Годовой расход пара из отбора одной турбины
определяется как:
где,
и
- часовые расходы пара из
отопительного и производственного отборов одной турбины.
Рассчитаем годовой расход топлива на турбину В, для газа он принимается с коэффициентом 0,96:
Вариант 1:
ПТ-50-90:
В том числе:
К-50-90:
Вариант 2:
ПТ-50-90:
В том числе:
Т-50-90:
В том числе:
Расчет амортизации
Норма амортизации может быть приближенно
определена по формуле:
где,
- число часов использования
установленной мощности станции.
Величина амортизационных отчислений составит:
где, Kст - капитальные вложения в сооружение станции.
Затраты по заработной плате
В нашем случае учитывается заработная плата только эксплуатационного персонала основных цехов.
Затраты по заработной плате
определяются по формуле:
где,
- штатный коэффициент, принимаем из
приложения 6, равный 1,29;
- удельный фонд заработной платы,
равный 150000 д.е./чел.год.;
- мощность электростанции, МВт.
Страховые взносы
Страховые взносы составляют 30 % от
затрат по заработной плате, получаем:
Затраты на капитальный и текущий ремонты
Затраты на капитальный и текущий
ремонты принимаем в размере 2 % от капиталовложений в сооружение станции:
Прочие расходы
Прочие расходы принимаем в процентах
от суммы затрат на топливо, амортизацию, заработную плату и ремонт - для
электростанций мощностью от 100 до 500 МВт - 5%;
Годовые эксплуатационные расходы
Полная величина годовых
эксплуатационных расходов определяется как сумма перечисленных затрат:
6. Технико-экономическое сравнение
вариантов состава оборудования
Обоснование выбора состава оборудования
Принимаем горизонт расчета Трасч = 10 годам; ставку дисконта Е = 10%; срок строительства станции Тстр = 4 годам. Частичную эксплуатацию начать с четвертого года. Распределение инвестиций по годам произвести следующим образом:
· затраты на приобретение внеоборотных активов (капитальные вложения в основные фонды) распределять равномерно в течение четырех лет;
· в первый год эксплуатации к инвестиционным затратам на приобретение оборудования добавить затраты на приобретение внеоборотных активов (стоимость месячного запаса топлива).
В первый год эксплуатации объем продаж принять
равным 0,8 от номинального; величину амортизационных отчислений рассчитать по
норме амортизации:
от суммы инвестиций за предыдущие три года строительства.
Второй год эксплуатации принять годом нормальной эксплуатации, начиная с этого года объем и величина издержек производства будут номинальными и постоянными во все последующие годы; амортизационные отчисления, рассчитанные от полной суммы капитальных вложений в сооружение станции, в дальнейшем остаются постоянными.
Для каждого варианта рассчитать потоки наличности и представить в таблице 14. Для расчета чистой прибыли можно величину налогов принять в размере 20% от балансовой прибыли. В дальнейшем для выбранного варианта налоги рассчитать подробно.
Для расчета выручки от продаж принимаем тариф на электроэнергию: τэ=3у.е./1кВтч, тариф на тепловую энергию: τq=1000д.е./Гкал.
По данным таблиц 14,15 рассчитаем
показатели эффективности - ЧДД, ИД,
, ВНД для каждого варианта и выберем
лучший.
Для расчета ВНД необходимо
рассчитать ЧДД при различных ставках дисконтирования, используя табличные
значения коэффициента дисконтирования из приложения 7.
