Материал: Расчет трансформаторов

Внимание! Если размещение файла нарушает Ваши авторские права, то обязательно сообщите нам


где K - коэффициент равен 0,015, определяемый по таблице (7-1) [1].

Суммарные потери КЗ и расчет напряжения КЗ

Таким образом, полные потери короткого замыкания:


Отклонение практически посчитанного значения потерь короткого замыкания от заданных в задании потерь равно:

Активная составляющая напряжения короткого замыкания:


Реактивная составляющая напряжения короткого замыкания:


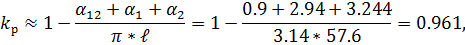
где kр - коэффициент, учитывающий отклонение реального потока рассеяния от идеального параллельного потока, вызванное конечным значением высоты обмоток:


Где  - коэффициент, определяющий распределения активных материалов в трансформаторе.

Напряжение короткого замыкания трансформатора:


Отклонение посчитанного значения напряжения короткого замыкания от заданного в задании:

Согласно ГОСТ 11677-85 допускается отклонение напряжения короткого замыкания от заданного .

Расчет усилий, возникающих при КЗ

Действующее значение установившегося тока короткого замыкания:


Максимальное значение тока короткого замыкания:


где kmax - коэффициент, учитывающий апериодическую составляющую тока короткого замыкания:


На рисунке 13 показано возникновение радиальных сил при К.З.

Рисунок 13 - Возникновения радиальных сил при К.З.

Механическая сила в обмотке:


где  - коэффициент, показывающий отношение средней длинны витка к высоте обмотки, равен 1.594.

Сила, разрывающая обмотку:


Напряжение на разрыв в проводе обмотки:

что меньше допустимого значения 15 МПа.



где K - коэффициент осевой силы:


Коэффициент k01 определяется по:


Из таблицы (7-4) [1] находим коэффициент :


Поскольку коэффициент k02 равен 0, то:

На рисунке 14 показаны опорные поверхности, воспринимающие осевые силы.

Рисунок 14 - К расчету механических напряжений в обмотке

Напряжение сжатия на опорных поверхностях:


что меньше допустимого значения 18-20 МПа.

Температура обмоток через  после возникновения короткого замыкания:


где - начальная температура принимается 90Co.

6. Расчет магнитной системы трансформатора

Определение размеров магнитной системы и массы стали

Выбираем конструкцию трехфазной плоской шихтованной магнитной системы, собираемой из пластин холоднокатной стали 3404 толщиной 0.35 мм. Из таблицы (8-2) [1] для стержня диаметром 18 см выбираем размеры пакетов. Число ступеней для стержня 6, для ярма 5.

На рисунке 15 показано сечения стержня, а на рисунке 16 ярма.

Полное сечение стержней и ярма из таблицы (8-7) [1] равны:

Активное сечение стержней и ярма:


Длина стержня:


где  - расстояния от обмотки до верхнего и нижнего ярм и равное 3 см из таблицы (4-5) [1].

Рисунок 15 - Сечение стержня

Расстояние между осями соседних стержней:


где  - расстояние между обмотками ВН соседних стержней равно 1см из таблицы (4-5) [1].

Рисунок 16 -Сечения ярма

Масса стали одного угла для многоступенчатой формы поперечного сечения ярма в плоской магнитной системе:


где  - ширина стыкуемых пакетов стержня и ярма;  - толщина пакетов стержня; - плотность трансформаторной стали (для холоднокатанной стали 7650 кг/м3).

Масса частей ярм, заключенных между осями крайних стержней:


Полная масса двух ярм:


Масса стали стержней в пределах окна магнитной системы:


Масса стали в местах стыка пакетов стержня и ярма:


Масса стали стержней при многоступенчатой форме сечения ярма:


Полная масса стали плоской магнитной системы:


7. Расчет потерь холостого хода

Индукция в стержне:


Индукция в ярме:


Индукция в косых стыках:


Удельные потери для стали 3404 находятся по таблице (8-10) [1]:


Площадь сечения на косом стыке:


Для плоской магнитной системы с косыми стыками на крайних стержнях и прямыми стыками на среднем стержне с многоступенчатым ярмом, без отверстий для шпилек, с отжигом пластин после резки стали и удаления заусенцев, изготовленной из холоднокатаной стали потери холостого хода:

.

где  - коэффициент, который для трехфазного трансформатора равен 4;  - коэффициент, который для стали 3404 с толщиной листов 0,35мм равен 8,58 по таблице (8-13) [1];  - коэффициент увеличения потерь, зависящий от формы сечения ярма равен 1;  - коэффициент, учитывающий увеличение потерь, связанных с отпрессовкой стержней и ярм при сборке остова принимается равным 1,02; - коэффициент, учитывающий потери от необходимости расшихтовки верхнего ярма перед насадкой обмоток и расшихтовки его после насадки принимается равным 1,02; - коэффициент, учитывающий потери, связанные с закаткой или срезанием заусенцев после резки пластин, и при отсутствии отжига принимается равен 1,07;  - коэффициент, учитывающий увеличение потерь после резки пластин при отсутствии отжига, равен 1.


