Материал: Расчет и проектирование элементов измерительных устройств

Внимание! Если размещение файла нарушает Ваши авторские права, то обязательно сообщите нам

Н = В/µ

При расчете ЭМ с магнитной цепью из магнитно-мягких материалов порядок величины Н - сотни А/м, а В-от сотых долей до 1,5…2 Т.

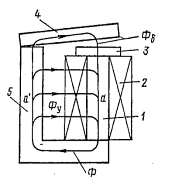
На рис. 10 изображен простейший ЭМ, состоящий из двух основных элементов: одной или нескольких обмоток и магнитной цепи. Обмотка служит для создания необходимого магнитного потока, а магнитная цепь - для его проведения. Магнитная цепь - это совокупность всех элементов, через которые замыкается магнитный поток. Она содержит воздушные зазоры и магнитопровод, т.е. часть магнитной цепи, выполненную из ферромагнитных материалов. В свою очередь магнитопровод состоит из сердечника / (одного или нескольких), на который насаживается обмотка 2 подвижного элемента - якоря 4 и ярма 5 - участка магнитопровода, соединяющего якорь и сердечник или сердечники между собой. Заметим также, что отдельные части магнитопровода /(исключая сердечник и якорь) в различных типах ЭМ в зависимости от особенностей их конструктивного выполнения могут называться по-разному: основанием, скобой, стойкой, фланцем и т.п. При рассмотрении электромагнитных муфт неподвижные и подвижные части их магнитопровода называют соответственно неподвижными и подвижными полумуфтами.

Рис. 10 - Электромагнит

Воздушный зазор, за счет запасенной магнитной энергии которого совершается работа ЭМ, называется основным или рабочим и обозначается 6. Остальные воздушные зазоры, образованные в местах сочленения отдельных элементов магнитопровода, называются нерабочими или паразитными. Так, паразитными являются зазоры между сердечником и ярмом, между якорем и ярмом, зазоры, обусловленные толщиной гальванических покрытий в местах сопряжения деталей магнитопровода, и т.д. Поверхности, обращенные к рабочему зазору, называются полюсами.

Иногда к концу сердечника, обращенному к рабочему воздушному зазору, присоединяется полюсный наконечник 3, который благодаря большему, чем у сердечника, сечению, облегчает проведение магнитного потока через зазор.


Рис. 11 - Магнитный поток

Часть полного магнитного потока Ф, создаваемого обмоткой, которая проходит через рабочий воздушный зазор 8, называется рабочим магнитным потоком Фа- В основном именно этот поток обусловливает механические силы, под действием которых совершается перемещение якоря. Часть потока Ф, которая не замыкается через рабочий воздушный зазор, называется потоком рассеяния или утечки Фу (рис. 11). В рабочем магнитном потоке Ф& различают две части: торцовый поток Фт и поток выпучивания, или краевой поток, Фк(рис. 11).

Величина рабочего потока Ф6 зависит от конфигурации магнитной цепи, взаимного расположения ее элементов, степени ее насыщения, а также величины воздушных зазоров. Чем больше воздушные зазоры и чем выше насыщение магнитной цепи, тем меньше Ф6 и соответственно больше потоки рассеяния Ф5. Разумеется, при движении якоря ЭММ, т.е. при изменении 5, потоки Фб и Фу соответствующим образом также изменяются.

1. Расчет механического элемента

Исходные данные:

минимальная сила сжатия Fmin = 16 Н;

максимальная сила сжатия Fmax = 28Н;

минимальных ход свободного конца λmin = 3,1 мм;

максимальный ход свободного кон6ца λmax = 8,8 мм;

материал пружины - стальная пружинная проволока;

модуль сдвига материала G = 8,1.104 МПа;

величина допустимого касательного напряжения материала [τ] = 500 МПа.

