Материал: qW3OprCt2S

Внимание! Если размещение файла нарушает Ваши авторские права, то обязательно сообщите нам

11

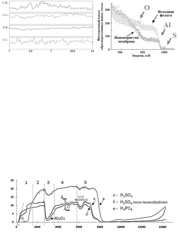
полученной в электролите на основе серной кислоты с добавлением глицерина, входят такие элементы как Al, O, C, S, которые равномерно распределены по всей глубине сквозной мембраны.

Интенсивность рентгеновского излучения, о.е.

Глубина мембраны, мкм

б

Рисунок 5 – Распределение элементов по толщине мембраны, полученное с помощью РСМА (а) и энергетический спектр обратнорассеянных ионов He+, полученный с помощью РОР (б)

Для характеризации геометрических параметров пор были разработаны две методики.

Первая основана на специально реализованной программе по обработке цифровых изображений (АСМ и РЭМ) исследуемых мембран, реализованной на графическом языке программирования. Данная программа позволяет вычислять поверхностную концентрацию пор и их распределение по размерам. Результаты исследований показали, что разброс значений по диаметру пор может составлять не более 15%.

Вторая методика основана на анализе оптических спектров пропускания в широком диапазоне (от 200 нм до 15 мкм) длин волн (рисунок 6). В спектре пропускания выделены зоны, позволяющие осуществлять экспресс-характеризацию мембраны: оценить средний размер пор и распределение по размерам (участок 1), толщину мембраны (участок 4), наличие остаточных продуктов (участки 2 и 5), а идентифицировать материал мембраны как оксид алюминия (участок 3).

Пропускание %,

Длина волны, нм

Рисунок 6 – Спектр пропускания оптического излучения для мембран на основе анодного оксида алюминия в широком диапазоне длин волн (1–5 в тексте)

В четвертой главе рассмотрены возможности применения нанопористых мембран с системой одноосноориентированных капилляров в микро- и нанотехнике в

12

качестве ростовых платформ для лаборатории на чипе, наноразмерных масок для каналирования ионных пучков, поглощающих покрытий среднего ИК-диапазона.

1. Ростовые платформы как базисный элемент для лаборатории на чипе разрабатывались с целью повышения эффективности микробиологического анализа. В НОЦ ЦМИД СПбГЭТУ «ЛЭТИ» совместно с НИИ эпидемиологии и микробиологии имени Пастера выполнена разработка ростового модуля для колоний бактерий. Данный ростовой модуль – ростовая платформа представляет собой композиционную микро-наноструктуру, содержащую мембрану с системой микропор (диаметр микропор определяется размерами колоний бактерий ≈ 5–20 мкм), причем каждая микропора содержит нанопористые капилляры для подачи через них питательной среды (рисунок 7).

 

Платформа с решеткой отверстий,

Питательная среда

перекрытых пористым оксидом алюминия

Рисунок 7 – Схематическое представление ростовой платформы В основу процесса создания такой платформы была положена технология,

сочетающая искусственное формирование топологического рисунка микропор с помощью фотолитографии (глава 2) и последующее электрохимическое анодирование алюминиевой фольги. В результате имело место самоформирование нанопор, образующих сквозные нанокапилляры (рисунок 8).

а

б

в

Рисунок 8 – РЭМ изображения мембраны оксида алюминия после фотолитографии и электрохимического анодирования: а) мембрана с фотолитографическим рисунком микропор, б) фрагмент микропоры с нанокапиллярами, в) нанокапилляры

Рисунок 9 – Фотография колоний бактерий стафилококка (s. aureus) в зоне микропоры

13

Медико-биологические исследования созданных ростовых платформ (рисунок 9), которые выполняли функцию субстрата для осуществления подачи питательной среды, подтвердили эффективность их использования при проведении экспресс-анализа колоний патогенных бактерий, резко сокращая временной интервал для роста и, как следствие, продолжительность диагностической процедуры.

2. Свободные маски в виде мембран со сквозными нанокапиллярами формировались и исследовались с целью их применения в качестве наноразмерных шаблонов для высокоэнергетических ионных пучков. Изготовленные нанопористые мембраны исследовались совместно с кафедрой физики НИИЯФ МГУ на эффект прохождения ионного пучка гелия с энергией 1,5–2 МэВ. На рисунке 10 представлен спектр резерфордовского обратного рассеяния для маски – шаблона с диаметром пор ≈ 20 нм. В качестве «регистрирующей» среды – мишени за мембраной располагался образец, содержащий более «тяжелый» элемент, в частности, гафний (Hf). Даже незначительное отклонение мембраны от нормали (1,5…3 градуса) по отношению к направлению распространения ионного пучка приводит к уменьшению выхода обратнорассеянных ионов с HfO2 мишени и, следовательно, к уменьшению фиксируемого тока. Таким образом, созданные и исследованные мембраны – шаблоны обеспечивают выполнение функций каналирования высокоэнергетического потока ионов.

 

 

а

 

б

1 – пучок ионов – по нормали

 

 

 

 

к поверхности

 

 

 

2

– угол наклона мембраны

 

 

 

 

1,5 градуса

 

 

 

 

 

нА

 

3

– угол наклона мембраны 3

 

 

 

 

 

 

градуса

 

,

 

 

 

 

Ток

 

 

 

 

 

 

 

 

 

Угол, градус

Рисунок 10 – Энергетический спектр обратнорассеянных ионов He+ с энергией 1.7 МэВ для угла рассеяния 120о (а), зависимость числа пролетевших ионов He+ от угла наклона образца (б)

Установлено, что коэффициент прохождения ускоренных ионов через мембрану, может превышать 60%. Это позволяет реализовать пространственную локализацию ионного воздействия на подложку с наноразмерным разрешением.

