Материал: Расчет в MathCad

Внимание! Если размещение файла нарушает Ваши авторские права, то обязательно сообщите нам

НАУКА И ТЕХНИКА КАЗАХСТАНА. ISSN 1680-9165. \

№ 1, 2018

 

 

 

 

ГРНТИ 73.01.77, 73.39.31; 50.05.09

В. В. Рындин

к.т.н, профессор, кафедра «Механика и нефтегазовое дело», Павлодарский государственный университет имени С. Торайгырова, г. Павлодар, 140008, Республика Казахстан

e-mail: rvladvit@yandex.kz.

ТЕХНОЛОГИЧЕСКИЙ РАСЧЁТ МАГИСТРАЛЬНОГО ГАЗОПРОВОДА В СИСТЕМЕ MATHCAD

При проектировании магистральных газопроводов в проектных организациях, а также в ходе выполнении дипломных и курсовых проектов в основном используются электронные таблицы (Excel). Запись программ, созданных в электронных таблицах, не является наглядной и проверить формулы и изменить их затруднительно даже самому разработчику программы. Этих недостатков лишена новая математическая система Mathcad, позволяющая записывать формулы в привычном виде, что делает её доступной для студентов и инженеров. Цель статьи – привлечь внимание проектировщиков магистральных газопроводов к использованию в своих расчётах системы Mathcad.

Разработанная программа включает следующие разделы: расчёт диаметра трубопровода и толщины его стенки; определение числа компрессорных станций и расстояния между ними; экономическое обоснование выбора диаметра трубопровода; тепловой и гидравлический расчёты трубопровода; расчёт режима работы компрессорной станции; построение линии режимов на диаграмме характеристик и графическоеопределениепонейхарактеристиквыбранногоцентробежногонагнетателя для найденной степени повышения давления.

Ключевые слова: магистральный газопровод, система Mathcad, технологический расчёт, экономический расчёт, центробежный нагнетатель, приведённая характеристика нагнетателя.

ВВЕДЕНИЕ При решении многих математических задач широко используется

программирование в средах Fortran, Turbo Pascal, Delphi, Matlab, Maple, Mathematica и др. При этом возникает вопрос, какую систему использовать для решения поставленной задачи. В работе [1] даются следующие рекомендации по выбору компьютерной системы для решения конкретных задач:

еслитребуетсяаналитическоерешениезадачи,тоцелесообразноиспользовать наиболее интеллектуальные программы – Mathematica и Maple;

если требуется широкое использование графических образов, то лидером в этой области является система Mathematica;

если требуется решить специальную, а не общематематическую задачу, то следует выбрать систему Matlab;

если нужно создать документ с большим количеством математических выражений,формул,символов,тоследуетвыбратьсистемуMathcad,позволяющую наглядно вводить исходные данные, проводить математическое описание решения задачи в традиционном виде и получать результаты вычислений как в аналитическом, так и в численном виде [2, 3].

83

ҚАЗАҚСТАН ҒЫЛЫМЫ МЕН ТЕХНИКАСЫ. ISSN 1680-9165. \ № 1, 2018

Накафедре«Механикаинефтегазовоедело»Павлодарскогогосударственного университетаим.С.ТорайгыроваширокоиспользуетсясистемаMathcadприрасчёте гидропривода [4] и проектировании магистральных нефтепроводов [5, 6], а также прирасчётедвигателейвнутреннегосгорания[7,8].Начальныесведенияпоработе в среде Mathcad, достаточные для создания подобной программы, даны в [9].

Ниже даётся программа расчёта магистрального газопровода (МГ) в системе Mathcad. В основу программы положен технологический расчёт магистрального газопровода, приведённый в [10].

ПРОГРАММА РАСЧЁТА МГ В СИСТЕМЕ MATHCAD

Всёниженаписанное,включаяикомментарии,можетсоставлятьсодержание программы расчёта – система сама определяет, где текст, а где математические выражения (для наглядности в текстовой части символы величин будем писать курсивом, а в формулах Mathcad – прямым шрифтом).

Задание. Выполнить технологический расчёт магистрального газопровода пропускной способностью Qг: = 31 млрд м3/год и протяжённостью L: = 520 км.

