Сравниваем показатели эффективности:
Вариант 1: Вариант 2:
ЧДД1 = 2547000 тыс. д.е. > ЧДД2 = 1466000 тыс. д.е.
ИД1 = 1,462 > ИД2 = 1,23
Ток1 = 7лет 9мес. < Ток2 = 9лет 1мес.
Евн1 = 0,393 > Евн2 = 0,270
По полученным показателям выбираем 1вариант оборудования т.к. у него меньше капиталовложения, издержки на амортизацию и капитальные ремонты, срок окупаемости инвестиций, больше чистый дисконтированный доход, индекс доходности и внутренняя норма доходности.
Рассчитаем показатели эффективности выбранного
варианта и занесем их в таблицу 16.
Таблица 16
Интегральные показатели эффективности
|
Наименование показателей |
Значение показателей по годам, тыс. д. е. |
|||||||||
|
|
1 |
2 |
3 |
4 |
5 |
6 |
7 |
8 |
9 |
10 |
|
1 |
2 |
3 |
4 |
5 |
6 |
7 |
8 |
9 |
10 |
11 |
|
1. Капитальные вложения |
1298800 |
1298800 |
1298800 |
1610466,6 |
- |
- |
- |
- |
103904 |
- |
|
2. Доход |
|
|
|
323533 |
1009514,4 |
1009514,4 |
1009514,4 |
1009514,4 |
1009514,4 |
- |
|
3. Коэффициент дисконтирования при Е1=0,15 |
0,247 |
0,247 |
0,247 |
0,247 |
0,247 |
0,247 |
0,247 |
0,247 |
0,247 |
- |
|
4. Дисконтированные капитальные вложения |
320804 |
320804 |
320804 |
397785 |
- |
- |
- |
- |
25664 |
- |
|
5. Суммарные дисконтированные капитальные вложения нарастающим итогом |
320804 |
641608 |
962412 |
1360197 |
1360197 |
1360197 |
1360197 |
1360197 |
1385861 |
- |
|
6. Дисконтированный доход |
- |
- |
- |
89913 |
269350 |
269350 |
269350 |
269350 |
269350 |
- |
|
7. Суммарный дисконтированный доход нарастающим итогом |
- |
- |
- |
89913 |
359263 |
628613 |
897963 |
1167313 |
1436663 |
- |
|
8. Чистый дисконтированный доход |
-320804 |
-641608 |
-962412 |
-1270284 |
-1000934 |
-731584 |
- 462234 |
-192884 |
50802 |
- |
|
9. Индекс доходности |
1,037 |
|||||||||
|
10. Ток (срок окупаемости) |
7 лет 9 месяцев |
|||||||||
|
11. Коэффициент дисконтирования при Е2=0,20 |
0,162 |
0,162 |
0,162 |
0,162 |
0,162 |
0,162 |
0,162 |
0,162 |
0,162 |
- |
|
12. Дисконтированные капитальные вложения |
210406 |
210406 |
210406 |
260896 |
- |
- |
- |
- |
16832 |
- |
|
13. Дисконтированный доход |
- |
- |
- |
55412 |
173541 |
173541 |
173541 |
173541 |
173541 |
- |
|
14. Суммарные дисконтированные капитальные вложения нарастающим итогом |
210406 |
420812 |
631218 |
892114 |
892114 |
892114 |
892114 |
892114 |
908946 |
- |
|
15. Суммарный дисконтированный доход нарастающим итогом |
- |
- |
- |
53412 |
226953 |
400494 |
574035 |
747576 |
921117 |
- |
|
16. Чистый дисконтированный доход |
-210406 |
-420812 |
-631218 |
-838702 |
-665161 |
-491620 |
-318079 |
-144538 |
12171 |
- |
|
17. Индекс доходности |
||||||||||
|
18. Срок окупаемости |
7 лет 9 месяцев |
|||||||||
|
19. Внутренняя норма доходности |
0,136 |
|||||||||
Таблица 17
Калькуляция себестоимости энергии ТЭЦ
|
№ |
|
Элементы затрат, млн. д.е. |
Распределение затрат |
|||||||
|
|
|
Топливо |
Зарплата |
Амортизация и ремонт |
Прочие |
Всего |
На электроэнергию |
На тепло-энергию |
||
|
|
|
|
|
|
|
|
млн. д.е. |
% |
млн. д.е. |
% |
|
1 |
2 |
3 |
4 |
5 |
6 |
7 |
8 |
9 |
10 |
11 |
|
1 |
Котельный цех |
2674,578 |
16,254 |
140,267 |
|
2831,099 |
2697,370 |
95,0 |
133,729 |
5,0 |
|
2 |
Турбинный и электрический цехи |
|
11,61 |
109,096 |
|
120,706 |
120,706 |
|
|
|
|
3 |
Всего: |
2674,578 |
27,864 |
249,363 |
|
2951,805 |
2818,076 |
95,47 |
133,729 |
4,53 |
|
4 |
Общестанционные расходы |
|
10,836 |
62,341 |
151,249 |
224,426 |
214,260 |
|
