Курсовой проект
Расчет и проектирование элементов измерительных устройств
Введение
пружина электромеханический жесткость
Упругие элементы (пружины)
Пружины приборов разделяют на
плоские, материал которых испытывает деформации изгиба при работе; винновые
пружины растяжения - сжатия, проволока которых при деформации скручивается;
винтовые пружины кручения, по форме аналогичные винтовым пружинным растяжения -
сжатия, но, так же как и у плоских пружин, их проволока изгибается. Кроме этих
так называемых стержневых упругих элементов в приборах применяются упругие
оболочки в форме мембран, сильфонов и трубчатых пружин. На рис. 1 показаны
примеры стержневых пружин различных типов.
Рис. 1 Примеры стержневых пружин различных
типов
Измерительные пружины, которые используются в качестве упругих измерительных преобразователей усилий и моментов в линейные и угловые перемещения. На рис. 2, а показана спиральная измерительная пружина магнитоэлектрического прибора.
Натяжные пружины - наиболее распространенная группа пружин; натяжные пружины различных типов и конструкций показаны на рис. 2, б.
Кинематические пружинные устройства, к которым относят как непосредственно пружинные передаточные механизмы (рис. 2, в), так и упругие опоры (рис. 2, г), упругие направляющие (рис. 2, д) и гибкие связи (рис. 2, е). Достоинством этих элементов приборов является практически полное отсутствие трения при перемещениях механизмов, однако они могут использоваться лишь при ограниченных перемещениях.
Амортизаторы, предохраняющие приборы и их элементы от перегрузок при ударах и вибрациях. Пружины амортизаторов чаще всего выполняются в виде винтовых пружин растяжения - сжатия или кручения и нередко работают совместно с другими упругими элементами, например резиновыми.
Примеры пружин-амортизаторов показаны на рис. 2, ж
Пружинные двигатели, использующиеся преимущественно в малогабаритных переносных, автономных приборах. Чаще всего их выполняют в виде плоских спиральных пружин; в отдельных случаях используют винтовые пружины кручения и винтовые пружины растяжения - сжатия.
Примеры пружинных двигателей даны на рис. 2, з.
Пружинные фрикционные и храповые муфты и тормоза (рис. 2, и). Для большинства конструкций таких пружин подбирается материал, обладающий не только высокой упругостью, но и сопротивляемостью истиранию.
Электроконтактные пружины по своему функциональному назначению близки к натяжным пружинам, но иногда выделяются в отдельную группу в связи с дополнительными требованиями к электропроводности материала, стойкости к коррозии и в ряде случаев к истиранию. Примеры электроконтактных пружин даны на рис. 2, к.
Материал упругих элементов должен обладать высокими упругими и прочностными свойствами в работе, быть достаточно пластичным при изготовлении, чтобы технологический процесс изготовления пружины не был слишком сложным и дорогим. Для пружин измерительных преобразователей особое значение имеет стабильность упругих свойств материала во времени (отсутствие ползучести, последствия, гистерезиса, релаксации напряжений).
Существенные ограничения на выбор
материала налагают агрессивные свойства рабочей среды; пружины, работающие в
условиях агрессивных сред, изготовляют из коррозионностойких материалов.
Рис. 2 Виды пружин
Для материалов пружин электроизмерительных приборов определяющими могут быть такие их свойства, как электропроводность или магнитная проницаемость. В тех случаях, когда процесс изготовления упругого элемента включает операции сварки или пайки, материал должен обладать соответственно хорошей свариваемостью и легко паяться.