Ввод символа присваивания «:=» (двоеточия с равно) осуществляется нажатием клавиши с символом двоеточия «:».

СредняятемпературагрунтанаглубинеосигазопроводаТгр:=278К;средняя температура воздуха Тв: = 283 К. Давление в конце МГ рк: = 2 МПа.

Стандартные условия (СУ): рст: = 101325 Па; Тст: = 293.15 К (20 оС). Молярная газовая постоянная Rμ: = 8314.51 Дж/(кмоль.К). Удельная газовая постоянная воздуха Rв: = 287 Дж/(кг.К). Плотность воздуха при стандартных условиях

\ \

Начиная с Mathcad 13, появилась возможность вывода значений величин, входящих в формулу. Для этого необходимо ключевое слово explicit с панели Symbolic(Символика)ввестивконецвычисляемойформулы,азатемпослеexplicit через запятые ввести все величины, входящие в формулу.

1 Определение диаметра газопровода и числа КС

1.1 Расчёт физических свойств перекачиваемого газа:

Компоненты

Объёмная доля

Плотность при

Молярная масса,

Газовая постоянная,

СУ, кг/м3

кг/кмоль

Дж/(кг.К)

Метан СН4

r1 : = 0.984

ρ1: = 0.667

М1: = 16.0426

R1: = 518.277

Этан С2Н6

r2: = 0.0007

ρ2: = 1.250

М2: = 30.0694

R2: = 276.511

Пропан С3Н8

r3: = 0.0001

ρ3: = 1.833

М3: = 44.0962

R3: = 188.554

Диоксид

r4: = 0.0041

ρ4: = 1.842

М4: = 44.0098

R4: = 188.924

углерода

СО2

 

 

 

 

Азот N2

r5: = 0.0111

ρ5: = 1.165

М5: = 28.0134

R5: = 296.805

Здесьri –индексированныепеременные,матричные;индексiставитсяпутём нажатия клавиши с открывающейся квадратной скобкой «[».

84

НАУКА И ТЕХНИКА КАЗАХСТАНА. ISSN 1680-9165. \

№ 1, 2018

 

 

 

 

Плотность газа при стандартных условиях

Молярная масса смеси газов

Удельная газовая постоянная смеси

Псевдокритические температура и давление смеси:

\

Относительная плотность газа по воздуху при стандартных условиях

1.2Выборрабочегодавления,типаГПАиопределениедиаметрагазопровода С учётом рекомендаций по проектированию в качестве рабочего давления выбираемр:=7.5МПа.Исходяиззаданнойпропускнойспособностигазопровода (Qг = 31 млрд м3/год) и выбранного рабочего давления, по таблице 1 [10] определяем ориентировочное значение диаметра газопровода D1420: = 1420 мм. Далеедляэкономическогообоснованиявыборадиаметраследовалобывзять ближайший меньший и ближайший больший диаметры. Но поскольку диаметра больше1420ммнесуществует,тодлясравненияпринимаемближайшийменьший

диаметр D1220: = 1220 мм.

Оценочныйкоэффициентиспользованияпропускнойспособностигазопровода принимаем в интервале 0,85–0,9 Ки: = 0.9.

Суточная пропускная способность газопровода

Исходяизпринятогорабочегодавленияисуточнойпропускнойспособности, принимаем по таблице 4 [10] к установке четыре газотурбинных агрегата ГПА-Ц-16, оборудованных центробежными нагнетателями ГПА-Ц-16/76. Номинальная подача нагнетателя Qн: = 32.6 млн м3/сут. При этом нагнетатели работают параллельно, один резервный. Давления всасывания и нагнетания:

рвс: = 5.14 МПа, рнаг: = 7.45 МПа.

Для принятых диаметров выбираем трубы Харцызского трубного завода, изготовленныепоТУ14-3-1938-2000изстали10Г2ФБ.Техническиехарактеристики труб взяты из таблицы Г.1 [11].

