Материал: Расчет структурной схемы передатчика для радиолюбительской СИ-БИ радиостанции

Внимание! Если размещение файла нарушает Ваши авторские права, то обязательно сообщите нам

Расчет структурной схемы передатчика для радиолюбительской СИ-БИ радиостанции

Введение

Гражданский диапазон.

Диапазон 27 МГц, отведенный в нашей стране для гражданской, т.е. личной и непрофессиональной служебной радиосвязи, сегодня используют десятки тысяч граждан России. Этот своеобразный массовый прорыв в область "свободного эфира" во многом стал возможен благодаря предложениям общественности и выступлениям журнала "Радио", которые во многом повлияли на позицию органов связи в этом вопросе.

Любое массовое явление требует для своего существования и развития определенных организационных форм. Для "сибишников" ею стала созданная в 1993 г. "Ассоциация-27".

К радиостанциям гражданского диапазона относятся приемные и передающие средства, работающие в диапазоне 27 МГц и использующиеся гражданами в личных интересах. На Западе их называют радиостанциями диапазона "CB" (Citizen Band). Они занимают частотные каналы от 26960 до 27410 кГц, которые не закреплены за какими-либо конкретными радиосетями или абонентами, и используются на равных правах всеми владельцами таких станций. Главное правило работы в этом диапазоне - соблюдать такт и не мешать радиосвязи, если канал в данный момент занят другим пользователем.

В нашей стране возможность пользоваться радиостанциями гражданского диапазона появилась только в 1989 г., после того как Государственная комиссия по радиочастотам выделила для этих целей полосу радиочастот 26967...27281 кГц. Были разрешены разработка и серийное производство портативных симплексных радиостанций с амплитудной (тип А) и частотной (тип Б) модуляцией. Предусматривалось, что их продажа должна осуществляться через специализированные магазины и при наличии у покупателей разрешений Госинспекции электросвязи (теперь - Госсвязьнадзора). Круг пользователей такими станциями был достаточно широк. Это - туристы, альпинисты, автолюбители, члены садовых товариществ и т.д. Наша радиопромышленность предложила более двадцати типов новых разработок станций для личной радиосвязи, но все они имели ограниченные возможности - были рассчитаны на работу лишь на одной частоте.

Именно этим, пожалуй, можно объяснить интерес к зарубежным радиостанциям аналогичного назначения, которые ввозились в Россию. Их технические характеристики - полоса частот, номиналы рабочих частот, мощность передатчика и др. - существенно отличались от характеристик, определенных решением ГКРЧ. Поэтому в ноябре 1991 г. комиссия внесла дополнения и изменения в действующее положение. В частности, было разрешено разрабатывать (а также закупать по импорту) радиостанции с сеткой и номиналами частот, принятыми за рубежом. Кроме того, введена дополнительная полоса частот 27280...27410 кГц для радиостанций типа Е (с амплитудной и частотной модуляцией для служебной радиосвязи на предприятиях, в организациях и т.п.). Предполагалось, что последним нововведением удастся исключить взаимные радиопомехи между радиостанциями, используемыми частными лицами, и аппаратурой производственного назначения. Однако эта мера себя не оправдала. Производство отечественных радиостанций типа Е задерживалось, а в страну между тем стали поступать в большом количестве радиостанции зарубежного производства, имеющие 40 частотных каналов в полосе 26960...27410 кГц. Приобретая их, владельцы начали использовать все имеющиеся частотные каналы, в том числе и те, которые отводились для производственной радиосвязи. Практика как бы сама выбрала наиболее оптимальный путь использования гражданского диапазона, в том числе и при работе на международных и национальных частотных каналах. Следует, однако, отметить, что это обстоятельство не вызвало каких-либо организационных сложностей, так как каждый пользователь сам для себя определял, какие радиостанции и с какой сеткой ему следует применять.

Изменили свою техническую политику и наши разработчики аппаратуры. Они задались целью создать унифицированную радиостанцию, имеющую международные и национальные частотные каналы, смещенные на 5 кГц. Например, одна из них - "Скаут" - будет иметь 88 частотных каналов.