Отклонение посчитанного значения потерь холостого хода от заданного значения в задании:

что ниже допустимой погрешности +7.5%.

Удельные намагничивающие мощности для стали 3404 определяются по таблице (8-17) [1]:


Для плоской магнитной системы с косыми стыками на крайних стержнях и прямыми стыками на среднем стержне с многоступенчатым ярмом, без отверстий для шпилек, с отжигом пластин после резки стали и удаления заусенцев, изготовленной из холоднокатаной стали намагничивающая мощность холостого хода


где  - коэффициент, учитывающий форму ярма, при числе ступеней в ярме равном или близком к числу ступеней в стержне принимается 1; - коэффициент, учитывающий расшихтовку и зашихтовку верхнего ярма при сборке, при мощности трансформатора до 25000 кВА принимается 1,02;  - коэффициент, учитывающий влияние прессовки стержней и ярм при сборке остова, для мощностей до 630 кВА принимается 1,04;  - коэффициент, учитывающий срезку заусенцев, принимается равен 1,1; - коэффициент, учитывающий резку пластин, при отсутствии отжига принимается 1,49;  - коэффициент равен 41.7 по таблице (8-20) [1].


Активная составляющая тока холостого хода, вызванная потерями холостого хода:


Реактивная составляющая тока холостого хода:


Полный ток холостого хода:


Отклонение посчитанного значения тока холостого хода от заданного значения в задании:

Согласно ГОСТ 11677-85 предел нижнего отклонения тока холостого хода отсутствует, означает, что значения не ограничено.

8. Определение рабочих характеристик трансформатора

Для характеристики режима нагрузки трансформатора важное значение имеют зависимости К.П.Д. и вторичного напряжения от нагрузки трансформатора при постоянных коэффициента мощности, частоте и первичном напряжении.

Зависимость К.П.Д. от нагрузки может быть получена с помощью формулы:


где - коэффициент нагрузки, - потери х.х. и потери к.з. соответственно при номинальном первичном напряжении и при номинальном токе, полученные расчетом; - коэффициент мощности нагрузки трансформатора;  - номинальная мощность трансформатора по заданию.

Таблица 1 - зависимость КПД от нагрузки.

Kнг

0

0.25

0.5

0.75

1

1.25

0

98.2

98.5

98.3

97.9

97.6


0

98.6

98.8

98.6

98.3

98.1



Рисунок 17 - График КПД от коэффициента нагрузки

Зависимость вторичного напряжения трансформатора от Кнг строится по формуле:


Для построения графика примем =0,8, тогда =0,6, поскольку составляющие напряжения короткого замыкания подставляются в процентах, то =100%.

Таблица 2 - зависимость вторичного напряжения от коэффициента нагрузки

0

0.25

0.5

0.75

1

1.25

100

99.1

98.2

97.3

96.4

95.5



Рисунок 18 - График зависимость вторичного напряжения от коэффициента нагрузки

9. Тепловой расчет трансформатора

Тепловой расчет обмоток

Внутренний перепад температуры для обмотки НН является перепадом в изоляции одного провода и определяется как элементарный перепад для теплового потока постоянной величины:


где  - толщина изоляции провода на одну сторону по равна 0,025см;  - теплопроводность изоляции провода, равна 0,0017 по таблице (9-1) [1];  - плотность теплового потока на поверхности обмотки:



Рисунок 19 - К расчету теплоты выделяющейся в обмотке

Полный перепад температуры в обмотках ВН из круглого провода, не имеющей горизонтальных охлаждающих каналов


где  - радиальный размер катушки; P- потери, выделяющиеся в 1 см3 общего объема обмотки; - средняя теплопроводность обмотки ВН. Для алюминиевого провода P:


Средняя теплопроводимость обмотки ВН , для случая равномерного распределения витков и междуслойной изоляции по всему объему обмотки:


где  - теплопроводность междуслойной изоляции;  - средняя условная теплопроводность обмотки определяется по формуле:


Средний перепад температуры составляет 2/3 полного перепада, откуда:


Для цилиндрически обмоток из прямоугольного или круглого провода перепад на поверхности обмотки масляного трансформатора определяется:


где k = 0,285.

Для обмотки НН:


Для обмотки ВН:


Среднее превышение температуры обмотки над средней температурой масла определяется:


Тепловой расчет бака

По номинальной мощности трансформатора в таблице (9-4) [1], выбираем конструкцию гладкий бак с охлаждающими трубами. На рисунке 20 представлен бак с охлаждающими трубами.

Рисунок 20 - Элементы трубчатого бака

Минимальная длина бака трехфазного трансформатора определяется по формуле:


 - расстояние от обмотки ВН до стенки бака по таблице (4-1)[1], равно 2.5см.

А принимаем равным 110см.