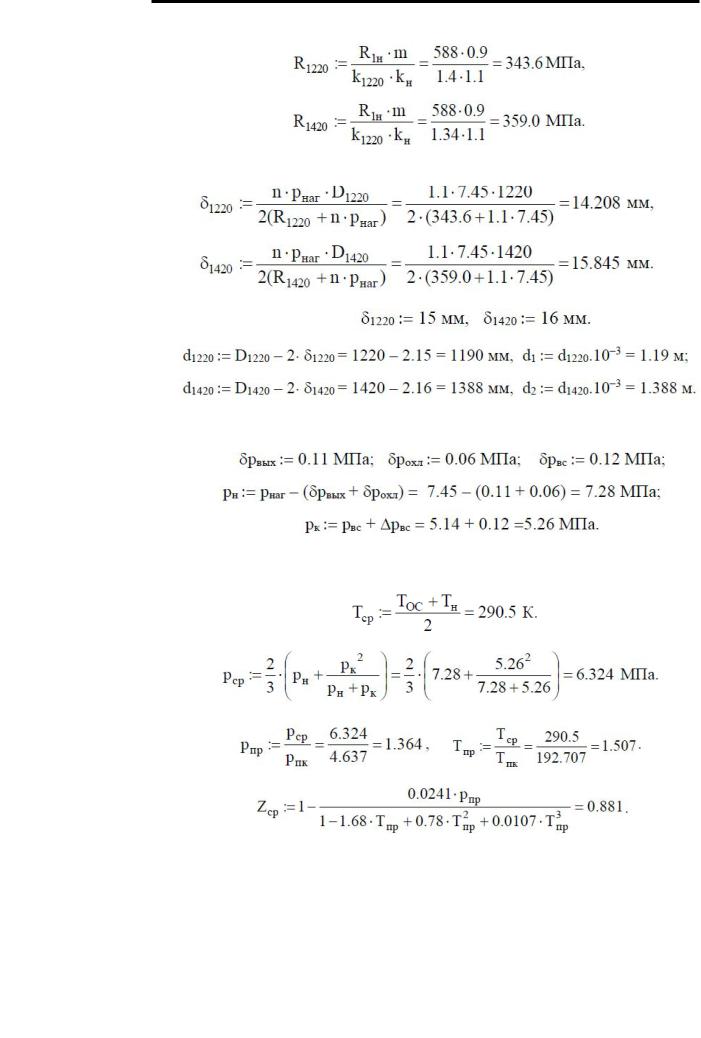
Нормативное сопротивление принято равным временному сопротивлению разрыва R: = 588 МПа; коэффициент условий работы трубопровода m: = 0.9;

коэффициент надёжности по материалу k1220: = 1.4; k1420: = 1.34;

85

ҚАЗАҚСТАН ҒЫЛЫМЫ МЕН ТЕХНИКАСЫ. ISSN 1680-9165. \ № 1, 2018

коэффициент надёжности принимаем kн: = 1.1.

Расчётное сопротивление определяем по СТО Газпром 2-2-1-131-2007

Принимая коэффициент перегрузки по таблице 13* СНиП III-42-80 n: = 1.1, находим необходимые толщины стенок труб:

Принимаем для труб этих диаметров соответствующие толщины (большие рассчитанных выше) по [11]:

Для этих толщин находим внутренние диаметры трубопроводов:

1.3 Определение расстояния между компрессорными станциями и числа КС Пользуясь данными таблицы 3 [10], определяем значения начального и

конечного давления на линейном участке между КС:

Полагая температуру газа на входе в линейный участок равной Тн: = 303 К, а в конце участка равной температуре окружающей среды ТОС: = 278 К, определим ориентировочно среднюю температуру газа на линейном участке

Среднее давление на линейном участке газопровода

Приведённые значения давления и температуры

Коэффициент сжимаемости газа

86

НАУКА И ТЕХНИКА КАЗАХСТАНА. ISSN 1680-9165. \

№ 1, 2018

 

 

 

 

 

 