1.1 Расчет требуемой жесткости упругого элемента

Требуемая жесткость упругого элемента рассчитывается по формуле (1.1):


1.2 Расчет среднего диаметра пружины и числа рабочих витков

Назначаются индексы пружин. Так как специальные требования отсутствуют, то выбираем индексы средних назначений:

Расчет коэффициента увеличения напряжения у внутренней стороны витка  производится по формуле (1.2):


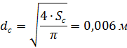
Расчетное значение диаметра проволоки определяется по формуле (1.3):

 

В соответствии с ГОСТ 9380 выбираются стандартные диаметры пружинной проволоки:

Средний диаметр рассчитывается по формуле (1.4):


Расчет числа рабочих витков производится по формуле (1.5):



1.3 Расчет наружного диаметра пружины

Расчет наружного диаметра пружины производится по формуле (1.6):


1.4 Расчет пружины в свободном состоянии

Высота пружины в свободном состоянии рассчитывается по формуле (1.7):


где  - число конечных витков. Так как повышенные требования к точности пружин отсутствуют, то принимается

ξ - коэффициент, определяющий зазор между витками в момент наибольшего сжатия пружины, принимается ξ = 1,3.


1.5 Построение габаритных характеристик

Габаритные характеристики равнопрочных пружин одинаковой жесткости приведены на рисунке 1.1, по оси абсцисс отложены наружные диаметры, а по оси ординат в том же масштабе - длины пружин.

Рисунок 1.1. Габаритные характеристики

1.6 Предварительный выбор варианта

Производится расчет соотношения высоты пружин в свободном состоянии и наружного диаметра по формуле (1.8):


Так как для всех вариантов отношение высоты пружины к ее наружному диаметру не превышает 10, а количество рабочих витков не превышает 30, то все выбранные варианты являются приемлемыми.

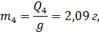
1.7 Определение веса и массы пружин

Вес пружин определяется по приближенной формуле (1.9):

 

где  кг/м3 - плотность стальной пружинной проволоки.



Масса пружин вычисляется по формуле (1.10):

 

где g = 9,81 - ускорение свободного падения.


1.8 Проверка пружин на жесткость и максимальное касательное напряжение

Формула (1.11) - уравнение жесткости.


Максимальное касательное напряжение рассчитывается по формуле (1.12):


Так как касательные напряжения всех вариантов меньше допустимого значения, то эти варианты пригодны.

1.9 Проверка пружин на устойчивость и выбор способа закрепления

Для выполнения расчета на устойчивость необходимо рассчитать соотношение высоты пружин в свободном состоянии и среднего диаметра по формуле (1.13):


Потеря устойчивости пружины, выражающаяся в изгибе оси пружины, наступает при критическом значении перемещения λкр. Критическое перемещение пружины из круглой проволоки определяется по формуле (1.14) или по графику на рисунке 1.2.

 

Рисунок 1.2 - критическое перемещение пружины

При ν=2 предельное отношение λкр0 = 1,31. Так как отношение Н0/D для вариантов 1, 2, 3, 4 превышает 1,31, то данные пружины потеряют устойчивость при λ = λкр.


Значение λкр для вариантов 1 и 2 не превышает λmax, данное крепление для этого варианта не подходит. Для вариантов 3 и 4 данное крепление подходит.

При ν=1 предельное отношение λкр0 = 2,62. Так как отношение Н0/D для вариантов 4, 5 не превышает 2,62, то данные пружины будут устойчивы при любых λ.


Значение λкр для вариантов 1 и 2 не превышает λmax, данное крепление для этого варианта не подходит. Для варианта 3 данное крепление подходит.

При ν=0,7 предельное отношение λкр0 = 3,74. Так как отношение Н0/D для вариантов 3, 4, 5 не превышает 3,74, то данные пружины будут устойчивы при любых λ.


Значение λкр для варианта 1 не превышает λmax, данное крепление для этого варианта не подходит. Для варианта 2 крепление подходит.

При ν=0,5 предельное отношение λкр0 = 5,24. Так как отношение Н0/D для вариантов 2, 3, 4, 5 не превышает 5,24, то данные пружины будут устойчивы при любых λ.


