Материал: Расчет и конструирование элементов балочной клетки

Внимание! Если размещение файла нарушает Ваши авторские права, то обязательно сообщите нам




Где: М - максимальное по длине балки значение изгибающего момента;  - момент сопротивления сечения балки, в котором возникает максимальный изгибающий момент.


Т.е. прочность ГБ по нормальным напряжениям обеспечена.

В составных сечениях устанавливаемых устанавливаемых расчётом, недонапряжение не должны превышать 5%.


Т.е. прочность ГБ удовлетворяет требованиям норм.

Проверку прочности по касательным напряжениям элементов, изгибаемых в одной из главных плоскостей, следует выполнять по формуле:

 =

Где Q - максимальное по длине балки значение поперечной силы; S и I - соответственно статический момент полусечения балки и момент инерции сечения балки, в котором возникает максимальная поперечная сила.

 = ; =

 <

Т.е. прочность ГБ по касательным напряжения обеспечена.

По всей длине ГБ (за исключением сечений, в которых М или Q равны нулю), изгибающий момент и поперечная сила действуют совместно. Поэтому, помимо раздельных проверок  и , необходима проверка совместного действия нормальных и касательных напряжений, при которой определяются приведённые напражения:

1)      

2)       ;

Где  - нормальные напряжения в срединной плоскости стенки, соответственно параллельные и перпендикулярные оси балки;  - касательное напряжение воспринимаемое стенкой.

Второе условие в данном случае практически ничем не отличается от проверки прочности ГБ на касательные напряжения, следовательно, это условие уже обеспеченно.


;


Т.е. прочность сечения ГБ на совместное действие нормальных и касательных напряжений обеспечена.

Проверка общей устойчивости

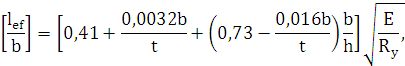
Наибольшее значение , при котором не требуется расчёт на устойчивость сварных балок независимо от уровня приложения нагрузки при расчёте участка балки между связями, определяется по формуле:


соответственно ширина и толщина сжатого пояса; h - расстояние между осями поясных листов.

За расчётную длину балки следует принимать расстояние между точками закреплений сжатого пояса от поперечных смещений. В данном случае за расчётную длину ГБ следует принять шаг второстепенных балок.

 ;

Т.е. общую устойчивость ГБ проверять не требуется.

Проверка и обеспечение местной устойчивости стенки

Проверка и обеспечение местной устойчивости ГБ выполняются в зависимости от значения условный гибкости стенки, которая определяется по следующей формуле:



Значение условной гибкости стенки превышает 3,2 (по пункту 7,3 СНиПа II 23-81* «3,2 - при отсутствии местного напряжения в балках с односторонними поясными швами», поэтому стенку следуют укреплять поперечными рёбрами жёсткости.

Расстояние между основными поперечными рёбрами жёсткости не должно превышать 2 при >3,2

а ≤ 2 = 2130=260 см

Однако расстояние между рёбрами допускается увеличивать до 3 при условии, что общая устойчивость балки обеспечена выполнением требований:

а ≤ 3 = 3130=390 см

Т.к. сопряжение балок в один уровень, то второстепенные балки будут опираться на рёбра жёсткости главной балки, шаг второстепенных балок 1,36 м, поэтому расстояние между рёбрами жёсткости принимаем 1,36 м.

Т.к. длина отсека больше его расчётной высоты а=136 >, местную устойчивость стенки проверяем в 1-ом отсеке на расстоянии а - 0,51,4=1,36-0,51,4=0,66 м от опоры.



Расчёт на устойчивость стенок балок симметричного сечения, укреплённых только поперечными основными рёбрами жесткости, при отсутствии местного напряжения (=0) и условной гибкости стенки  ≤ 6 (По СНиП II 23-81 пункт 7.5 «Расчет на устойчивость стенок балок симметричного сечения с учетом развития пластических деформаций при отсутствии местного напряжения (=0) и при τ ≤ 0,9Rs, Af / Aw ≥ 0,25, 2,2 ≤6». Следует выполнять по формуле:

Где:  и  - фактические значения соответственно нормального и касательного напряжения;  и  - критические значения напряжений.

Сжимающее напряжение  у расчётной границы стенки, принимаемое со знаком «+», и среднее касательное напряжение τ следует вычислять по формулам:


Значение  определяется по формуле:


Где:  - отношение большей стороны пластинки к меньшей;  - условная приведённая гибкость стенки.

Где: d - меньшая из сторон пластинки (расчётная высота стенки балки  или шаг ребра жёсткости а).

Значения  определяются по формуле:

 

Где  - коэффициент, для сварных балок зависящий от коэффициента δ и определяемый пои т 21 По СНиП II 23-81

β принимается по табл. 22 СНиП II 23-81 «При непрерывном опирании плит в прочих случаях 0,8»

δ = β15/130 примем 0,6 тогда

Итак, для проверки местной устойчивости стенки главной балки, укреплённой поперечными рёбрами жёсткости, имеются следующие данные:


 определяется по табл. 6 СНиП II 23-81 =0,95

Т.е местная устойчивость стенки ГБ при шаге рёбер жесткости а=136 см обеспечена.

7. Размеры рёбер жёсткости

Укрепляем стенку парными симметричными рёбрами. Ширина выступающей части ребра:


Принимаем

Толщина ребра должна быть не менее

7,988

Принимается

Расчёт опорного ребра

При высоте выступающей части опорного ребра а≤1,5t напряение в нижних торцах при действии опорной реакции не должны превышать расчётного сопротивления стали .

Из условия смятия определяется необходимая площадь поперечного сечения опорного ребра.

Принимается а=1,5 см. Требуемая площадь поперечного сечения опорного ребра определяется следующим образом:




 определяется по табл. 2 СНиП II 23-81


Удобно принять толщину и ширину опорного ребра равными толщине и ширине полки главной балки. В этом случае фактическая площадь поперечного сечения опорного ребра составит 152=30 , что значительно превышает требуемую площадь.

Участок стенки балки составного сечения над опорой при укреплении его ребрами жёсткости следует рассчитывать на продольный изгиб из плоскости как стойку, нагруженную опорной реакцией. В расчётное сечение этой стойки следует включать сечение опорного ребра и полосу стенки шириной 0,65t c каждой стороны ребра. Расчётную длину стойки следует принимать равной высоте стенки.

Расчёт на устойчивость следует выполнять по формуле:


- коэффициент продольного изгиба, определяемый по табл. 72 СНиП II 23-81 в зависимости от


 - расчётная длина стойки;  - радиус инерции сечения.

Геометрические характеристики сечения, рассчитываемого на продольный изгиб (опорная часть стенки совместно с опорным ребром), определяются для полосы стенки шириною:


Определим геометрические характеристики сечения:

А=215+16,271=46,27


За расчётную длину принимается высота стенки на опоре =130 см тогда гибкость равна

Для =37 и  = 3350  коэффициент продольного изгиба  по интерполяции =0,884.

Рассчитываем прикрепление ребра к стенке двусторонними швами с помощью полуавтоматической сварки проволокой Св-08А. (табл 4 СНиП II 23-81) =4200по табл 3 СНиП II 23-81   где  при  не более 5000 следует принимать =1,25. Тогда =  =1850 . Для проволоки марки Св-08А  - расчётное сопротивление металла граници сплавления сварного соединения с угловыми швами, принимаемое =0,45 (по табл 3 СНиП II 23-81) где  принимается равным временному сопротивлению по ТУ 14-1-3023-80, ГОСТ 380-71** (с 1990 г. ГОСТ 535-88) и ГОСТ 19281-73*.