Таблица 14
Поток реальных денег варианта 1
|
№ |
Наименование показателя |
Значение показателя по годам, тыс. д.е. |
|||||||||
|
|
|
годы |
|||||||||
|
|
|
1 |
2 |
3 |
4 |
5 |
6 |
7 |
8 |
9 |
10 |
|
1 |
2 |
3 |
4 |
5 |
6 |
7 |
8 |
9 |
10 |
11 |
12 |
|
1 |
Операционная деятельность |
- |
- |
- |
323533 |
1009514,4 |
1009514,4 |
1009514,4 |
1009514,4 |
1009514,4 |
1009514,4 |
|
1.1 |
Объём продаж |
|
|
|
0,8 |
1 |
1 |
1 |
1 |
1 |
1 |
|
|
Отпуск эл.эн. Эотп |
- |
- |
- |
+ |
+ |
+ |
+ |
+ |
+ |
+ |
|
|
Отпуск тепл..эн. Qотп |
- |
- |
- |
+ |
+ |
+ |
+ |
+ |
+ |
+ |
|
1.2 |
Цена продаж |
|
|
|
|
|
|
|
|
|
|
|
|
Тариф на эл.эн. τэ = 3у.е./1кВтч |
|
|
|
|
|
|
|
|
|
|
|
|
Тариф на тепл. эн.τq = 1000 д.е./Гкал |
|
|
|
|
|
|
|
|
|
|
|
1.3 |
Выручка от продаж |
- |
- |
- |
3429907,2 |
4287384 |
4287384 |
4287384 |
4287384 |
4287384 |
4287384 |
|
1.4 |
Суммарные издержки |
- |
- |
- |
3187841 |
3187841 |
3187841 |
3187841 |
3187841 |
3187841 |
3187841 |
|
1.4.1 |
Переменные издержки Ит |
- |
- |
- |
2674578 |
2674578 |
2674578 |
2674578 |
2674578 |
2674578 |
2674578 |
|
1.4.2 |
Амортизац. отчисления Иам |
- |
- |
- |
129880 |
129880 |
129880 |
129880 |
129880 |
129880 |
129880 |
|
1.4.3 |
Прочие постоянные издержки |
- |
- |
- |
293853 |
293853 |
293853 |
293853 |
293853 |
293853 |
293853 |
|
1.5 |
Прибыль балансовая |
- |
- |
- |
242066,2 |
1111153 |
1111153 |
1111153 |
1111153 |
1111153 |
1111153 |
|
1.6 |
Налоги 0,2 п 1.5 |
|
|
|
48413,2 |
219908,6 |
219908,6 |
219908,6 |
219908,6 |
219908,6 |
219908,6 |
|
1.7 |
Прибыль чистая |
- |
- |
- |
193653 |
879634,4 |
879634,4 |
879634,4 |
879634,4 |
879634,4 |
879634,4 |
|
2 |
Инвестиционная деятельность К = Косн+Коб |
1298800 |
1298800 |
1298800 |
1610466,58 |
- |
- |
- |
- |
- |
- |
|
2.1 |
Затраты на приобретение внеоборотных активов Косн |
1298800 |
1298800 |
1298800 |
1298800 |
- |
- |
- |
- |
- |
- |
|
2.2 |
Затраты на приобретение оборотных активов Коб |
- |
- |
- |
222882 |
- |
- |
- |
- |
- |
- |
Таблица 15
Поток реальных денег варианта 2
|
№ |
Наименование показателя |
Значение показателя по годам, тыс. д.е. |
|||||||||
|
|
|
годы |
|||||||||
|
|
|
1 |
2 |
3 |
4 |
5 |
6 |
7 |
8 |
9 |
10 |
|
1 |
2 |
3 |
4 |
5 |
6 |
7 |
8 |
9 |
10 |
11 |
12 |
|
1 |
Операционная деятельность |
- |
- |
- |
315910,5 |
1001891,9 |
1001891,9 |
1001891,9 |
1001891,9 |
1001891,9 |
1001891,9 |
|
1.1 |
Объём продаж |
|
|
|
0,8 |
1 |
1 |
1 |
1 |
1 |
1 |
|
|
Отпуск эл.эн. Эотп |
- |
- |
- |
+ |
+ |
+ |
+ |
+ |
+ |
+ |
|
|
Отпуск тепл..эн. Qотп |
- |
- |
- |
+ |
+ |
+ |
+ |
+ |
+ |
+ |
|
1.2 |
Цена продаж |
|
|
|
|
|
|
|
|
|
|
|
|
Тариф на эл.эн. τэ = 3у.е./1кВтч |
|
|
|
|
|
|
|
|
|
|
|
|
Тариф на тепл. эн.τq = 1000 д.е./Гкал |
- |
- |
- |
3429907,2 |
4287384 |
4287384 |
4287384 |
4287384 |
4287384 |
4287384 |
|
1.4 |
Суммарные издержки |
- |
- |
- |
3224491 |
3224491 |