Минимальная ширина бака трансформатора определяется по формуле:


где - размеры, показанные на рисунке 14. s1- изоляционное расстояние от изолированного отвода обмотки ВН до собственной обмотки, равное 2см, расстояние отвода ВН к стенки бака s2=1,2, s4 - изоляционное расстояние от отвода обмотки НН до стенки бака, равное 2,5см, определяются из таблицы (4-11) [1]. s3- изоляционное расстояние от неизолированного отвода обмотки НН до обмотки ВН, равное 1,5см определяется из таблицы (4-12) [1]. d1- диаметр изолированного отвода обмотки ВН, равен 0,55см. d2- размер неизолированного отвода обмотки НН, равен 0,5см.


принимаем B=45см.

Высота активной части может быть определена по формуле:


где n- толщина подкладки под нижнее ярмо принимается равной 5см.

Рисунок 21 - - Изоляционные расстояния отводов

Общая глубина бака определяется по формуле:


где Hя.к- расстояние от верхнего ярма трансформатора до крышки бака принимается равным 86см из таблицы (9-5) [1].

Среднее превышение температуры масла, омывающего обмотки, должно быть не более значения, посчитанного по формуле:


Перепад температуры между маслом и стенкой бака определяется по формуле:


Необходимо проверить условие:


Поверхность излучения бака для овального сечения в предварительном расчете может быть определена:


Ориентировочная необходимая поверхность конвекции для заданного .


Из таблицы (9-7) [1] выберем необходимые данные для охлаждающих труб и сведем их в таблицу 3.

Таблица 3 - данные охлаждающих труб

Форма трубы

Размеры сечения, см

Толщина стенки, см

Поперечное сечение в свету, см2

Поверхность 1м, м2

Масса в 1м, кг

Шаг, см

Радиус изгиба R, см

Число рядов труб при мощности 250-630кВА






Металл

Масло в трубе











Между рядами tp

В ряду tT



Овальная

7,2-2,0

0,15

8,9

0,16

1,82

0,79

10

5,0

18,8

2


Расстояние между осями труб внутреннего ряда:

.

где с, e - минимальные расстояния оси труб от дна и крышки бака, с = 7см, e = 8см по таблице (9-8) [1].

Расстояние между осями труб внутреннего ряда:


Развернутая длинна трубы внутреннего ряда равна:


где  - прямой участок для внутреннего ряда труб, принимается равным 8см, по таблице (9 - 8).[1].

Развернутая длина трубы наружного ряда:


Прямой участок для наружного ряда труб равен:


Необходимая фактическая поверхность конвекции труб определяется:


где  - коэффициент, учитываемый при определении действительной поверхности излучения равен 1,344 из таблицы (9-6) [1].

При поверхности 1 м трубы 0,16м2 общая длинна труб определяется по формуле:


Число труб в ряду для обеспечения этой общей длинны определяется по формуле:


Пересчитаем действительную поверхность теплоотдачи труб:

Шаг труб в ряду определяется по формуле:


Поверхность излучения крышки находится по формуле:


где 16 - удвоенная ширина верхней рамы бака.

Поверхность излучения бака с трубами:


где d - диаметр круглой трубы или большой размер поперечного сечения овальной трубы.

Поверхность конвекции бака:


где и  - коэффициенты, равные 1 и 1,4 соответственно по таблице (9-6) [1].

Среднее превышение температуры стенки бака над окружающим воздухом:


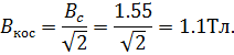
Превышение температуры масла вблизи стенки над стенкой бака может быть приближенно посчитано по формуле:


Превышение температуры масла в верхних слоях над окружающим воздухом:


где  - коэффициент для трубчатых баков может быть принят равным 1,2.

Превышение температуры обмоток над окружающим воздухом:


10. Определение массы трансформатора

Обьём бака трансформатора рассчитывается по формуле:


Обьём активной части трансформатора определяется по формуле:


где - плотность активной части, принимает значение 5000 кг/м3;


поскольку при расчете потерь в обмотках, бралось номинальное значения количества витков, а не максимальное.

Масса масла в элементах системы охлаждения трубах:


Общая масса масла определяется по формуле:


Объем масла в баке и в охладительной системе трансформатора определяется:


Общая масса трансформатора определяется по формуле:


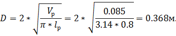
Обьем расширительного бака определяется исходя с общего веса масла:


Соответственно диаметр расширительного бака при его длине lр = 0.8м равен:


Вывод

В данном курсовом проекте был спроектирован и рассчитан трансформатор мощностью 400 кВА. Были определены его основные электрические величины, рассчитаны обмотки высокого и низкого напряжения, 6 и 0,4 кВ соответственно. Также был проведён расчёт магнитной системы трансформатора и характеристик короткого замыкания.

Расчётные данные находятся в промежутке, который удовлетворяет требования ГОСТа и лежит в интервале .

Перечень ссылок

1.   Тихомиров П.М. Расчет трансформаторов, «Энергия», М., 1968, 1976.

2.      Сапожников А.В. Конструирование трансформаторов. М-Л. Госэнергоиздат, 1959.

.        Петров Г.Н. Электрические машины, ч.1, «Энергия», М., 1974.