Учитывая пожелания производителей аппаратуры гражданской связи и ее пользователей, ГКРЧ своим решением от 29 августа 1994 г. разрешила использование на вторичной основе полос радиочастот 26970...27410 кГц и 27410...27860 кГц. Этим же решением разрешено применение однополосной амплитудной модуляции, а мощность передатчиков увеличена до 10 Вт.

Номиналы частотных каналов и их нумерация приняты международные. В радиостанциях отечественного производства предусмотрено использование частотных каналов 56, 62, 68, 70 и 74, которые в зарубежных радиостанциях отсутствуют. Это, на наш взгляд, может сыграть положительную роль в конкурентной борьбе между отечественными и зарубежными поставщиками радиостанций гражданского диапазона.

И еще об одном важном обстоятельстве хотелось бы сказать. Отдельные граждане и юридические лица имеют теперь равные права при работе на радиостанциях диапазона 27 МГц. Однако как одна, так и другая категория пользователей должны получить соответствующее разрешение Госсвязьнадзора.

Последнее решение ГКРЧ предоставляет новые возможности для широкого использования в нашей стране гражданского диапазона. Это имеет большое социальное значение, так как пользоваться услугами связи радиальных и сотовых сетей стоит пока весьма дорого.

Основными преимуществами данного вида связи являются:

§  открытость диапазона как у нас в стране, так и за рубежом. То есть в отношение него действует регистрационный, а не разрешительный принцип эксплуатации радиостанций пользователем;

§   Си-Би радиостанции по сравнению с другими радиосредствами (транкинговыми станциями, сотовыми телефонами) существенно дешевле в эксплуатации, так как не требуют поминутной или абонентской оплаты.

Вместе с разрешением на использование радиоаппаратуры диапазона 27МГц широкие слои населения получили возможность организовывать дешевые, простые в эксплуатации, независимые, системы связи.

1.      Расширенное техническое задание

Студент: Назарчук А.Ю. Группа: РТ1001

Спроектировать ЧМ передатчик гражданского назначения мощностью 8 Вт СИ - БИ диапазона с частотой 27 МГц.

1.      Перечень нормативных документов.

1.1.   Нормы 17-84. Общесоюзные нормы на допустимые отклонения частоты радиопередатчиков всех категорий и назначений, - М.; Воениздат, 1985. - 24 с.

.2.     Нормы 18-85. Общесоюзные нормы на уровни побочных излучений радиопередающих устройств гражданского назначения, - М.; Воениздат, 1986. - 46 с.

.3.     Нормы 17-84. Общесоюзные нормы на ширину полосы и внеполосные излучения радиочастот радиопередатчиков гражданского назначения, - М.; Воениздат, 1987. - 55 с.

.4.     ГОСТ 12252 - 86. Радиостанция с частотной модуляцией сухопутной подвижной службы. Типы, основные параметры, технические требования и методы измерений.

.5.     ГОСТ 5237 - 83. Аппаратура электросвязи. Напряжение питания и методы измерений. ЦНИИС. 1983. 9стр.

2.      Системные требования.

2.1.   Мощность передатчика………….….....8 Вт

2.2.   Диапазон частот………………………26975 - 27855 кГц

.3.     Шаг сетки частот……………….........100 Гц

.4.     Способ перестройки…………….......дискретный

.5.     Вид модуляции…..……………………….…..ЧМ

3.      Требования электромагнитной совместимости.

3.1.   Максимальная девиация частоты…...………..0,5*10-7

3.2.   Допустимый уровень побочный излучений……- 40 дБ

4.      Показатели качества передачи.

4.1.   Максимальная девиация частоты………………1,8 кГц

4.2.   Полоса модулирующих частот………………..300 - 2700 Гц

.3.     Индекс частотной модуляции на частоте 300 Гц………….6

.4.     Индекс частотной модуляции на частоте 2700 Гц………0,7

.5.     Коэффициент нелинейных искажений………………..≤ 1,5%

.6.     Ширина полосы излучения передатчика на уровне -30 дБ при ЧМ……≤ 9 кГц

5.      Эксплуатационные показатели.

5.1.   Назначение...................обеспечение надежной связи в Москве

5.2.   Место установки…………………………легковой автомобиль

5.3.   Вид нагрузки………антенна типа штырь , КСВ

.4.     Источник питания….………………………...аккумулятор 12 В

.5.     Требования к КПД………………………не регламентируются

6.      Объём работы.