Значение λкр для варианта 1 не превышает λmax, данное крепление для этого варианта не подходит.

Таблица 1.1 - результаты проверки пружин на устойчивость

Тип крепления

Вариант


1

2

3

4

5

ν=2

-

-

-

-

+

ν=1

-

-

-

+

+

ν=0,7

-

-

+

+

+

ν=0,5

-

+

+

+

+


1.10 Расчет нелинейности статической характеристики (добротность пружины)

По формуле (1.15) рассчитывается относительное перемещение конца пружины:

123


По формуле (1.16) рассчитывается шаг навивки витков нагруженной пружины:


Угол подъема винтовой линии определяется по формуле (1.17):


В соответствии с графиками, представленными на рисунке 1.3, определяем, что нелинейность статической характеристики не превышает 1%.

Рисунок 1.3 - определение нелинейности статической характеристики.

1.11 Итоговая таблица расчетов

Параметр


Номер варианта



1

2

3

4

5

С

6

8

10

12

14

1,238

1,172

1,135

1,111

1,094

d, мм

1,059

1,337

1,619

2,185

1,1

1,3

1,6

1,9

2,2

D, мм

6,6

10,4

16

22,8

30,8

7,7

11,7

17,6

24,7

33

41

22

14

10

7

70,73

49,88

42,72

39,2

35,42

9,2

4,3

2,4

1,6

1,1

Q, Н

13,38

28,66

m, гр

0,56

0,86

1,36

2,09

2,92

k

1,25

1,16

1,15

1,11

1,15

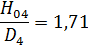
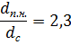
, МПа437395316263225






10,71

4,79

2,67

1,74

1,15

0,01

0,012

0,0121

0,0123

0,0129

t, мм

1,6

2,09

2,7

3,35

4,11

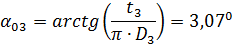
4,41

3,66

3,07

2,67

2,43



2. Расчет электромеханического элемента

Исходные данные:

схема включения - рисунок 2.1

сопротивление обмотки датчика R0 = 1,35 КОм;

минимальное сопротивление нагрузки Rн = 10 КОм;

напряжение питания U0 = 12 В;

длина намоточной части потенциометра l0 =39 мм;

температура окружающей среды -50…+600 С;

необходимо, чтобы сила поджатия щетки была минимальна.

Рисунок 2.1 - схема включения потенциометра

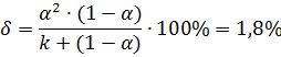
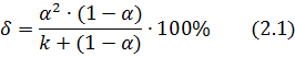
2.1 Определение погрешности, обусловленной нагрузкой

Требуемая жесткость упругого элемента рассчитывается по формуле (2.1):

где


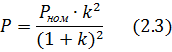
2.2 Определение номинальной и действительной мощностей

Номинальная мощность определяется по формуле (2.2):


Действительная мощность определяется по формуле (2.3):


2.3 Выбор материала

Исходя из условий эксплуатации и требований к потенциометру, в качестве материала проволоки выбираем сплав ПДС-40, в качестве материала каркаса - сплав АМГ. При этом допустимая плотность тока - j = 50 А/мм2.

2.4 Определение диаметра проволоки

Диаметр проволоки определяется по формуле (2.4):


Принимаем dст = 0,02 мм. При этом диаметр стандартной проволоки с изоляцией dизол = 0,045 мм.

2.5 Определение числа витков и шага намотки

Шаг намотки определяется по формуле (2.5):


Число витков определяется из выражения (2.6):


2.6 Определение витковой погрешности

Витковая погрешность определяется по формуле (2.7):



2.7 Определение длины обмоточного провода

Длина обмоточного провода рассчитывается по формуле (2.8):


где  - удельное электрическое сопротивление сплава ПДС-40 при температуре 200С.


2.8 Определение средней длины одного витка

Средняя длина витка lср рассчитывается по формуле (2.9):


2.9 Расчет параметров каркаса

Габаритный эскиз каркаса представлен на рисунке 2.2.