10,166 |
|
|
5 |
Итого затрат: |
2674,578 |
38,700 |
311,704 |
151,249 |
3176,231 |
3032,336 |
|
143,895 |
|
|
|
Распределение затрат: |
|
|
|
|
|
|
|
|
|
|
6 |
на электроэнергию |
2697,370 |
25,841 |
208,132 |
100,993 |
3032,336 |
|
|
|
|
|
7 |
на теплоэнергию |
133,729 |
|
|
10,166 |
143,895 |
|
|
|
|
|
|
Себестоимость единицы: |
|
|
|
|
|
|
|
|
|
|
8 |
электроэнергии, д.е./100кВтч |
230,9 |
2,2 |
17,8 |
8,7 |
259,6 |
|
|
|
|
|
9 |
Теплоэнергии, д.е./Гкал |
170,8 |
|
|
13 |
183,8 |
|
|
|
|
7. Калькуляция себестоимости энергии
Видом топлива данной станции является газ,
следовательно затраты топливно-транспортного цеха учитываться не будут.
(Таблица 17)
8. Определение прибыли и рентабельности
Основными экономическими рычагами в хозрасчете являются прибыль
и рентабельность.
Эффективность деятельности
предприятия оценивается по величине дохода Д, который определяется как сумма
чистой прибыли
и
амортизационных отчислений
:
Источником формирования чистой
прибыли является балансовая прибыль
, представляющая собой сумму прибыли
от реализации продукции (работ, услуг): основных фондов, иного имущества
предприятия и доходов от внереализованных операций, уменьшенных на сумму
расходов по этим операциям:
а) прибыль от реализации продукции определятся как разница между выручкой от реализации продукции и затратами на производство и реализацию, включаемыми в себестоимость продукции (в себестоимость включаются платежи по % за кредит банков и страховые взносы);
б) при определении прибыли от реализации основных фондов учитывается разница между продажной ценой и первоначальной стоимостью, увеличенной на индекс инфляции;
в) в состав доходов от внереализованных операций включаются: доходы от сдачи имущества в аренду, доходы (дивиденды, проценты) по акциям, облигациям и т.д.
Для исчисления налога на прибыль
рассчитывается прибыль, облагаемая налогом (Пн), или расчетная
прибыль (Прасч), которая определяется как балансовая прибыль,
уменьшенная на сумму отчислений в резервный фонд предприятия (прибыль, не
подлежащая налогообложению Пне обл.), а также уменьшенная на сумму
рентных платежей: имущественный налог, налог на транспортные средства, налог на
землю, экологический налог, целевые сборы на содержание милиции, уборку улиц и
т.д.:
где, Н1 - сумма рентных платежей;
Пб - прибыль балансовая.
Чистая прибыль
представляет
собой разность между балансовой прибылью и уплаченными налогами:
где, Н2 - налог с расчетной прибыли (налог на прибыль).
Балансовая, или чистая,
рентабельность производства определяется как отношение соответствующей прибыли
к стоимости основных фондов Фо и нормируемых оборотных средств
:
Для расчета балансовой прибыли и рентабельности TЭЦ принять:
· средний отпускной тариф за электроэнергию и теплоэнергию в двойном размере от себестоимости электроэнергии и тепла соответственно;
· стоимость основных фондов Фо - равной сумме капиталовложений в ТЭЦ;
· сумму нормируемых оборотных средств НОС - равной сумме затрат по топливу за месяц эксплуатации;
· в сумму годовых издержек производства добавить выплату процентов за банковский кредит, приняв ее равной 0,5% от стоимости основных фондов и нормируемых оборотных средств;
Для расчета чистой прибыли принять следующую систему налогообложения:
· имущественный налог - 2,2%;
· рентные платежи в бюджеты разного уровня - 50000 д.е./чел.;
· 20% балансовой прибыли не подлежит налогообложению;
· налог на прибыль - 20%.