3224491 |
3224491 |
3224491 |
3224491 |
3224491 |
|
1.4.1 |
Переменные издержки Ит |
- |
- |
- |
2657425 |
2657425 |
2657425 |
2657425 |
2657425 |
2657425 |
2657425 |
|
1.4.2 |
Амортизационные отчисления Иам |
- |
- |
- |
151577,5 |
151577,5 |
151577,5 |
151577,5 |
151577,5 |
151577,5 |
151577,5 |
|
1.4.3 |
Прочие постоянные издержки |
- |
- |
- |
312956 |
300953 |
300953 |
300953 |
300953 |
300953 |
300953 |
|
1.5 |
Прибыль балансовая |
- |
- |
- |
205416,2 |
1062893 |
1062893 |
1062893 |
1062893 |
1062893 |
1062893 |
|
1.6 |
Налоги 0,2 п 1.5 |
|
|
|
41083,2 |
212578,6 |
212578,6 |
212578,6 |
212578,6 |
212578,6 |
212578,6 |
|
1.7 |
Прибыль чистая |
- |
- |
- |
164333 |
850314,4 |
850314,4 |
850314,4 |
850314,4 |
850314,4 |
850314,4 |
|
2 |
Инвестиционная деятельность К=Косн+Коб |
1515775 |
1515775 |
1515775 |
1827441,6 |
- |
- |
- |
- |
- |
- |
|
2.1 |
Затраты на приобретение внеоборотных активов Косн |
1515775 |
1515775 |
1515775 |
1515775 |
- |
- |
- |
- |
- |
- |
|
2.2 |
Затраты на приобретение оборотных активов Коб |
- |
- |
- |
221452,1 |
- |
- |
- |
- |
- |
- |
электроэнергия мощность
себестоимость рентабельность
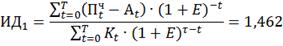
Показатели эффективности варианта 1:
Чистый дисконтированный доход ЧДД определяется
по формуле:
где, τ - год приведения;
t - год вложения средств;
- горизонт расчета;
- норма дисконта;
- чистая прибыль;
- амортизационные отчисления;
- капиталовложения в t год.
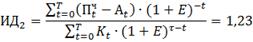
Индекс доходности ИД
рассчитывается по формуле:
Определяем окупаемость инвестиций Ток1, или срок возврата средств, графическим способом.
Срок окупаемости - минимальный временной интервал (от начала осуществления проекта), за пределами которого ЧДД становится (и в дальнейшем остается) положительным.
Для расчета срока окупаемости можно построить зависимость ЧДД от времени (шагов расчета), рисунок 5.
Из рисунка 5, следует что окупаемость инвестиций составляет Ток1 = 7лет 9 месяцев.
Внутренняя норма доходности ВНД
равна ставке дисконтирования
при которой чистый дисконтированный
доход (ЧДД) проекта равен нулю.
Рисунок 5 - Изменение ЧДД по шагам расчета
Если весь проект выполняется только за счет заемных средств, то ВНД равна максимальному проценту, под который можно взять заем с тем, чтобы суметь расплатиться из доходов от реализации проекта за расчетный период.
ВНД можно рассчитать по формуле:
где, при которых ЧДД1
положителен - первая ставка
и ЧДД2 отрицателен -
вторая ставка
Вариант 2:
Чистый дисконтированный доход ЧДД определяется по формуле:
Индекс доходности ИД
рассчитывается по формуле:
Окупаемость инвестиций Ток2,
или срок возврата средств, найдем графическим способом:
Рисунок 6 - Изменение ЧДД по шагам расчета
Из рисунка 6, следует что окупаемость инвестиций
составляет Ток2 = 9 лет 1 месяц. ВНД можно рассчитать по
формуле: