- удельный вес,
соответственно, наружного и внутреннего воздуха, Н/м3; определяются
по формулам:
- плотность
наружного воздуха, кг/м3;
ср - средняя скорость воздуха за январь; Uср = 4,1 м/с;
- динамика
давления потока воздуха;
Сн, Сп аэродинамические коэффициенты, соответственно, наветренной и подветренной поверхностей ограждающих конструкций здания, принимаемые по прил.4 [7];
Сн = 0,8;
Сп= -0,6. коэффициент учета изменения скоростного давления ветра в зависимости от высоты здания, принимаемый по табл.6 [7]; Ki = 0,4.
Рассчитаем
для
всех этажей:
2 = 14,54 Па;
3 = 9,01 Па.
Рассчитаем требуемое
сопротивление воздухопроницаемости для первого этажа:
= 0,13 (м2×ч×Па)/кг
= 0,09 (м2×ч×Па)/кг
Зная конструкцию окна и сопротивление воздухопроницаемости, из прил. Д [1] выбирается число уплотненных притворов и вид уплотнителя для каждого из этажей соответственно:
Таблица 4.1 ‒ Заполнение световых проемов
|
№ этажа |
Разность отметок верха карниза и середины окна, м |
Коэффициент учета изменения скоростного давления ветра в зависимости от высоты здания, ki |
Расчетная разность давления воздуха Δр, Па |
Сопротивление воздухопроницания окон Rв.тр, (м2чПа)/кг |
Вид уплотнителя |
Количество уплотненных притворов заполнения |
|
1 |
6,65 |
0,4 |
19,94 |
0,16 |
Губчатая резина |
1 |
|
2 |
3,95 |
0,4 |
14,54 |
0,13 |
Губчатая резина |
1 |
|
3 |
1,25 |
0,4 |
9,01 |
0,09 |
Губчатая резина |
1 |
5. Расчет теплового баланса одного рядового и
одного углового помещения на всех этажах
Тепловой баланс составляется для определения количества теплоты, которое необходимо подавать в помещение для поддержания расчетной температуры.
Тепловой баланс (тепловая нагрузка) обозначается
Q4, Вт, и определяется по формуле:
, (5.1)
где
основные и добавочные теплопотери через ограждающую конструкцию помещения, Вт;-
расход теплоты на нагревание инфильтрующегося наружного воздуха через
ограждающие конструкции помещения, Вт;- суммарный тепловой поток, регулярно
поступающий в помещения здания от электрических приборов, освещения и других
источников, Вт;
коэффициент, принимаемый в зависимости от способа регулирования системы
отопления по табл. А1 [4].
Расчетные основные и добавочные потери теплоты
определяются суммой потерь теплоты через отдельные ограждающие конструкции Q,
Вт, для помещений по формуле:
) · n · (1+
,
(5.2)
где k=1/Rт - коэффициент теплопередачи ограждающей конструкции, Вт/(м20С);т - сопротивление теплопередаче, (м2 0С)/Вт:т=6,0 чердачные перекрытия;т=2,5 перекрытие над подвалом;- коэффициент, принимаемый по табл. 5.3 [1] в зависимости от положения наружной поверхности ограждающих конструкций по отношению к наружному воздуху:=0,9 - для чердачных перекрытий;=0,75 - для подвальных перекрытий;
А - площадь ограждения, м2;
Σβ - добавочные потери
теплоты в долях от основных потерь, определяемые в соответствии с прил. Ж [4]:
Σβ = 0,1(С,СВ,СЗ,В); Σβ
=0 (Ю,ЮЗ);
Σβ
=0,05(З,ЮВ)
В угловых помещениях дополнительно по 0,05 на каждую стену, дверь и окно.
tв расчетная температура воздуха в
помещении, 18°С - для рядового помещения, 20°С - для углового помещения;н -
расчетная температура наружного воздуха для холодного периода года при расчете
потерь теплоты через наружные ограждающие конструкции, равная температуре наиболее
холодной пятидневки обеспеченностью 0,92, принимаемая по т. 4.3 [1], -24
ºС.
Таблица 5.1.