В зависимости от технологической операции, придающей материалу упругие свойства, материалы упругих элементов разделяют на две группы. К первой группе относятся материалы, которые, обладая высокой пластичностью в отожженном состоянии, значительно повышают свои упругие свойства в результате нагартовки, возникающей при изготовлении упругого элемента. К таким материалам относятся латуни Л80, Л90, нейзильбер МНЦ15-20, кремниево-марганцевая, оловянно-цинковая, оловянно-фосфорная бронзы, элинвар, хромо-никелевая нержавеющая сталь 1Х18Н9Т и др. Необходимо отметить, что пружины из этих материалов обладают относительно низкими упругими свойствами и нестабильны во времени. Это объясняется наличием значительных остаточных напряжений, возникающих в материале при изготовлении упругого элемента. Рабочие температуры элементов из нагартовываемых цветных сплавов невысоки (до 100… …200о С). Несмотря на эти недостатки, материалы первой группы получили достаточно широкое применение, особенно для изготовления неответственных пружин. Так, для изготовления винтовых и плоских пружин применяется углеродистая стальная пружинная проволока, подвергаемая специально термообработке (патентированию) и последующему сильному наклепу. В результате этого материал приобретает высокую прочность и в то же время сохраняет пластичность, достаточную для дальнейшей механической обработки. Пружины, изготовленные из такой проволоки, как правило, не подвергаются дополнительной термообработке, кроме проводимого иногда небольшого нагрева для снятия остаточных напряжений.
Ко второй группе принадлежат материалы, повышающие свои упругие свойства в процессе термической обработки. Это углеродистые стали У8Ф…У12А и легированные стали 65Г, 60С2А, 70С2ХА, Х05, 50ХФА, 4Х13 и др., получающие высокие упругие и прочностные свойства после закалки изготовленных из них пружин.
Наилучшим сочетанием технологических и эксплуатационных свойство по отношению к упругим элементам обладают дисперсионно-твердеющие сплавы, например бериллиевая бронза, никель - титановая бронза, марганцевый мельхиор и др. Высокая пластичность этих сплавов в закаленном состоянии позволяет изготовлять из них упругие элементы практически любой сложной формы. В процессе отпуска, который иногда называют старением или облагораживанием, отформованный упруги элемент получает высокую упругость и прочность. Рабочие температуры элементов из этих материалов могут достигать 300…350о С. Дисперисонно-твердеющие сплавы используются для изготовления чувствительных элементов измерительных приборов.
Разнообразие требований к свойствам упругого элемента не позволяет ограничиться рекомендацией небольшого числа материалов, которые были одинаково пригодны для различных пружин и измерительных упругих элементов. Число материалов, специально разработанных для изготовления плоских и винтовых пружин, удовлетворяющих тем или иным эксплуатационным условиям, весьма велико.
Выбор материала пружины
предопределяет расчетные значений модулей упругости при растяжении Е и сдвиге О
и прочностные характеристики ![]()
В тех случаях, когда в
таблицах свойств материалов даются только величины ![]()
величину ![]()
, необходимую для
расчетов винтовых пружин растяжения - сжатия, подсчитывают по формуле ![]()
.
Определение допускаемого
нормального [σ] или костельного [τ] напряжения может
быть сделано только после выбора величины коэффициента запаса ![]()
. Значение коэффициента
запаса выбирают в зависимости от назначения пружины в механизме, условий
эксплуатации и свойств материала пружины в пределах 1,2…2,5 (для более
пластичных материалов ![]()
=5…10. В этом случае
коэффициент запаса выбирается уже низ соображений прочности, а из необходимости
получить малый гистерезис характеристики пружины.
Пружины, работающие под статической нагрузкой или при кратковременных усилиях, изменяющихся в небольшом диапазоне, рассчитывают по коэффициенту запаса текучести. Пружины, работающие при значительно и часто изменяющейся нагрузке, например пружины амортизаторов, следует рассчитывать с учетом коэффициента запаса по выносливости; если в справочной литературе величины предела выносливости нет, то в этом случае для определения допускаемого напряжения используют значение предела текучести, несколько увеличивая принимаемых коэффициент запаса.
Потенциометры
Потенциометрический преобразователь (потенциометр) предназначен для получения электрического сигнала, функционально зависящего от перемещения токосъемного элемента (движка с контактами). Потенциометр представляет собой регулируемый делитель напряжения, выполненный на основе резистивного элемента. При соответствующем включении он может быть использован и как переменное сопротивление.