6.1.   Изучение литературы и нормативных документов.

6.2.   Определение и изучение прототипа.

.3.     Составление блок-схемы передатчика.

.4.     Расчет УМ, ПУ, ОГ, ГУН.

.5.     Оформление курсового проекта.

Руководитель: к.т.н. Груздев В.В.

2.   Выбор передатчика - прототипа

На данном этапе проектирования мной была изучена следующая техническая литература: журнал Радиолюбитель и журнал Радиоконструктор. В процессе изучения этой литературы были рассмотрены передатчики следующих радиостанций: РАДИОСТАНЦИЯ "АСТРА-1-FM-CB", и РАДИОСТАНЦИЯ "ПИЛОТ". Передатчики этих станций имеют такое же предназначение, что и проектируемый. В качестве передатчика - прототипа мне более подходит передатчик РАДИОСТАНЦИИ "ПИЛОТ".

Анализ передатчика - прототипа

ОСНОВНЫЕ ТЕХНИЧЕСКИЕ ХАРАКТЕРИСТИКИ.

Диапазон частот...............................................26960 - 27405 кГц

Вид модуляции.......................................................................... ЧМ

Число каналов.............................................................................. 40

Диапазон рабочих температур............................. -20 - +50 град.С

Напряжение питания...................................................................12 В

Так же радиостанция имеет относительно малые габариты и вес.

ПЕРЕДАТЧИК.

Выходная мощность.................................................................4Вт

Максимальная девиация частоты............................................2 кГц

Полоса передаваемых частот.....................................300 - 3000 Гц

Подавление побочных излучений............................ не менее 40 дБ

Выходной импеданс.................................................................50 Ом

Также эта СВ (27 МГц) ЧМ-радиостанция имеет чувствительность приемника 0,15 мкВ и выходную мощность передатчика 1...1.5 Вт (при питании 9 В). Самое существенное отличие от большинства радиостанций аналогичного класса - система шумопонижения с плавной регулировкой.

Регулятор шумоподавителя является одновременно регулятором чувствительности. Уровень шумов, прослушиваемых в громкоговорителе, уменьшается плавно, что дает определенные преимущества:

обеспечивает возможность с помощью регулировки громкости и шумоподавителя установить максимальную чувствительность при приемлемом уровне шумов:

позволяет судить о чувствительности приемника при конкретном уровне шумопонижения

Питается "ПИЛОТ" напряжением 6,3...12 В, при этом выходная мощность может достигать от 2 до 4 Вт, потребляя не больше 10 мА в режиме дежурного приема. При передаче потребление тока -около 300 мА (при мощности 1 Вт).

Из принципиальной схемы можно отметить, что передатчик имеет два каскада усиления. Фильтр гармоник выходного напряжения выполнен по П-образной схеме.

"ПИЛОТ", конечно, имеет и недостатки. Это, прежде всего, относительно низкая избирательность приемника по соседнему (40 дБ) и побочным (30 дБ) каналам, которая определяется параметрами фильтра промежуточной частоты (465 кГц).

Выводы из анализа передатчика-прототипа:

Анализируемый передатчик не так стар, он разработан в 90-х годах, поэтому он удовлетворяет всем нормам, чему свидетельствуют следующие документы: В России внедрению этого вида радиосвязи положило Решение государственной комиссии по радиочастотам СССР (ГКРЧ СССР) "О выделение радиочастот для разработки и серийного производства радиоаппаратуры личного пользования, реализуемой через торговую сеть", принятое в 1988 году. Его логическим продолжением стало решение ГКРЧ России "О выделении дополнительных полос радиочастот в диапазоне 27 МГц для радиостанций личного пользования", принятое 29 августа 1994 года.

Но данный передатчик обладает малой выходной мощностью, что существенно сказывается на дальности связи, поэтому основной задаче будет добиться требуемой выходной мощности путем применения большего числа каскадов усиления или применения более мощных усилителей.

Также можно усовершенствовать данный передатчик более новой элементной базой как активных (транзисторов ), так и пассивных (R,L,C) элементов, что существенно повлияет на показатели качества работы передатчика, потому что мы будем бороться с размерами деталей, потерями в резисторах, паразитными индуктивными выводами в конденсаторах, межвитковыми емкостями индуктивностей и т.п.