Рисунок 2.2 - габаритный эскиз потенциометра

Ширина потенциометра определяется из неравенства (2.10):


Высота потенциометра определяется из выражения (2.11):


Принимаем H = 1,3 мм.


3. Расчет электромагнитного элемента

Исходные данные:

механизм используется в обычном реле управления постоянного тока с продолжительным режимом работы;

минимальное напряжение питания U = 27В;

максимальная температура окружающей среды tc = +350С;

допустимое превышение температуры катушки tдоп = +500С;

тип механизма - клапанный (однокатушечный с одним сердечником и внешним притягивающимся якорем);

сердечник имеет полюсный наконечник и круглое сечение;

катушка каркасная;

характеристика противодействующей силы упругого элемента задана в виде графика Fм = f(δ) (δ - воздушный зазор между полюсным наконечником и якорем):

Рисунок 3.1 - характеристика противодействующей силы

 

3.1 Расчет значения тяговой силы и воздушного зазора

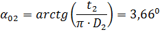
Определение значения воздушного зазора производится по формуле (3.1):


Определение критического значения тяговой силы производится по формуле (3.2):


Определение значения тяговой силы производится по формуле (3.3):


где коэффициент запаса по силе  - для обычных реле управления.


3.2 Выбор оптимальной конструктивной формы

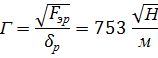
Расчет оптимальной конструктивной формы производится по формуле (3.4):


Рассчитанная величина Г входит в необходимый диапазон (630…63000) для однокатушечного ЭМ с одним сердечником и внешним притягиваемым якорем, следовательно данный тип ЭМ является оптимальным с точки зрения минимума массы.

3.3 Выбор магнитного материала магнитопровода

Для заданных условий наиболее подходящим материалом является электротехническая сталь Э.

3.4 Выбор магнитных характеристик ЭМ

Требуемые магнитные характеристики: Вδ, Вc max, σ.

Для заданного типа электромагнитного механизма (кривая 1 для механизмов с внешним притягивающим якорем) и полученной величины конструктивного фактора Г по графику зависимости Вδ =f (Г) - рисунок 3.2, определяем индукцию в рабочем зазоре. Индукция в зазоре при отпущенном якоре:

Рисунок 3.2 - график зависимости Вδ =f (Г)

 

Вδ =f (Г) Вδ = 0,2 Тл.

Величину максимальной индукции в сердечнике при притянутом якоре Вmax для магнитопровода из стали марки Э (кривая 1) определяем по графику зависимости Вmax=f (Н) - рисунок 3.3:

Рисунок 3.3 - кривые намагничивания для наиболее распространенных магнито-мягких материалов.

Примем Вс max =f (Н) Вс max = 1,5 Тл.

Предварительную величину коэффициента рассеивания σ рекомендовано брать в диапазоне (1,5…2,5). Примем σ = 1,5.

3.5 Определение основных размеров и параметров ЭМ

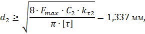
Определение площади полюсного наконечника производится по формуле (3.5):


Определение площади сечения сердечника производится по формуле (3.6):


3.6 Определение диаметра сечения сердечника и диаметра полюсного наконечника производится по формуле (3.7)


В существующих конструкциях ЭМ диаметр полюсного наконечника превышает диаметр сечения сердечника в 1,1…2 раза:


Отношение диаметров удовлетворяет рекомендации.

Определение основных размеров ярма.


Пусть сечение ярма квадратное, тогда толщина ярма будет равна:

Принимаем  = 7 мм.

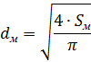
Определение площади сечения якоря производится по формуле (3.8):


Определение требуемой МДС производится по формуле (3.9):


Определение площади сечения обмотки производится по формуле (3.10):


где

Определяем длину и высоту обмотки.

Для заданного ЭММ  Так как  Из этого выражения выводится формула для расчета  (3.12):


Рассчитаем  по формуле (3.11):


3.7 Определение высоты полюсного наконечника

Определение высоты полюсного наконечника производится по формуле (3.13):



3.8 Выбор и определение параметров обмотки провода

Выбор материала проволоки.