Для образования фонда материального поощрения направить 40% от чистой прибыли.
Принимаем:
· средний отпускной тариф за электроэнергию: τэ = 519,2 д.е./100кВтч,
на теплоэнергию: τq = 368 д.е./Гкал.
· стоимость основных фондов: Фо = 5195,2 млн. д.е.
· сумма нормируемых оборотных средств: НОС = 222,882 млн. д.е.
· сумма годовых издержек производства:
Игодов. =
2971,833+(5195,2+222,882)∙0,5% = 2998,923 млн. д.е.
9. Технико-экономические показатели станции
В итоге проведенных расчетов необходимо дать сводку технико-экономических показателей ТЭЦ, характеризующих эффективность ее эксплуатации и строительства. Часть показателей выписывается из курсового проекта, а часть рассчитывается по известным из теоретических курсов формулам.
При расчете планового расхода энергии на собственные нужды станции принимаем:
0,9 - коэффициент, учитывающий расход электроэнергии на с.н. и потери;
,97 - КПД тепловых сетей;
bн
- нормативный удельный расход топлива на отпущенный кВтч; рассчитывается по
топливным характеристикам с учетом фактической выработки и отпуска
электроэнергии.
Таблица 18
Технико-экономические показатели ТЭЦ
|
№ |
Показатели |
Единица измерения |
План |
Факт |
Отклонения |
|||||
|
1 |
2 |
3 |
4 |
5 |
6 |
|||||
|
1 |
Установленная мощность ТЭЦ |
МВт |
200 |
200 |
0 |
|||||
|
2 |
Состав оборудования (кол-во и тип турбин) |
|
ПТ-50-90-2шт. К-50-90-2шт |
ПТ-50-90-2шт. К-50-90-2шт |
0 |
|||||
|
3 |
Число часов использования установленной мощности |
ч/год |
5840,64 |
6084 |
+243,36 |
|||||
|
4 |
Удельные капиталовложения на 1кВт установленной мощности |
тыс. д.е./кВт |
25976 |
27058 |
+1082 |
|||||
|
5 |
Численность персонала: · всего · эксплуатационного |
человек |
528 258 |
528 258 |
0 0 |
|||||
|
6 |
Основные фонды |
тыс. д.е. |
1298800 |
1298800 |
0 |
|||||
|
7 |
Оборотные фонды |
тыс. д.е. |
222882 |
242781 |
+19899 |
|||||
|
8 |
Фонд зарплаты |
тыс. д.е. |
79200 |
79200 |
0 |
|||||
|
9 |
Отпуск тепловой энергии |
Гкал/год |
783000 |
783000 |
0 |
|||||
|
10 |
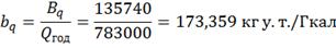
Удельный расход топлива на отпущенное тепло |
кг у.т./Гкал |
173,359 |
173,359 |
0 |
|||||
|
11 |
КПД ТЭЦ по отпуску тепла |
% |
68 |
68 |
0 |
|||||
|
12 |
Годовые издержки на теплоэнергию |
тыс. д.е. |
143895 |
143895 |
0 |
|||||
|
13 |
Себестоимость отпущенной, Гкал |
д.е./Гкал |
183,7 |
183,7 |
0 |
|||||
|
14 |
Выработка электроэнергии |
Млн. кВтч/год |
1168,128 |
1226,534 |
+5% |
|||||
|
15 |
Отпуск электроэнергии ЭОТП |
Млн. кВтч/год |
1051,315 |
1093,368 |
+4% |
|||||
|
16 |
Расход электроэнергии на С.Н. |
Млн. кВтч/год % |
116,813 10 |
133,166 10,857 |
+16,353 +0,857% |
|||||
|
17 |
Удельный расход топлива на выработанный 1 кВтч |
г.у.т./кВтч |
517 |
519 |
+2 |
|||||
|
18 |
Удельный расход топлива на отпущенный 1 кВтч |
г.у.т./кВтч |
535 |
536 |
+1 |
|||||
|
19 |
Нормативный удельный расход топлива bН |
г.у.т./кВтч |
526 |
528 |
+2 |
|||||
|
20 |
КПД ТЭЦ по отпуску электроэнергии |
% |
40 |
39 |
1% |
|||||
|
021 |
Цена 1 т.у.т. ЦТ |
д.е./т.у.т. |
2750 |
2750 |
0 |
|||||
|
22 |
Затраты на топливо |
тыс. д.е. |
2674578 |
2913374 |
+238796 |
|||||
|
23 |
Постоянные затраты |
тыс. д.е. |
501653 |
501653 |
0 |
|||||
|
24 |
Годовые издержки на электроэнергию |
тыс. д.е. |