Еще одной задачей будет применения более лучшей фильтрующей системы для борьбы со 2-ой и 3-ей составляющей спектра.

Также для улучшения стабильности работы данного передатчика можно применить стабилизацию частоты задающего генератора при помощи кварцевого резонатора.

Таким образом основной задачей реализации проектируемого передатчика будет улучшение показателей передатчика - прототипа.

транзистор радиодеталь каскад фильтрация

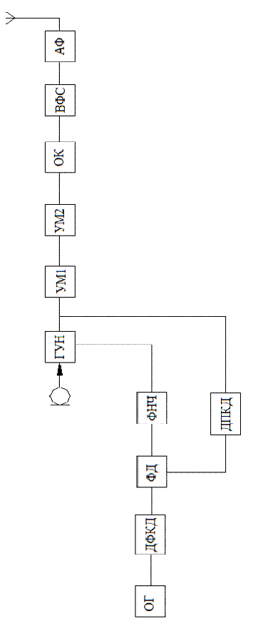
3.      Структурная схема проектируемого передатчика

Отметим основные особенности данных структурных схем:

Схема имеет синтезатор частот на основе ФАПЧ, что обусловлено тем, что синтезаторы такого типа имеют в своем составе АГ с кварцем, что обуславливает высокую стабильность частоты, также благодаря ФАПЧу наш синтезатор обладает рядом преимуществ - малые габариты, потребляет малую мощность, формирует сетку частот с любым нужным шагом, также этот синтез обеспечивает низкий уровень побочных составляющих.

Можно увидеть, что ЧМ получается за счет использования АГ с варикапом, т. е. возможно получение большого значения . Использование варикапов для осуществления ЧМ определяется такими их свойствами, как высокая механическая и электрическая надежность работы, малые габаритные размеры, большая добротность емкости, возможность получения широкополосной ЧМ с уровнем нелинейных искажений, не превышающим долей или единиц процентов.

4. Выбор метода синтеза частот

Одним из основных элементов современного возбудителя является синтезатор частот, который вырабатывает одно или несколько когерентных или некогерентных колебаний с заданной частотой. Основным отличием некогерентного и когерентного синтеза является число используемых в процессе частотообразования источников опорных частот. В первом случае используется множество генераторов с кварцевой стабилизацией частоты, а во втором один источник опорной частоты. Таким образом при некогерентном синтезе число каналов радиостанции определяется количеством пар кварцев, установленных в задающем генераторе передатчика. Тем самым, чтобы обеспечить 40-ка канальную радиостанцию необходимо будет установить большое количество кварцев, при этом коммутация кварцев будет осуществляться механическим ключом. Можно видеть, что при этом методе синтеза, произойдет достаточное усложнение схемы, увеличение её объема и габаритов. Так же можно отметить, что разработка одного генератора с кварцевой стабилизацией частоты намного проще и дешевле чем разработка нескольких таких генераторов.

Теперь остановимся поподробнее на когерентном синтезе, при этом синтезаторы частот строятся на основе метода прямого, либо косвенного синтеза.

В синтезаторах, построенных на основе метода прямого синтеза, выходные колебания получаются с помощью операций сложения, вычитания, умножения и деления эталонной опорной частоты, т.е. в прямом методы синтеза частот выходного сигнала формируется из частоты ОГ (или из частот нескольких ОГ) путем ее преобразования и последующей фильтрации. Прямым методам синтеза частот свойственен ряд достоинств и недостатков: методы прямого синтеза частот предпочтительны в тех случаях, когда на выходе синтезатора частот требуется одновременно несколько когерентных сигналов с разными частотами. В прямых синтезаторах частот можно обеспечить сколь угодно малый шаг частоты выходного сигнала (до тысячных долей герца). Структурные схемы прямого синтеза частот функционально просты. В синтезе частот прямого типа трудно получить выходной сигнал с высокой чистотой спектра, при умножении и делении частоты возникают комбинированные побочные составляющие, в этом случае приходится использовать большое число фильтров. В результате либо увеличиваются габариты, масса, либо ухудшаются показатели чистоты спектра выходного сигнала. Недостатками прямых синтезаторов является высокий уровень побочных спектральных составляющих.