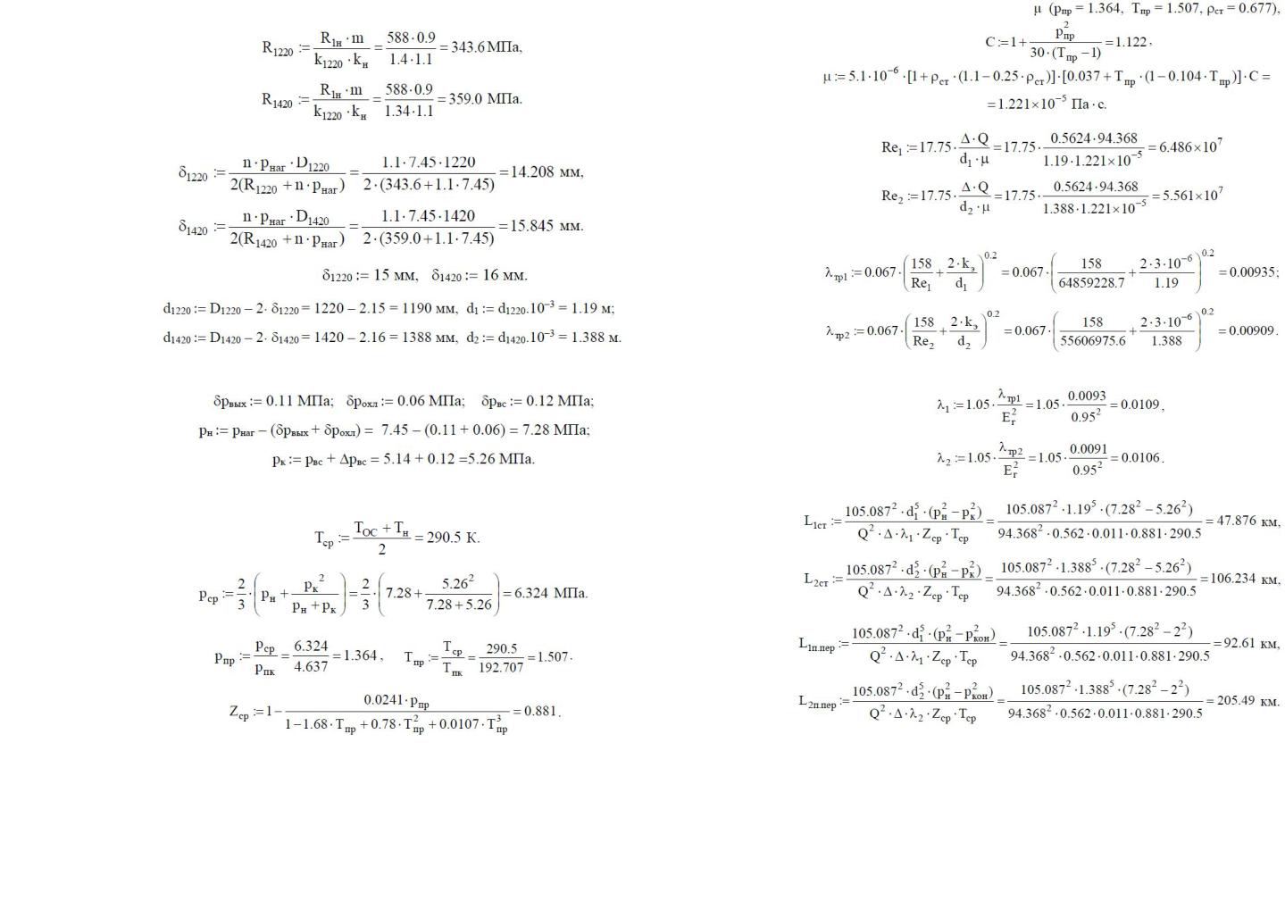
Коэффициентдинамическойвязкости

 

где\

\

 

 

Числа Рейнольдса для труб с наружными диаметрами 1220 мм и 1420 мм:

Приняв эквивалентную шероховатость для новых труб kэ: = 3.10–5 м, найдём коэффициент гидравлического трения по формуле ВНИИГаза:

С учётом местных сопротивлений и коэффициента гидравлической эффективности Ег: = 0.95 расчётные значения λ будут следующие:

Длины линейных участков между компрессорными станциями:

Длиныпоследнихперегоновпридавлениивконцегазопровода ркон:=2МПа:

Расчётное и округлённое число компрессорных станций:

87