Материал: Расчет и конструирование системы отопления и системы вентиляции для трехэтажного жилого здания

Внимание! Если размещение файла нарушает Ваши авторские права, то обязательно сообщите нам

Расчет и конструирование системы отопления и системы вентиляции для трехэтажного жилого здания

Введение

воздух перекрытие стена вентиляционный

Целью данного проекта является расчет и конструирование системы отопления и системы вентиляции для трехэтажного жилого здания.

Исходные данные для проектирования систем приведены в задании на проектирование. Район постройки г. Гомель. Ориентация главного фасада здания - на Север. Чердак - холодный. Нагревательные приборы - радиаторы типа MС - 90-108. Параметры теплоносителя - 80/60°С. Кухонная плита - газовая, количество конфорок 2. Система отопления - центральная водяная однотрубная с нижней разводкой. Система вентиляции - естественная канальная.

В соответствии с приведенными исходными данными производится выбор расчетных параметров воздуха, определяется величина сопротивления теплопередаче всех наружных ограждающих конструкций, рассчитывается тепловая мощность системы отопления, составляется тепловой баланс помещений и всего здания. По результатам полученных данных производится конструирование и расчет системы отопления и системы вентиляции.

1. Выбор расчетных параметров внутреннего и наружного воздуха

Расчетные параметры наружного воздуха выбираются согласно табл. 4.3, 4.4, 4.5 [1] и сводятся в таблицу 1.1 в соответствие с местом расположения жилого дома - г. Гомель.

Таблица 1.1 - Расчетные параметры наружного воздуха

Наименование параметра

Единица измерения

Значение

Температура наиболее холодных суток обеспеченностью 0,98 tн0,98

ºС

-32

Температура наиболее холодных суток обеспеченностью 0,92 tн0,92

ºС

-28

Температура наиболее холодной пятидневки обеспеченностью 0,92 tн0,92

ºС

-24

Максимальная из средних скоростей ветра по румбам в январе vср

м/с

4,1

Средняя температура за отопительный период tн.от.

ºС

-1,6

Средняя относительная влажность за отопительный период φн.от.

%

83


Расчетные параметры внутреннего воздуха для расчета наружных ограждающих конструкций принимаются согласно табл. 4.1 [1] в зависимости от назначения здания и сводятся в таблицу 1.2, где также приводится расчетный перепад между температурой внутреннего и температурой внутренней поверхности рассчитываемых ограждающих конструкций согласно табл. 5.5 [1].

Таблица 1.2 - Расчетные параметры внутреннего воздуха

Наименование параметра

Единица измерения

Значение

Расчетная температура внутреннего воздуха помещений здания tв

ºС

18

Расчетная относительная влажность внутреннего воздуха помещений φв

%

55

Расчетный перепад между температурой внутреннего воздуха и температурой поверхности стены Δtвс

ºС

6


Согласно [4] принимаем следующие расчетные параметры внутреннего воздуха:

-       жилая комната tв=18ºC;

-       кухня tв=18ºC;

-       ванная tв=25ºC;

-       туалет tв=18ºC;

-       совмещенный санузел tв=25ºC.

В угловых помещениях температура внутреннего воздуха принимается выше на 2ºС (t = tв+2).

Согласно табл. 4.2 [1] при данных расчетных условиях в помещениях жилого здания влажностный режим помещений - нормальный, а условия эксплуатации наружных ограждающих конструкций Б.

. Определение сопротивления теплопередаче наружной стены, чердачного перекрытия и перекрытия над неотапливаемым подвалом

К ограждающим конструкциям относят те, через которые происходят потери тепла:

. Наружные стены НС;

. Чердачные перекрытия (потолок) Пт;

. Перекрытия над неотапливаемым подвалом (пол) Пл;

. Окна (тройное остекление) То.

В данной курсовой работе рассматривается двухслойная наружная ограждающая конструкция из известняка и газо- и пенозолобетона со следующими характеристиками:

Таблица 2.1 Характеристики материалов стены

N слоя

Наименование материала

Плотность ρ, кг/м3

Толщина слоя, , мм

Расчетные коэффициенты





теплопроводности λ, Вт/(м·°С)

теплоусвоения s, Вт/ (м2·°С)

паропроницаемости μ, мг/(м·ч·Па)

1

Газо-и пенозолобетон

1000

х

0,5

8,01

0,098

2

Известняк

1400

50

0,58

7,72

0,11



Рис. 2.1 ‒ Конструкция наружной стены

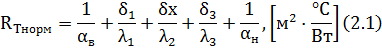
В соответствии с [1] сопротивление теплопередаче ограждающих конструкций или сооружений RT принимаем равное не менее значения, указанного в таблице 5.1:

RT≥RTнорм

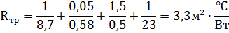
Для наружной стены принимаем значение RTнорм= 3,2 м2ºС /Вт.

Определим толщину стены, исходя из формулы сопротивления теплопередачи:


Где

αв - коэффициент теплоотдачи внутренней поверхности ограждающей поверхности ограждающей конструкции, Вт/(м2ºС);

αн - коэффициент теплоотдачи наружной поверхности ограждающей конструкции для зимних условий, Вт/(м2ºС);

d - толщина стены, м;

λ - коэффициент теплопроводности материала, Вт/моС.

