ҚАЗАҚСТАН ҒЫЛЫМЫ МЕН ТЕХНИКАСЫ. ISSN 1680-9165. \ № 1, 2018
2Экономическоеобоснованиевыборадиаметрамагистральногогазопровода
Капитальные затраты в линейную часть.
Согласно П.1 [10] стоимость строительства 1 км трубопровода составляет:
Тогда:
Капитальные затраты на сооружение КС. Согласно П.2 [10] для агрегата типа ГПА-Ц-16
Стоимость строительства одной КС на четыре агрегата i: = 4 равна
Тогда с учётом числа КС капитальные затраты на все КС будут равны:
\
Полные капитальные затраты.
Стоимость эксплуатации линейной части МГ.
Согласно П.1 [10] стоимость эксплуатации 1 км МГ в год составляет:
Тогда:
Стоимость эксплуатации всех станций. Согласно П.2 [10] для агрегата типа ГПА-Ц-16
Стоимость эксплуатации типовой КС на четыре агрегата ГПА-Ц-16 равна
Тогда
Полные эксплуатационные расходы:
Приведённые затраты, где коэффициент эффективности Е: = 0.15 год-1,
Таким образом, по приведённым затратам выгодным является диаметр 1420 мм и в дальнейшем расчёты ведём для этого диаметра.
88
НАУКА И ТЕХНИКА КАЗАХСТАНА. ISSN 1680-9165. \ |
№ 1, 2018 |
|
|
|
|
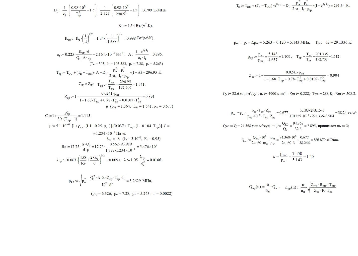
3 Уточнённый тепловой и гидравлический расчёты участков газопровода между компрессорными станциями
3.1Уточнениерасстояниямеждукомпрессорнымистанциямисучётомрасхода топливного газа на собственные нужды. Для одного ГПА-Ц-16 номинальный расход топливного газа (ТГ) согласно П.6 [10]
Суточный объёмный расход топливного газа для трёх ГПА на станции
Тогда объёмный расход газа по четырём участкам распределится так:
Средняя длина участка между КС определяется по формуле, где
Длина каждого участка МГ:
Расчёт первого участка Принимаем в качестве первого приближения значения первого
этапавычислений: Конечноедавлениевпервомприближении
Для сокращения записи сразу приводим второе приближение
Среднее давление
Приведённые значения давления и температуры
Удельная теплоёмкость газа
89
ҚАЗАҚСТАН ҒЫЛЫМЫ МЕН ТЕХНИКАСЫ. ISSN 1680-9165. \ № 1, 2018
Коэффициент Джоуля-Томсона
Базовый коэффициент теплопередачи для газопровода диаметром 1 м для смешанного грунта 1,27–1,34 [11]. Принимаем
Среднее значение коэффициента теплопередачи
Коэффициенты
Средняя температура газа
Уточняем значения
Коэффициентдинамическойвязкости
где
Число Рейнольдса и коэффициенты |
, |
Находим конечное давление рк3 в третьем приближении
что весьма близко рк2 = 5.2630 МПа, поэтому среднее давление не уточняем. Конечная температура газа
90
НАУКА И ТЕХНИКА КАЗАХСТАНА. ISSN 1680-9165. \ |
№ 1, 2018 |
|
|
|
|
На этом этапе уточнённый тепловой и гидравлический расчёты первого участка газопровода можно считать завершённым.
4 Расчёт режима работы КС
НакомпрессорныхстанцияхустановленыгазотурбинныеагрегатыГПА-Ц-16, оборудованные центробежными нагнетателями ГПА-Ц-16/76.
Давление и температура газа на входе в центробежный нагнетатель:
Значения давления и температуры, приведённые к условиям всасывания:
Коэффициент сжимаемости газа при условиях всасывания (Zст: = 1)
Номинальныеподачаичастотавращения,атакжепараметрыприведения,для которых построены характеристики ЦН, берутся по таблице 4 [10]:
Плотность газа ρвс, требуемое число параллельно работающих нагнетателей mн и подача нагнетателя при условиях всасывания Qвс:
Требуемая (расчётная) степень повышения давления
Задаём интервал чисел частоты вращения ротора с шагом 500 мин–1 n: = 4000,4500.. 5500 (символ «..» вводится нажатием клавиши «;»).
Задаём приведённые расход Qпр и относительную частоту nпр в функции от n:
91
ҚАЗАҚСТАН ҒЫЛЫМЫ МЕН ТЕХНИКАСЫ. ISSN 1680-9165. \ № 1, 2018
и выводим их значения в виде матриц Полученные точки наносятся на характеристику и соединяются линией
(плавная кривая ABC – линия режимов на рисунке 1). По характеристике нагнетателя определяем расчётные значения приведённых параметров. Для этого проводим горизонтальную линию из ε = 1.45 до линии режимов и находим точку пересечения р. Проводя вертикальную линию через эту точку, находим
Значения расчетных величин:
Рисунок 1 – Приведённые характеристики нагнетателя ГПА-Ц-16/76
92