14

3. Как было ранее экспериментально показано (рисунок 6), нанопористые мембраны на основе оксида алюминия существенно ослабляют пропускание ИК-

излучения в диапазоне от 8 до 14 мкм. В

 

вышеуказанных

пределах

находится

 

максимум

теплового

излучения

 

биообъектов. Данные, полученные с

 

помощью ИК-Фурье спектроскопии,

 

полностью

 

подтверждаются

 

исследованиями,

проведенными

с

 

помощью тепловизора (SDS

INFRARED

Рисунок 11 – Тепловизионные

исследования: 1 – поверхность

hotfind

LXT).

На рисунке

11

биообъекта, 2 – фторопластовый

 

 

 

 

 

представлены

 

результаты

держатель мембраны, 3 – мембрана на

тепловизионных

исследований

и

держателе

 

показано, что мембрана толщиной в 15 мкм, расположенная на фторопластовом кольцевом держателе толщиной 5 мм, обеспечивает эффективное экранирование теплового излучения тела человека, при этом регистрируемое изменение разницы температур от биообъекта при наличии и отсутствии мембраны составляет не менее 4–

5градусов.

Взаключении сформулированы основные научные и практические результаты работы.

ОСНОВНЫЕ РЕЗУЛЬТАТЫ РАБОТЫ

1.Предложена технология самоформирования пористых мембран с системой упорядоченных одноосноориентированных наноразмерных (диаметр пор от 20 нм и более) капилляров на основе оксида алюминия с аспектным отношением до 500 электрохимическим анодированием алюминиевой фольги толщиной в десятки микрон.

2.Установлено, что важнейшим элементом технологического процесса формирования системы упорядоченных сквозных капиллярных мембран нанопористого оксида алюминия электрохимическим анодированием алюминиевой фольги является искусственное создание на поверхности фольги топологического рельефа механическим фасетированием поверхности, при этом доминирующим технологическим фактором, определяющим диаметр нанопор оксида алюминия, является состав электролита.

3.Установлено, что оптическая спектроскопия нанопористых мембран в широком диапазоне длин волн (от 200 нм до 15 мкм) обеспечивает их экспресс-характеризацию по базовым геометрическим параметрам, включая толщину мембраны, средний размер пор и распределение их по размерам.

15

4. Показано, что нанопористые мембраны на основе оксида алюминия, содержащие систему наноразмерных одноосноориентированных капилляров, обеспечивают выполнение функций каналирования высокоэнергетического потока ионов гелия с энергией 1,5–2 МэВ.

5. Показано, что нанопористые капиллярные матрицы на основе оксида алюминия могут выполнять функции ростовых платформ для экспресс-анализа колоний патогенных бактерий.

6. Установлено, что нанопористые мембраны на основе оксида алюминия существенно ослабляют пропускание ИК-излучения в диапазоне от 8 до 14 мкм, что соответствует спектральной области ИК-излучения биологических объектов.

СПИСОК ОСНОВНЫХ ПУБЛИКАЦИЙ ПО ТЕМЕ ДИССЕРТАЦИИ В журналах из списка ВАК:

1.Мошников В.А, Соколова (Муратова) Е.Н., Спивак Ю.М. Формирование и анализ структур на основе пористого оксида алюминия / Известия СПбГЭТУ «ЛЭТИ». 2011. вып. 2. С. 13–19.

2.Афанасьев А.В., Ильин В.А., Мошников В.А., Соколова (Муратова) Е.Н., Спивак Ю.М. Синтез нано- и микропористых структур электрохимическими методами / Биотехносфера. № 1–2(13–14). 2011г. С. 20–26.

3.Зимина Т.М., Муратова Е.Н., Спивак Ю.М., Дрозд В.Е., Романов А.А. Технологии формирования и применение нанослоев и нанопористых композиций Al2O3 для микро- и нанотехники / Нано- и микросистемная техника. 2012. № 12. С. 15–24.

4.Муратова Е.Н., Шпаковский А.И. Компьютерное моделирование роста перколяционного кластера на пористой поверхности / Известия СПбГЭТУ «ЛЭТИ».

2013. вып. 5. С. 28–35.

5.Муратова Е.Н., Спивак Ю.М., Мошников В.А., Петров Д.В., Шемухин А.А., Шиманова В.В. Влияние технологических параметров получения слоев нанопористогоAl2O3 на их структурные характеристики / Физика и химия стекла. 2013. Т. 39. С. 473–480.

6.Зимина Т.М., Соловьев А.В., Лучинин В.В., Муратова Е.Н., Краева Л.А., Хамдулаева Г.Н. Принципы создания гибридных миниатюрных приборов для выращивания колоний микробных клеток на основе пористого анодного оксида алюминия / Нано- и микросистемная техника. 2013. № 12. С. 19–33.

7.Лучинин В.В., Муратова Е.Н., Шемухин А.А. Матрицы из пористого оксида алюминия как капиллярные матрицы – шаблоны для локализации воздействия ионов высоких энергий / Нано- и микросистемная техника. 2013. № 12. С. 39–41.