В данной курсовой работе  αв = 8,7 Вт/мС, αн=23 Вт/мС, толщина слоя известняка .

Подставив все известные величины определим нужную толщину газо- и пенозолобетона:


Теперь, зная все величины, вычислим Rтр по формуле (2.1), т.к. после округления толщины значение изменится:


Нормативное сопротивление теплопередаче остальных ограждающих конструкций принимается в соответствии с [1]:

-       для перекрытий над подвалом 2,5 м2ºС /Вт;

-       для чердачных перекрытий 6,0 м2ºС /Вт;

-       для световых проемов, окон 1 м2ºС /Вт.

3. Расчет тепловлажностного режима наружной стены

Для обеспечения расчетных значений сопротивления теплопередаче при эксплуатации ограждающих конструкций, последние должны находиться в соответствующих тепловлажностных условиях, что определяется параметрами воздушной среды внутри и снаружи помещения и сопротивлением паропроницанию ограждающей конструкции.

Цель данного расчета - исключить выпадение конденсата при прохождении водяных паров через стену в холодный период. Определять температуру в плоскости возможной конденсации при расчетных температурах внутреннего и наружного воздуха будем по формуле:

, (3.1)

где   расчетная температура внутреннего воздуха, принимаемая по [1, прил. Ж],

  расчетная температура наружного воздуха для определения сопротивления паропроницанию, в качестве которой принимается средняя температура наружного воздуха за отопительный период, по [1,табл. 4.4],

 коэффициент теплоотдачи внутренней поверхности ограждающей конструкции, принимаемый по [1,табл. 5.4], 2

  сопротивление теплоотдаче ограждающей конструкции, ;

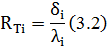
  термические сопротивления слоев многослойной конструкции или части однослойной конструкции, :


Определим температуру в плоскости возможной конденсации:


Аналогичным путем найдем :

;

Далее по [1, прил. Е ] определяем максимальные парциальные давления Е, причем

= 1982,7 Па;

Е2 = 1911,8 Па;

Е3 = 581,2 Па;

Определять парциальное давление водяного пара будем по формуле:


где  - парциальное давление водяного пара внутреннего воздуха при расчетных температуре и относительной влажности этого воздуха, Па, определяемое по формуле:


где  расчетная относительная влажность внутреннего воздуха, принимаемая по [1, табл. 4.4],

  максимальное парциальное давление внутреннего воздуха, Па.

Найдем :


 парциальное давление водяного пара наружного воздуха при средней температуре наружного воздуха за отопительный период, Па, определяемое по формуле:


где  средняя относительная влажность наружного воздуха за отопительный период, принимаемая по [1,табл. 4.4],

 максимальное парциальное давление водяного пара наружного воздуха, Па.

Найдем


 общее сопротивление паропроницаемости конструкции, , определяется по формуле:


где   коэффициент паропроницаемости, определяется по [1, прил. А, для условий эксплуатации "Б"],.

 для газо- и пенозолобетона;

  для известняка.

Определим сопротивление паропроницаемости конструкции:


Определим значение парциального давления водяного пара:


Таблица 3.1. Значения максимальных парциальных давлений в плоскостях наружной стены

Температура t, ºС

Максимальное парциальное давление водяного пара Е, Па

Парциальное давление водяного пара е, Па

18

2064

-

17,32

1982,7

1135,2

16,79

1911,8

1116,8

-0,38

581,2

492,6

-1,6

591,0

-


По полученным значениям строим график распределения температур, парциальных и максимальных парциальных давлений водяного пара в стене (рис. 3.1).

Рис 3.1 ‒ График тепловлажностного режима наружной стены

Рассчитаем требуемое сопротивление паропроницанию. Сопротивление паропроницанию наружной стены в пределах от плоскости возможной конденсации до наружной поверхности стены:


Для плоскости возможной конденсации Ек = 581,2 Па. Тогда


Сопротивление паропроницанию наружной стены в пределах от внутренней поверхности до плоскости возможной конденсации:


Так как Rп.в. > R п.тр., то устройство пароизоляции не требуется.

. Выбор конструкции заполнения световых проемов

Для заполнения световых проемов окна Rт = 1,0 м2ºС /Вт.

В качестве заполнения световых проемов принимаем тройное остекление в деревянных раздельно спаянных переплетах с селективным покрытием стенки и заполнением камер стеклопакета инертным газом.

Тип местности: городская застройка.

Для обеспечения нормативной воздухопроницаемости окон необходимо, чтобы сопротивление составляло требуемое значение:


где Dр - расчетная разность давления воздуха на наружной и внутренней поверхностях ограждающих конструкций, Па;

Gнopм - нормативная воздухопроницаемость ограждающих конструкций, кг/(м2×ч), Gнopм = 10,0 кг/(м2·ч).

Расчетную разность давления воздуха на наружной и внутренней поверхностях ограждающей конструкции Dp, Па, следует определять по формуле:


где H - расстояние между серединой окна и устьем вентиляционной шахты, м; Н=8,1 м;- отметка середины окна; h=1,45 м;- ускорение свободного падения; 9,81 м/с2;