3032336 |
3404861 |
+372525 |
|||||
|
25 |
Затраты
на топливо, отнесенные на отпуск электроэнергии |
тыс. д.е. |
2697370 |
3069895 |
+372545 |
|||||
|
26 |
Постоянные
расходы, отнесенные на отпуск электроэнергии |
тыс. д.е. |
334966 |
334936 |
-30 |
|||||
|
27 |
Себестоимость отпущенного 1 кВтч СОТ |
д.е/1 кВтч |
2,884 |
3,114 |
+0,23 |
|||||
|
28 |
В том числе топливная составляющая СТ |
д.е/1 кВтч |
2,544 |
2,808 |
+0,264 |
|||||
|
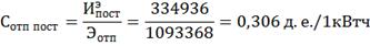
29 |
Постоянная составляющая Спост |
д.е/1 кВтч |
0,340 |
0,306 |
-0,036 |
|||||
|
30 |
Прибыль балансовая |
тыс. д.е./год |
1271541 |
1261250 |
-10291 |
|||||
|
31 |
Рентные платежи Н1 |
тыс. д.е. |
26400 |
26400 |
0 |
|||||
|
32 |
Расчетная прибыль |
тыс. д.е. |
990833 |
982600 |
-8233 |
Налог на прибыль Н2 |
тыс. д.е. |
198167 |
196520 |
-1647 |
|
34 |
Чистая прибыль |
тыс. д.е. |
1046974 |
1038330 |
-8644 |
|||||
|
35 |
Фонд материального поощрения ФМП |
тыс. д.е./год |
68,262 |
|||||||
|
36 |
Фондоотдача основных средств |
отн.ед. |
4,505 |
4,673 |
+0,168 |
|||||
|
37 |
Оборачиваемость оборотных средств |
раз/год |
4,425 |
4,593 |
+0,168 |
|||||
|
38 |
Длительность одного оборота |
дней |
81 |
78 |
-3 |
|||||
|
39 |
Производительность труда |
тыс. д.е./чел |
11082 |
11494 |
+412 |
|||||
|
40 |
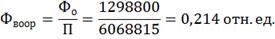
Фондовооруженность |
тыс. д.е./чел |
2460 |
2460 |
0 |
|||||
|
41 |
Фондоемкость |
отн.ед. |
0,222 |
0,214 |
-0,008 |
|||||
|
42 |
Рентабельность производственных фондов: · по общей прибыли · по чистой прибыли |
% % |
84 69 |
82 67 |
-2% -2% |
|||||
Пример расчета фактических технико-экономических показателей:
· удельный расход топлива на отпущенное тепло:
· КПД ТЭЦ по отпуску теплоэнергии:
· удельный расход топлива на выработанный 1кВтч:
· КПД ТЭЦ по отпуску электроэнергии:
· себестоимость отпущенного 1кВтч:
· себестоимость постоянной составляющей
отпущенного 1кВтч:
· расчетная прибыль:
· чистая прибыль:
· фондоотдача основных средств:
· производительность труда:
· фондовооруженность:
· фондоемкость:
· рентабельность производственных фондов по общей
прибыли:
· рентабельность производственных фондов по чистой
прибыли:
10. Анализ хозяйственной
деятельности ТЭЦ
Экономический анализ хозяйственной деятельности является функцией управления производством, который позволяет выявить причины изменения итоговых показателей хозяйственной деятельности и принять меры для улучшения этих показателей. Если прибыль характеризует как достижения самого предприятия, так и общественную значимость продукции через ее цены, то себестоимость характеризует затраты данного предприятия и в основном связана только с деятельностью данного коллектива. В связи с этим для электростанции, работающей в системе, себестоимость может рассматриваться как основной показатель хозяйственной деятельности.
Анализ проводится в следующем порядке:
Определяется общий результат выполнения плана по
себестоимости:
где, Сф и Спл- фактическая и плановая себестоимость единицы отпущенной электрической энергии, д.е./1кВтч;
- фактический отпуск электрической
энергии, МВт.
Этот общий результат выполнения плана по себестоимости складывается из влияния:
· выполнения плана по отпуску электрической энергии с шин станции;