет прочности обичайки производим аналогичным методом.

Материал обичайки Сталь20 .

Предел текучести 245МПа

Допускаемое напряжение при температуре 200С 147МПа.

Диаметр обичайки =400мм

Толщина стенки

Давление, испытуемое сварным швом, будет таким же как и днища.

Определяем напряжение, возникающее при испытании


где - коэффициент прочности продольных швов=0.9

При испытаниях должно выполняться условие


Условие прочности выполняется

Заключение

Сталь, имеющая структуру аустенита, сохраняет пластичность и вязкость до температур, близких к температуре жидкого гелия, поэтому аустенитовая сталь является важнейшим конструктивным материалом для аппаратов и машин, работающих при таких низких температурах.

Титан сообщает аустениту устойчивость к нагревам при различных технологических операциях. Сталь этих марок является важнейшим конструктивным материалом для нержавеющей, кислотостойкой и жаростойкой аппаратуры и одновременно прекрасным хладостойким материалом для сварных аппаратов, не требующих последующей термической обработки.

Рассматривая, аустенитовые стали, как конструктивный материал, необходимо отметить их низкую теплопроводность и более высокий коэффициент линейного расширения по сравнению с другими марками конструктивной стали.