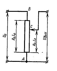
Электрическая схема потенциометра показана на рис. 3. Входное напряжение U0 подводится к точкам А и В потенциометра, а выходное Uвых снимается с точек А и С (скользящий контакт).
Рис. 3 - Электрическая
схема потенциометра
Текущее сопротивление Rx
потенциометра связано с перемещением движка Ix зависимостью
![]()
Где R0 и l0
- соответственно общее сопротивление и полная рабочая длина потенциометра.
Тогда
![]()
В том случае, когда Rx=f(lx), то Uвых=f(lx). Такие потенциометры получили название функциональных. Функциональные потенциометры могут быть получены различными путями. Наиболее распространенным является использование резистора с переменным приращением сопротивления на единицу перемещения движка потенциометра (обмотка с переменным шагом, переменная длина витка обмотки, применение для обмотки провода с различным поперечным сечением, с токоподводящей пленкой переменного поперечного сечения и т. П.). Другой путь заключается в использовании линейного резистивного элемента с шунтированием отдельных его участков. И, наконец, можно использовать линейный резистивный элемент, но перемещение движка потенциометра функционально связать с аргументом (перемещением или углом поворота). Это достигается применением кулачковых, механизмов или ходового винта с неравномерным шагом.
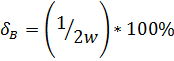
Важной характеристикой
потенциометра является разрешающая способность. В проволочных потенциометрах
равномерное перемещение движка приводит к дискретному изменению Uвых
(рис. 4). Это объясняется тем, что движок потенциометра перемещается не по
длине провода, а переходит с одного витка на другой. Величина скачков
напряжения ![]()
, характеризующая
разрешающую способность, обратно пропорциональна числу витков обмотки w:
![]()
Разрешающая способность
связана с витковой погрешностью ![]()
проволочного
потенциометра, определяемой как наибольшее отклонение, вызванное дискретностью
изменения Uвых от теоретической характеристики. Величина этого
отклонения равна половине ![]()
(рис. 4). Витковая
погрешность в процентах напряжения U0;

(2)
Выражение (2) получено в
предположении того, что движок одновременно касается только одного витка. На
самом же деле при переходе с одного витка на другой происходит закорачивание
двух соседних витков.
Рис. 4 - К пояснению
принципа действия потенциометра
Это приводит к
появлениию промежуточного скачка напряжения, величина которого зависит от
положения движка на потенциометре. В серединие обмотки величина промежуточного
скачка оказывается равной половине ![]()
а это, в свою очередь,
формально приводит к двукратному уменьшению ![]()
. Таким образом, ![]()
по формуле (2)
представляет собой максимальное значение витковой погрешности потенциометра, и
она лишь условно принимается за постоянную для линейных потенциометров.
Общее сопротивление
потенциометра R0 зависит от геометрических размеров потенциометра и
параметров обмотки или покрытия (удельного электрического сопротивления ρ,
размеров поперечного сечения каркас и т.п.) Величина R0
ограничивается снизу допустимым нагревом потенциометра (а у проволочных
потенциометров также и точностью), а сверху - технологической возможностью
изготовления проводника с малыми размерами поперечного сечения, небольшим
сроком службы (тонкий проводник быстрее изнашивается) и низким удельным
сопротивлением проводника.
Рис. 5 - К расчету
погрешностей потенциометра
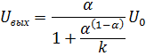
На характеристику потенциометра оказывает влияние величина сопротивления нагрузки Rн. Для линейного потенциометра выражение (1) справедливо только в случае бесконечно большого сопротивления нагрузки.
При Rн![]()
(рис.
5)
Где k=Rн/R0
и α=R2/R0.
Погрешность ![]()
, обусловленная
нагрузкой, равная разности действительного передаточного коэффициента
потенциометра и передаточного коэффициента при Rн=![]()
(он численно равен α):
![]()
(3)
На рис. 4 показаны
зависимости ![]()
=f(α) при
различных значениях k.
При рассмотрении рис.
2.4 видно, что ![]()
тем больше, чем меньше
k.