|
№ |
Наименование ограждения |
Размеры, м |
Площадь А, м² |
Ориентация |
Коэффициент теплопередачи k Вт/м2·С° |
Температура помещения, С° |
Разность температур, С° |
Коэффициент n |
1+β |
Потери Q, Вт |
|||||||||||
|
|
|
а |
h(b) |
|
|
|
|
|
|
|
|
||||||||||
|
1 |
2 |
3 |
4 |
5 |
6 |
7 |
8 |
9 |
10 |
11 |
12 |
||||||||||
|
1 этаж |
|||||||||||||||||||||
|
Угловая |
НС1 |
3,2 |
2,7 |
8,64-1,68=6,96 |
С |
0,30 |
20 |
44 |
1 |
1,1 |
101,06 |
||||||||||
|
105 |
НС2 |
5,6 |
2,7 |
15,12 |
З |
0,30 |
20 |
44 |
1 |
1,05 |
209,56 |
||||||||||
|
|
ТО |
1,4 |
1,2 |
1,68 |
С |
1,0 |
20 |
44 |
1 |
1,1 |
81,31 |
||||||||||
|
|
Пл |
5,2 |
2,8 |
14,56 |
- |
0,4 |
20 |
44 |
0,75 |
- |
192,19 |
||||||||||
|
|
|
|
|
|
|
|
|
|
|
|
∑584,12 |
||||||||||
|
Рядовая |
НС1 |
6,0 |
2,7 |
16,2-3,57=12,63 |
С |
0,30 |
18 |
42 |
1 |
1,1 |
175,05 |
||||||||||
|
104 |
ТО |
1,4 |
1,2 |
1,68 |
С |
1,0 |
18 |
42 |
1 |
1,1 |
77,62 |
0,9 |
2,1 |
1,89 |
С |
1,0 |
18 |
42 |
1 |
1,1 |
87,32 |
|
|
Пл |
5,2 |
6,0 |
31,2 |
- |
0,4 |
18 |
42 |
0,75 |
- |
393,12 |
||||||||||
|
|
|
|
|
|
|
|
|
|
|
|
∑733,11 |
||||||||||
|
2 этаж |
|||||||||||||||||||||
|
Угловая |
НС1 |
3,0 |
2,7 |
8,64-1,68=6,96 |
С |
0,30 |
20 |
44 |
1 |
1,1 |
101,06 |
||||||||||
|
205 |
НС2 |
5,6 |
2,7 |
15,12 |
З |
0,30 |
20 |
44 |
1 |
1,05 |
209,56 |
||||||||||
|
|
ТО |
1,4 |
1,2 |
1,68 |
С |
1,0 |
20 |
44 |
1 |
1,1 |
81,31 |
||||||||||
|
|
|
|
|
|
|
|
|
|
|
|
∑391,93 |
||||||||||
|
Рядовая |
НС1 |
6,0 |
2,7 |
16,2-3,57=12,63 |
С |
0,30 |
18 |
42 |
1 |
1,1 |
175,05 |
||||||||||
|
204 |
ТО |
1,4 |
1,2 |
1,68 |
С |
1,0 |
18 |
42 |
1 |
1,1 |
77,62 |
||||||||||
|
|
БД |
0,9 |
2,1 |
1,89 |
С |
1,0 |
18 |
42 |
1 |
1,1 |
87,32 |
||||||||||
|
|
|
|
|
|
|
|
|
|
|
|
∑339,99 |
||||||||||
|
3 этаж |
|||||||||||||||||||||
|
Угловая |
НС1 |
3,2 |
2,7 |
8,64-1,68=6,96 |
С |
0,30 |
20 |
44 |
1 |
1,1 |
101,06 |
||||||||||
|
305 |
НС2 |
5,6 |
2,7 |
15,12 |
З |
0,30 |
20 |
44 |
1 |
1,05 |
209,56 |
||||||||||
|
|
ТО |
1,4 |
1,2 |
1,68 |
С |
1,0 |
20 |
44 |
1 |
1,1 |
81,31 |
||||||||||
|
|
Пт |
5,2 |
2,8 |
31,2 |
- |
0,17 |
20 |
44 |
0,9 |
- |
210,04 |
||||||||||
|
|
|
|
|
|
|
|
|
|
|
|
∑601,97 |
||||||||||
|
Рядовая |
НС1 |
6,0 |
2,7 |
16,2-3,57=12,63 |
С |
0,30 |
18 |
42 |
1 |
1,1 |
175,05 |
||||||||||
|
304 |
ТО |
1,4 |
1,2 |
1,68 |
С |
1,0 |
18 |
42 |
1 |
1,1 |
77,62 |
||||||||||
|
|
БД |
0,9 |
2,1 |
1,89 |
С |
1,0 |
18 |
42 |
1 |
1,1 |
87,32 |
||||||||||
|
|
Пт |
5,2 |
6,0 |
31,2 |
- |
0,17 |
18 |
42 |
0,9 |
- |
200,49 |
||||||||||
|
|
|
|
|
|
|
|
|
|
|
|
∑540,48 |
||||||||||
Расход теплоты на нагревание инфильтрующегося
наружного воздуха Qi, Вт, будем вычислять по формуле:
(5.3)
где F - жилая площадь, м2.
Бытовые тепловыделения Qh, Вт, вычисляются по
формуле
. (5.4)
Определяем основные и добавочные потери теплоты
помещения, полученные значения заносим в таблицу 5.2.