Материалом проволоки выбираем медь, так как у этого материала относительно высокая проводимость, также присутствует такой фактор, как дешевизна. Удельное сопротивление меди

Температурный коэффициент сопротивления

Определение удельного сопротивления провода производится по формуле (3.14):

 (3.14)

Определение среднего радиуса витка производится по формуле (3.15):

 (3.15)

где

м

Определение средней длины одного витка производится по формуле (3.16):

 (3.16)

Определение площади поперечного сечения металла обмоточного провода производится по формуле (3.17):


Определение диаметра поперечного сечения металла обмоточного провода производится по формуле (3.18):


В соответствии с ГОСТ 2773-69 определяем тип провода и номинальный размер.

Так как максимальная температура провода 850С, то выбираем провод марки ПЭЛ, класс нагревостойкости которого равен 1050С.

Номинальный диаметр по меди, мм (0.10…0.19), толщина изоляции 0.02 мм.

 принимаем равным 0.1 мм.

Пересчитывание для диаметра выпускаемого промышленностью площади обмоточного провода производится по формуле (3.19):

 (3.19)


Определение числа витков производится по формуле (3.20):


где коэффициент обмоточного пространства .

Рисунок 3.4 - Коэффициент заполнения обмоточного пространства.

Определение электрического сопротивления обмотки при рабочей температуре производится по формуле (3.21):

(3.21)

Определение максимального потребляемого тока производится по формуле (3.22):

 (3.22)

Определение создаваемого обмоткой МДС производится по формуле (3.23):

 (3.23)

Так как создаваемая обмоткой МДС больше требуемой МДС, то обмотка обеспечивает необходимую магнитную силу.

Определение максимальной потребляемой обмоткой мощности производится по формуле (3.24):

 (3.24)

Определение превышения температуры рассчитанной обмотки производится по формуле (3.25):


где коэффициент теплоотдачи катушки

Т.к. τ ≤ t00n, то катушка не будет перегреваться

3.9 Расчет оставшихся размеров, необходимых для эскиза

Пусть якорь имеет прямоугольное сечение, тогда

 (3.26)

Определение длинны якоря производится по формуле (3.27):

 (3.27)

Определение высоты якоря производится по формуле (3.26):



Заключение

В курсовом проекте произведен расчет и проектирование трех элементов: механического элемента (винтовая пружина растяжения-сжатия), электромеханического элемента (потенциометрический датчик линейных перемещений) и электромагнитного элемента (силовая часть электромагнитного реле).

В ходе выполнения курсового проекта мной были усвоены основные методики расчета трех вышеперечисленных элементов.

Библиографический список

1.   Анурьев В.И. Справочник конструктора-машиностроителя. В 3 т. - М.; Машиностроение, 2001.

2.      Лебеденко И.С., Тархов Н.С., Методические указания по вопросам нормоконтроля. - Тула: ТулГУ, 2001. - 43 с.

.        Нуберг Г.П. Измерительные преобразователи неэлектрических величин / Г.П. Нуберг. - Л.: Энергия, 1970. - 360 с.

.        Тищенко О.Ф. Элементы приборных устройств: курсовое проектирование; учебное пособие для вузов. В 2-х ч. Ч. 1. Расчеты / О.Ф. Тищенко [и др.]; под ред. О.Ф. Тищенко. - М.: Высшая школа, 1978. - 328 с.

.        Тищенко О.Ф. Элементы приборных устройств: курсовое проектирование; учебное пособие для вузов. В 2-х ч. Ч. 2. Расчеты / О.Ф. Тищенко [и др.]; под ред. О.Ф. Тищенко. - М.: Высшая школа, 1978. - 328 с.

.        Федотов А.В. Расчет и проектирование индукционных измерительных устройств / А.В. Федотов. - М.: Машиностроение, 1979. - 176 с.