Таблица 5.2 ‒ Определение теплового баланса
|
Номер помещения |
tB-tH, ºC |
Площадь помещения F, м2 |
Q, Вт |
Qi, Вт |
Qh, Вт |
Qh·(1-1), Вт |
Q4, Вт |
|
104 |
44 |
14,56 |
584,12 |
640,64 |
305,8 |
61,16 |
1163,6 |
|
105 |
42 |
31,2 |
733,11 |
1310,4 |
655,2 |
131,04 |
1912,47 |
|
204 |
44 |
14,56 |
391,93 |
640,64 |
305,8 |
61,16 |
971,41 |
|
205 |
42 |
31,2 |
339,99 |
1310,4 |
655,2 |
131,04 |
1519,35 |
|
304 |
44 |
14,56 |
601,97 |
640,64 |
305,8 |
61,16 |
1181,45 |
|
305 |
42 |
31,2 |
540,48 |
1310,4 |
655,2 |
131,04 |
1719,84 |
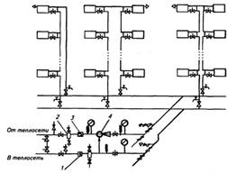
. Описание принципа работы проектируемой системы
отопления
Проектируемая система отопления является водяной однотрубной системой с нижней разводкой подающей и обратной магистралей. Нижняя разводка - это такая организация системы отопления, при которой трубы, подводящие подогретый теплоноситель к радиаторам и отводящие его в остывшем виде, находятся на уровне пола или скрыты в напольном покрытии.
В однотрубных системах с нижней разводкой теплоноситель из генератора теплоты поступает в подающие магистрали, расположенные внизу системы, откуда по восходящей части стояка поднимается вверх к отопительным приборам. В верхней части системы восходящая часть стояка переходит в нисходящую часть, которая присоединяется к обратной магистрали. Вода из нисходящей части стояка по обратной магистрали возвращается в генератор теплоты для повторного нагрева.
Отопительные приборы присоединяют к восходящей и нисходящей частям стояка. При непарных отопительных приборах свободной от отопительных приборов делают восходящую часть стояка.
Для большинства вертикальных однотрубных стояков характерно одностороннее присоединение отопительных приборов к стояку. Это, хотя и увеличивает число стояков, однако позволяет унифицировать приборные узлы как по диаметру, так и по длине труб. Одностороннее присоединение отопительных приборов к стояку позволяет размещать трубопровод стояка на любом расстоянии.
В таких системах вода циркулирует в
нагревательных приборах и стояках, которые их питают, вследствие разности
температур воды в тех и других.
Рис. 6.1 ‒
Однотрубная система водяного отопления с непосредственным присоединения к
тепловой сети централизованного теплоснабжения
Таким образом, стояки разделяются на подъемные и опускные, но в верхней части, обычно над полом верхнего этажа, они соединяются горизонтальным участком.
Устройство системы следующее:
- приоконные стояки располагаются на расстоянии 150 мм от края оконного проема;
- стояки и подводки к приборам имеют один и тот же диаметр (15 или 20 мм), независимо от этажности здания;
- подводки к приборам постоянной длины (до 500 мм); приборы смещены от оси окна в сторону стояка.
Для регулирования теплопередачи нагревательных
приборов устанавливают трехходовые краны, а при смещенных замыкающих участках
краны двойной регулировки.
. Определение числа секций отопительных приборов
в рассчитанных помещениях на всех этажах
Для однотрубной вертикальной системы отопления с нижней разводкой (подающая магистраль расположена в подвале) следует определить требуемое минимальное число секций радиаторов типа МС-90-108.
Номинальный тепловой поток одной секции
радиатора МС-90-108 равен
, согласно прил. 10
[6].
Расчётные параметры системы отопления
,
,
,
.
Рассчитываем стояки комнат:
. Определяем количество теплоты, отдаваемое
всеми отопительным приборами, присоединенными к данному стояку по формуле
Qст/у =
ΣQпр
= 3316,46 Вт;ст/р =
ΣQпр=
5151,66 Вт.
. Определяем количество теплоносителя,
проходящего через стояки по формуле
. Коэффициент затекания принимается α
= 1, отсюда
определяем количество воды, проходящей через каждый нагревательный прибор по
формуле
Суммарное понижение температуры воды подающей
магистрали принимаем равным
.
Температура подающей воды на входе в
рассматриваемые стояки определяется по формуле
Расчетные температуры на стояке между узлами
отопительных приборов вычисляются по формуле
Значение тепловой нагрузки отопительного прибора
соответствует расчетной тепловой нагрузке данного помещения
.
Результаты расчета сведены в таблицу 7.1.
Таблица 7.1 ‒ Температура между узлами отопительных приборов
|
Узлы |
Угловое помещение |
Рядовое помещение |
||||
|
|
ti |
Qпр |
Qст |
ti |
Qпр |
Qст |
|
на входе (t1) |
78,9 |
|
|
78,9 |
|
|
|
между 1-2 (t2) |
72,29 |
1163,6 |
3316,46 |
71,91 |
1912,47 |
5151,66 |
|
между 2-3 (t3) |
66,81 |
971,41 |
3316,46 |
66,43 |
1519,35 |
5151,66 |
|
на выходе (t0) |
60,0 |
1181,45 |
3316,46 |
60,0 |
1719,84 |
5151,66 |
Последнее вычисление выполняется в качестве проверки достоверности ранее выполненных расчетов.
Среднюю температуру отопительных приборов
вычисляем, принимая
(по прил. М [4])
коэффициент учета дополнительного теплового потока за счет округления сверх
расчетной величины,
(по прил. М [4]) -
коэффициент учета дополнительных потерь через наружные ограждения, по формуле:
где
коэффициент учета дополнительного теплового потока за счет округления сверх
расчетной величины;
- коэффициент
учета дополнительных потерь через наружные ограждения;